Click here to close Hello! We notice that you are using Internet Explorer, which is not supported by Xenbase and may cause the site to display incorrectly. We suggest using a current version of Chrome, FireFox, or Safari.

Profile Publications (48)
XB-PERS-4017

Publications By Keiko Kashiwagi

???pagination.result.count???

???pagination.result.page??? 1


Novel predator-induced phenotypic plasticity by hemoglobin and physiological changes in the brain of Xenopus tropicalis., Mori T, Machida K, Kudou Y, Kimishima M, Sassa K, Goto-Inoue N, Minei R, Ogura A, Kobayashi Y, Kamiya K, Nakaya D, Yamamoto N, Kashiwagi A, Kashiwagi K., Front Physiol. January 1, 2023; 14 1178869.   


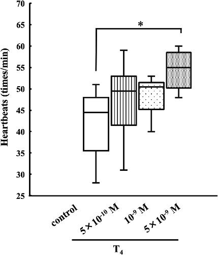
Long-term Xenopus laevis tadpole -heart-organ-culture: Physiological changes in cholinergic and adrenergic sensitivities of tadpole heart with thyroxine-treatment., Hanada H, Morishita F, Sanoh S, Kashiwagi K, Kashiwagi A., Curr Res Physiol. January 1, 2023; 6 100100.   


Amiodarone bioconcentration and suppression of metamorphosis in Xenopus., Sanoh S, Hanada H, Kashiwagi K, Mori T, Goto-Inoue N, Suzuki KT, Mori J, Nakamura N, Yamamoto T, Kitamura S, Kotake Y, Sugihara K, Ohta S, Kashiwagi A., Aquat Toxicol. November 1, 2020; 228 105623.


Predation threats for a 24-h period activated the extension of axons in the brains of Xenopus tadpoles., Mori T, Kitani Y, Hatakeyama D, Machida K, Goto-Inoue N, Hayakawa S, Yamamoto N, Kashiwagi K, Kashiwagi A., Sci Rep. July 16, 2020; 10 (1): 11737.   


Utilizing mass spectrometry imaging to map the thyroid hormones triiodothyronine and thyroxine in Xenopus tropicalis tadpoles., Goto-Inoue N, Sato T, Morisasa M, Kashiwagi A, Kashiwagi K, Sugiura Y, Sugiyama E, Suematsu M, Mori T., Anal Bioanal Chem. February 1, 2018; 410 (4): 1333-1340.


Correction: The constant threat from a non-native predator increases tail muscle and fast-start swimming performance in Xenopus tadpoles., Mori T, Yanagisawa Y, Kitani Y, Yamamoto G, Goto-Inoue N, Kimura T, Kashiwagi K, Kashiwagi A., Biol Open. January 16, 2018; 7 (1):


The constant threat from a non-native predator increases tail muscle and fast-start swimming performance in Xenopus tadpoles., Mori T, Yanagisawa Y, Kitani Y, Yamamoto G, Goto-Inoue N, Kimura T, Kashiwagi K, Kashiwagi A., Biol Open. November 15, 2017; 6 (11): 1726-1733.   


Developmental changes in drug-metabolizing enzyme expression during metamorphosis of Xenopus tropicalis., Mori J, Sanoh S, Kashiwagi K, Hanada H, Shigeta M, Suzuki KT, Yamamoto T, Kotake Y, Sugihara K, Kitamura S, Kashiwagi A, Ohta S., J Toxicol Sci. January 1, 2017; 42 (5): 605-613.


Metabolomic approach for identifying and visualizing molecular tissue markers in tadpoles of Xenopus tropicalis by mass spectrometry imaging., Goto-Inoue N, Kashiwagi A, Kashiwagi K, Mori T., Biol Open. September 15, 2016; 5 (9): 1252-9.   


Rapid and efficient analysis of gene function using CRISPR-Cas9 in Xenopus tropicalis founders., Shigeta M, Sakane Y, Iida M, Suzuki M, Kashiwagi K, Kashiwagi A, Fujii S, Yamamoto T, Suzuki KT., Genes Cells. July 1, 2016; 21 (7): 755-71.   


