Click here to close Hello! We notice that you are using Internet Explorer, which is not supported by Xenbase and may cause the site to display incorrectly. We suggest using a current version of Chrome, FireFox, or Safari.

Profile Publications (42)
XB-PERS-2921

Publications By Chendong Wang

???pagination.result.count???

???pagination.result.page??? 1


Mechanistic study of transcription factor Sox18 during heart development., Liang J, Ul Hassan I, Yee Cheung M, Feng L, Lin YJ, Long Q, Wang C, Ding Y, Wang Z, Zhang Y, Li Y, Guo D, Guo X, Chi Bun Wong T, Kaleem Samma M, Rong Z, Qi X, Cai D, Ngai SM, Zhao H., Gen Comp Endocrinol. May 1, 2024; 350 114472.


ZSWIM4 regulates embryonic patterning and BMP signaling by promoting nuclear Smad1 degradation., Wang C, Liu Z, Zeng Y, Zhou L, Long Q, Hassan IU, Zhang Y, Qi X, Cai D, Mao B, Lu G, Sun J, Yao Y, Deng Y, Zhao Q, Feng B, Zhou Q, Chan WY, Zhao H., EMBO Rep. February 1, 2024; 25 (2): 646-671.   


Developmental expression of peroxiredoxin gene family in early embryonic development of Xenopus tropicalis., Zhong L, Fu T, Wang C, Qi X, Chan WY, Cai D, Zhao H., Gene Expr Patterns. December 1, 2023; 50 119345.   


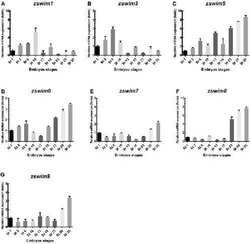
Genome-wide identification and spatiotemporal expression profiling of zinc finger SWIM domain-containing protein family genes., Hassan IU, Rehman HM, Liu Z, Zhou L, Samma MK, Wang C, Rong Z, Qi X, Cai D, Zhao H., Zool Res. May 18, 2023; 44 (3): 663-674.   


Modification of maternally defined H3K4me3 regulates the inviability of interspecific Xenopus hybrids., Long Q, Yan K, Wang C, Wen Y, Qi F, Wang H, Shi P, Liu X, Chan WY, Lu X, Zhao H., Sci Adv. April 7, 2023; 9 (14): eadd8343.   


Kindlin2 regulates neural crest specification via integrin-independent regulation of the FGF signaling pathway., Wang H, Wang C, Long Q, Zhang Y, Wang M, Liu J, Qi X, Cai D, Lu G, Sun J, Yao YG, Chan WY, Chan WY, Deng Y, Zhao H., Development. May 15, 2021; 148 (10):   


rad21 Is Involved in Corneal Stroma Development by Regulating Neural Crest Migration., Zhang BN, Liu Y, Yang Q, Leung PY, Wang C, Wong TCB, Tham CC, Chan SO, Pang CP, Chen LJ, Dekker J, Zhao H, Chu WK., Int J Mol Sci. October 21, 2020; 21 (20):   


Disabled-2: a positive regulator of the early differentiation of myoblasts., Shang N, Lee JTY, Huang T, Wang C, Lee TL, Mok SC, Zhao H, Chan WY., Cell Tissue Res. September 1, 2020; 381 (3): 493-508.   


RNA-Seq analysis on ets1 mutant embryos of Xenopus tropicalis identifies microseminoprotein beta gene 3 as an essential regulator of neural crest migration., Wang C, Qi X, Zhou X, Sun J, Cai D, Lu G, Chen X, Jiang Z, Yao YG, Chan WY, Zhao H., FASEB J. September 1, 2020; 34 (9): 12726-12738.


A sclerocornea-associated RAD21 variant induces corneal stroma disorganization., Zhang BN, Wong TCB, Yip YWY, Liu Z, Wang C, Wong JSC, He JN, Chan TCY, Jhanji V, Pang CP, Zhao H, Chu WK., Exp Eye Res. August 1, 2019; 185 107687.   


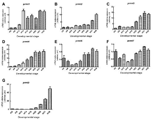
Developmental expression of three prmt genes in Xenopus., Wang CD, Guo XF, Wong TCB, Wang H, Qi XF, Cai DQ, Deng Y, Zhao H., Zool Res. March 18, 2019;   


Retinoic acid promotes stem cell differentiation and embryonic development by transcriptionally activating CFTR., Li X, Fok KL, Guo J, Wang Y, Liu Z, Chen Z, Wang C, Ruan YC, Yu SS, Zhao H, Wu J, Jiang X, Chan HC., Biochim Biophys Acta Mol Cell Res. April 1, 2018; 1865 (4): 605-615.


