Click here to close Hello! We notice that you are using Internet Explorer, which is not supported by Xenbase and may cause the site to display incorrectly. We suggest using a current version of Chrome, FireFox, or Safari.

Profile Publications (6)
XB-PERS-2867

Publications By Masayuki Sumida

???pagination.result.count???

???pagination.result.page??? 1


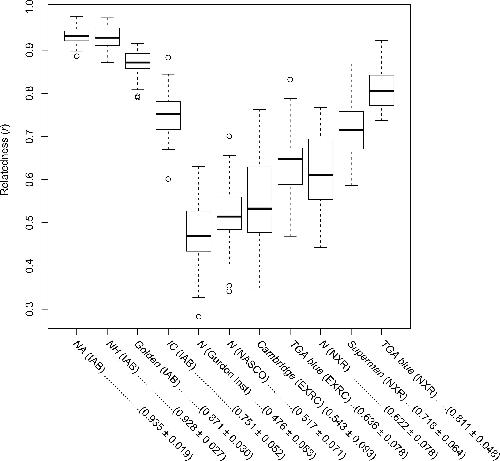
Inbreeding Ratio and Genetic Relationships among Strains of the Western Clawed Frog, Xenopus tropicalis., Igawa T, Watanabe A, Suzuki A, Kashiwagi A, Kashiwagi K, Noble A, Guille M, Simpson DE, Horb ME, Fujii T, Sumida M., PLoS One. July 16, 2015; 10 (7): e0133963.   


Extraordinary Diversity in the Origins of Sex Chromosomes in Anurans Inferred from Comparative Gene Mapping., Uno Y, Nishida C, Takagi C, Igawa T, Ueno N, Sumida M, Matsuda Y., Cytogenet Genome Res. January 1, 2015; 145 (3-4): 218-29.


Complete nucleotide sequence and gene rearrangement of the mitochondrial genome of the bell-ring frog, Buergeria buergeri (family Rhacophoridae)., Sano N, Kurabayashi A, Fujii T, Yonekawa H, Sumida M., Genes Genet Syst. June 1, 2004; 79 (3): 151-63.


Sequencing and analysis of the internal transcribed spacers (ITSs) and coding regions in the EcoR I fragment of the ribosomal DNA of the Japanese pond frog Rana nigromaculata., Sumida M, Kato Y, Kurabayashi A., Genes Genet Syst. April 1, 2004; 79 (2): 105-18.


Complete nucleotide sequence and gene rearrangement of the mitochondrial genome of the Japanese pond frog Rana nigromaculata., Sumida M, Kanamori Y, Kaneda H, Kato Y, Nishioka M, Hasegawa M, Yonekawa H., Genes Genet Syst. October 1, 2001; 76 (5): 311-25.


Molecular phylogenetic relationships of pond frogs distributed in the Palearctic region inferred from DNA sequences of mitochondrial 12S ribosomal RNA and cytochrome b genes., Sumida M, Ogata M, Nishioka M., Mol Phylogenet Evol. August 1, 2000; 16 (2): 278-85.

???pagination.result.page??? 1