Homeolog-specific targeted mutagenesis in Xenopus laevis using TALENs., Nakade S, Sakuma T, Sakane Y, Hara Y, Kurabayashi A, Kashiwagi K, Kashiwagi A, Yamamoto T, Obara M., In Vitro Cell Dev Biol Anim. October 1, 2015; 51 (9): 879-84.


Spermidine and Ca(2+), but not Na(+), can permeate NMDA receptors consisting of GluN1 and GluN2A or GluN2B in the presence of Mg(2+)., Hirose T, Saiki R, Yoshizawa Y, Imamura M, Higashi K, Ishii I, Toida T, Williams K, Kashiwagi K, Igarashi K., Biochem Biophys Res Commun. August 7, 2015; 463 (4): 1190-5.


Inbreeding Ratio and Genetic Relationships among Strains of the Western Clawed Frog, Xenopus tropicalis., Igawa T, Watanabe A, Suzuki A, Kashiwagi A, Kashiwagi K, Noble A, Guille M, Simpson DE, Horb ME, Fujii T, Sumida M., PLoS One. July 16, 2015; 10 (7): e0133963.   


Targeted mutagenesis of multiple and paralogous genes in Xenopus laevis using two pairs of transcription activator-like effector nucleases., Sakane Y, Sakuma T, Kashiwagi K, Kashiwagi A, Yamamoto T, Suzuki KT., Dev Growth Differ. January 1, 2014; 56 (1): 108-14.   


In vitro and in vivo evaluation of polymethylene tetraamine derivatives as NMDA receptor channel blockers., Saiki R, Yoshizawa Y, Minarini A, Milelli A, Marchetti C, Tumiatti V, Toida T, Kashiwagi K, Igarashi K., Bioorg Med Chem Lett. July 1, 2013; 23 (13): 3901-4.


High efficiency TALENs enable F0 functional analysis by targeted gene disruption in Xenopus laevis embryos., Suzuki KT, Isoyama Y, Kashiwagi K, Sakuma T, Ochiai H, Sakamoto N, Furuno N, Kashiwagi A, Yamamoto T., Biol Open. May 15, 2013; 2 (5): 448-52.   


Efficient TALEN construction and evaluation methods for human cell and animal applications., Sakuma T, Hosoi S, Woltjen K, Suzuki K, Kashiwagi K, Wada H, Ochiai H, Miyamoto T, Kawai N, Sasakura Y, Matsuura S, Okada Y, Kawahara A, Hayashi S, Yamamoto T., Genes Cells. April 1, 2013; 18 (4): 315-26.   


Acetyl-L-carnitine suppresses thyroid hormone-induced and spontaneous anuran tadpole tail shortening., Hanada H, Kobuchi H, Yamamoto M, Kashiwagi K, Katsu K, Utsumi T, Kashiwagi A, Sasaki J, Inoue M, Utsumi K., Hereditas. February 1, 2013; 150 (1): 1-9.


Structural changes of regulatory domain heterodimer of N-methyl-D-aspartate receptor subunits GluN1 and GluN2B through the binding of spermine and ifenprodil., Tomitori H, Suganami A, Saiki R, Mizuno S, Yoshizawa Y, Masuko T, Tamura Y, Nishimura K, Toida T, Williams K, Kashiwagi K, Igarashi K., J Pharmacol Exp Ther. October 1, 2012; 343 (1): 82-90.


Antagonism of NMDA receptors by butanesulfonyl-homospermine guanidine and neuroprotective effects in in vitro and in vivo., Masuko T, Suzuki T, Miyake M, Kusama-Eguchi K, Kizawa Y, Tomono K, Kashiwagi K, Igarashi K, Kusama T., Neurosci Lett. January 11, 2012; 506 (2): 251-5.