Efficient genome editing of genes involved in neural crest development using the CRISPR/Cas9 system in Xenopus embryos., Liu Z, Cheng TT, Shi Z, Liu Z, Lei Y, Wang C, Shi W, Chen X, Qi X, Cai D, Feng B, Deng Y, Chen Y, Zhao H., Cell Biosci. January 21, 2016; 6 22.   


Genes regulated by potassium channel tetramerization domain containing 15 (Kctd15) in the developing neural crest., Wong TC, Rebbert M, Wang C, Chen X, Heffer A, Zarelli VE, Dawid IB, Zhao H., Int J Dev Biol. January 1, 2016; 60 (4-6): 159-66.   


The Proto-oncogene Transcription Factor Ets1 Regulates Neural Crest Development through Histone Deacetylase 1 to Mediate Output of Bone Morphogenetic Protein Signaling., Wang C, Kam RK, Shi W, Xia Y, Chen X, Cao Y, Sun J, Du Y, Lu G, Chen Z, Chan WY, Chan SO, Deng Y, Zhao H., J Biol Chem. September 4, 2015; 290 (36): 21925-38.   


Heat shock 70-kDa protein 5 (Hspa5) is essential for pronephros formation by mediating retinoic acid signaling., Shi W, Xu G, Wang C, Sperber SM, Chen Y, Zhou Q, Deng Y, Zhao H., J Biol Chem. January 2, 2015; 290 (1): 577-89.   


A designed ankyrin repeat protein selected to bind to tubulin caps the microtubule plus end., Pecqueur L, Duellberg C, Dreier B, Jiang Q, Wang C, Plückthun A, Surrey T, Gigant B, Knossow M., Proc Natl Acad Sci U S A. July 24, 2012; 109 (30): 12011-6.


Identification of the receptors for prolactin-releasing peptide (PrRP) and Carassius RFamide peptide (C-RFa) in chickens., Wang Y, Wang CY, Wu Y, Huang G, Li J, Leung FC., Endocrinology. April 1, 2012; 153 (4): 1861-74.


Characterization of three synuclein genes in Xenopus laevis., Wang C, Liu Y, Chan WY, Chan SO, Grunz H, Zhao H., Dev Dyn. August 1, 2011; 240 (8): 2028-33.   


G protein {beta}{gamma} gating confers volatile anesthetic inhibition to Kir3 channels., Styer AM, Mirshahi UL, Wang C, Girard L, Jin T, Logothetis DE, Mirshahi T., J Biol Chem. December 31, 2010; 285 (53): 41290-9.


A new subfamily of conotoxins belonging to the A-superfamily., Peng C, Ye M, Wang Y, Shao X, Yuan D, Liu J, Hawrot E, Wang C, Chi C., Peptides. November 1, 2010; 31 (11): 2009-16.


Alpha-conotoxin AuIB isomers exhibit distinct inhibitory mechanisms and differential sensitivity to stoichiometry of alpha3beta4 nicotinic acetylcholine receptors., Grishin AA, Wang CI, Muttenthaler M, Alewood PF, Lewis RJ, Adams DJ., J Biol Chem. July 16, 2010; 285 (29): 22254-63.


Solving the alpha-conotoxin folding problem: efficient selenium-directed on-resin generation of more potent and stable nicotinic acetylcholine receptor antagonists., Muttenthaler M, Nevin ST, Grishin AA, Ngo ST, Choy PT, Daly NL, Hu SH, Armishaw CJ, Wang CI, Lewis RJ, Martin JL, Noakes PG, Craik DJ, Adams DJ, Alewood PF., J Am Chem Soc. March 17, 2010; 132 (10): 3514-22.


Analgesic (omega)-conotoxins CVIE and CVIF selectively and voltage-dependently block recombinant and native N-type calcium channels., Berecki G, Motin L, Haythornthwaite A, Vink S, Bansal P, Drinkwater R, Wang CI, Moretta M, Lewis RJ, Alewood PF, Christie MJ, Adams DJ., Mol Pharmacol. February 1, 2010; 77 (2): 139-48.


Characterization of a novel alpha4/4-conotoxin, Qc1.2, from vermivorous Conus quercinus., Peng C, Chen W, Han Y, Sanders T, Chew G, Liu J, Hawrot E, Chi C, Wang C., Acta Biochim Biophys Sin (Shanghai). October 1, 2009; 41 (10): 858-64.


Photodynamic effects of steroid-conjugated fluorophores on GABAA receptors., Shu HJ, Eisenman LN, Wang C, Bandyopadhyaya AK, Krishnan K, Taylor A, Benz AM, Manion B, Evers AS, Covey DF, Zorumski CF, Mennerick S., Mol Pharmacol. October 1, 2009; 76 (4): 754-65.


Down syndrome critical region protein 5 regulates membrane localization of Wnt receptors, Dishevelled stability and convergent extension in vertebrate embryos., Shao M, Liu ZZ, Wang CD, Li HY, Carron C, Zhang HW, Shi DL., Development. June 1, 2009; 136 (12): 2121-31.   


alpha4/7-conotoxin Lp1.1 is a novel antagonist of neuronal nicotinic acetylcholine receptors., Peng C, Han Y, Sanders T, Chew G, Liu J, Hawrot E, Chi C, Wang C., Peptides. October 1, 2008; 29 (10): 1700-7.


Molecular engineering of conotoxins: the importance of loop size to alpha-conotoxin structure and function., Jin AH, Daly NL, Nevin ST, Wang CI, Dutertre S, Lewis RJ, Adams DJ, Craik DJ, Alewood PF., J Med Chem. September 25, 2008; 51 (18): 5575-84.


Arachidonic acid activates Kir2.3 channels by enhancing channel-phosphatidyl-inositol 4,5-bisphosphate interactions., Wang C, Mirshahi UL, Liu B, Jia Z, Mirshahi T, Zhang H., Mol Pharmacol. April 1, 2008; 73 (4): 1185-94.


Two potent alpha3/5 conotoxins from piscivorous Conus achatinus., Liu L, Chew G, Hawrot E, Chi C, Wang C., Acta Biochim Biophys Sin (Shanghai). June 1, 2007; 39 (6): 438-44.


Cyclodextrins sequester neuroactive steroids and differentiate mechanisms that rate limit steroid actions., Shu HJ, Zeng CM, Wang C, Covey DF, Zorumski CF, Mennerick S., Br J Pharmacol. January 1, 2007; 150 (2): 164-75.


Accommodation and repair of a UV photoproduct in DNA at different rotational settings on the nucleosome surface., Svedruzić ZM, Wang C, Kosmoski JV, Smerdon MJ., J Biol Chem. December 2, 2005; 280 (48): 40051-7.


An alternative splicing product of the murine trpv1 gene dominant negatively modulates the activity of TRPV1 channels., Wang C, Hu HZ, Colton CK, Wood JD, Zhu MX., J Biol Chem. September 3, 2004; 279 (36): 37423-30.


2-aminoethoxydiphenyl borate is a common activator of TRPV1, TRPV2, and TRPV3., Hu HZ, Gu Q, Wang C, Colton CK, Tang J, Kinoshita-Kawada M, Lee LY, Wood JD, Zhu MX., J Biol Chem. August 20, 2004; 279 (34): 35741-8.


BmTx3, a scorpion toxin with two putative functional faces separately active on A-type K+ and HERG currents., Huys I, Xu CQ, Wang CZ, Vacher H, Martin-Eauclaire MF, Chi CW, Tytgat J., Biochem J. March 15, 2004; 378 (Pt 3): 745-52.


Regulation of neuromuscular synapse development by glial cell line-derived neurotrophic factor and neurturin., Wang CY, Yang F, He XP, Je HS, Zhou JZ, Eckermann K, Kawamura D, Feng L, Shen L, Lu B., J Biol Chem. March 22, 2002; 277 (12): 10614-25.


Ca(2+) binding protein frequenin mediates GDNF-induced potentiation of Ca(2+) channels and transmitter release., Wang CY, Yang F, He X, Chow A, Du J, Russell JT, Lu B., Neuron. October 11, 2001; 32 (1): 99-112.


Collaboration of fibronectin matrix and neurotrophin in regulating spontaneous transmitter release at developing neuromuscular synapses in Xenopus cell cultures., Fu WM, Liou HH, Wang CL., Neurosci Lett. March 9, 2001; 300 (2): 115-9.


The application of high density microarray for analysis of mitogenic signaling and cell-cycle in the adrenal., Wang C, Francis R, Harirchian S, Batlle D, Mayhew B, Bassett M, Rainey WE, Pestell RG., Endocr Res. November 1, 2000; 26 (4): 807-23.


Getting tRNA synthetases into the nucleus., Schimmel P, Wang CC., Trends Biochem Sci. April 1, 1999; 24 (4): 127-8.


Recombinant PDGF from lower vertebrates: receptor binding and immunochemical analysis with metabolically labeled growth factor., Wang C, Shamah SM, Stiles CD., Growth Factors. January 1, 1992; 7 (4): 279-88.

???pagination.result.page??? 1