Characterization of a novel type I keratin gene and generation of transgenic lines with fluorescent reporter genes driven by its promoter/enhancer in Xenopus laevis., Suzuki KT, Kashiwagi K, Ujihara M, Marukane T, Tazaki A, Watanabe K, Mizuno N, Ueda Y, Kondoh H, Kashiwagi A, Mochii M., Dev Dyn. December 1, 2010; 239 (12): 3172-81.   


Xenopus tropicalis: an ideal experimental animal in amphibia., Kashiwagi K, Kashiwagi A, Kurabayashi A, Hanada H, Nakajima K, Okada M, Takase M, Yaoita Y., Exp Anim. January 1, 2010; 59 (4): 395-405.


Neuroprotection by tosyl-polyamine derivatives through the inhibition of ionotropic glutamate receptors., Masuko T, Namiki R, Nemoto Y, Miyake M, Kizawa Y, Suzuki T, Kashiwagi K, Igarashi K, Kusama T., J Pharmacol Exp Ther. November 1, 2009; 331 (2): 522-30.


Application of metamorphosis assay to a native Japanese amphibian species, Rana rugosa, for assessing effects of thyroid system affecting chemicals., Oka T, Miyahara M, Yamamoto J, Mitsui N, Fujii T, Tooi O, Kashiwagi K, Takase M, Kashiwagi A, Iguchi T., Ecotoxicol Environ Saf. July 1, 2009; 72 (5): 1400-5.


Molecular features of thyroid hormone-regulated skin remodeling in Xenopus laevis during metamorphosis., Suzuki K, Machiyama F, Nishino S, Watanabe Y, Kashiwagi K, Kashiwagi A, Yoshizato K., Dev Growth Differ. May 1, 2009; 51 (4): 411-27.   


Binding of spermine and ifenprodil to a purified, soluble regulatory domain of the N-methyl-D-aspartate receptor., Han X, Tomitori H, Mizuno S, Higashi K, Füll C, Fukiwake T, Terui Y, Leewanich P, Nishimura K, Toida T, Williams K, Kashiwagi K, Igarashi K., J Neurochem. December 1, 2008; 107 (6): 1566-77.


Differential effects of linear and cyclic polyamines on NMDA receptor activities., Masuko T, Miyake M, Kusama-Eguchi K, Koike T, Kimura E, Kizawa Y, Kashiwagi K, Igarashi K, Kusama T., Neurochem Int. July 1, 2008; 53 (1-2): 38-44.


Cleft-type cyclophanes confer neuroprotection against excitatory neurotoxicity in vitro and in vivo through inhibition of NMDA receptors., Masuko T, Nemoto Y, Nagaoka H, Miyake M, Kizawa Y, Kusama-Eguchi K, Kashiwagi K, Igarashi K, Kusama T., Neuropharmacology. September 1, 2007; 53 (4): 515-23.


Cyclophane and acyclic cyclophane: novel channel blockers of N-methyl-D-aspartate receptor., Masuko T, Nagaoka H, Miyake M, Metori K, Kizawa Y, Kashiwagi K, Igarashi K, Kusama T., Neurochem Int. January 1, 2007; 50 (2): 443-9.


Effects of hypergravity environments on amphibian development, gene expression and apoptosis., Kawakami S, Kashiwagi K, Furuno N, Yamashita M, Kashiwagi A., Comp Biochem Physiol A Mol Integr Physiol. September 1, 2006; 145 (1): 65-72.


Development of metamorphosis assay using Silurana tropicalis for the detection of thyroid system-disrupting chemicals., Mitsui N, Fujii T, Miyahara M, Oka T, Kashiwagi A, Kashiwagi K, Hanada H, Urushitani H, Santo N, Tooi O, Iguchi T., Ecotoxicol Environ Saf. July 1, 2006; 64 (3): 281-7.


Stable knock-down of vomeronasal receptor genes in transgenic Xenopus tadpoles., Kashiwagi A, Kashiwagi K, Saito S, Date-Ito A, Ichikawa M, Mori Y, Hagino-Yamagishi K., Biochem Biophys Res Commun. June 23, 2006; 345 (1): 140-7.   


Monoamines directly inhibit N-methyl-D-aspartate receptors expressed in Xenopus oocytes in a voltage-dependent manner., Masuko T, Suzuki I, Kizawa Y, Kusama-Eguchi K, Watanabe K, Kashiwagi K, Igarashi K, Kusama T., Neurosci Lett. November 16, 2004; 371 (1): 30-3.


Anthraquinone polyamines: novel channel blockers to study N-methyl-D-aspartate receptors., Kashiwagi K, Tanaka I, Tamura M, Sugiyama H, Okawara T, Otsuka M, Sabado TN, Williams K, Igarashi K., J Pharmacol Exp Ther. June 1, 2004; 309 (3): 884-93.


Effects of high gravity on amphibian development., Kashiwagi A, Hanada H, Kawakami S, Kubo H, Shinkai T, Fujii H, Kashiwagi K., Biol Sci Space. October 1, 2003; 17 (3): 215-6.


Molecular determinants of proton-sensitive N-methyl-D-aspartate receptor gating., Low CM, Lyuboslavsky P, French A, Le P, Wyatte K, Thiel WH, Marchan EM, Igarashi K, Kashiwagi K, Gernert K, Williams K, Traynelis SF, Zheng F., Mol Pharmacol. June 1, 2003; 63 (6): 1212-22.


Pharmacology of delta2 glutamate receptors: effects of pentamidine and protons., Williams K, Dattilo M, Sabado TN, Kashiwagi K, Igarashi K., J Pharmacol Exp Ther. May 1, 2003; 305 (2): 740-8.


Metal ion-responsive transgenic Xenopus laevis as an environmental monitoring animal., Oofusa K, Tooi O, Kashiwagi A, Kashiwagi K, Kondo Y, Obara M, Yoshizato K., Environ Toxicol Pharmacol. April 1, 2003; 13 (3): 153-159.


Channel blockers acting at N-methyl-D-aspartate receptors: differential effects of mutations in the vestibule and ion channel pore., Kashiwagi K, Masuko T, Nguyen CD, Kuno T, Tanaka I, Igarashi K, Williams K., Mol Pharmacol. March 1, 2002; 61 (3): 533-45.


Expression of thyroid hormone receptor betaA gene assayed by transgenic Xenopus laevis carrying its promoter sequences., Oofusa K, Tooi O, Kashiwagi A, Kashiwagi K, Kondo Y, Watanabe Y, Sawada T, Fujikawa K, Yoshizato K., Mol Cell Endocrinol. July 5, 2001; 181 (1-2): 97-110.


Stimulatory and inhibitory properties of aminoglycoside antibiotics at N-methyl-D-aspartate receptors., Masuko T, Kuno T, Kashiwagi K, Kusama T, Williams K, Igarashi K., J Pharmacol Exp Ther. September 1, 1999; 290 (3): 1026-33.


A regulatory domain (R1-R2) in the amino terminus of the N-methyl-D-aspartate receptor: effects of spermine, protons, and ifenprodil, and structural similarity to bacterial leucine/isoleucine/valine binding protein., Masuko T, Kashiwagi K, Kuno T, Nguyen ND, Pahk AJ, Fukuchi J, Igarashi K, Williams K., Mol Pharmacol. June 1, 1999; 55 (6): 957-69.


Overexpression of S-adenosylmethionine decarboxylase (SAMDC) in early Xenopus embryos induces cell dissociation and inhibits transition from the blastula to gastrula stage., Shibata M, Shinga J, Yasuhiko Y, Kai M, Miura K, Shimogori T, Kashiwagi K, Igarashi K, Shiokawa K., Int J Dev Biol. July 1, 1998; 42 (5): 675-86.


Benzyl-polyamines: novel, potent N-methyl-D-aspartate receptor antagonists., Igarashi K, Shirahata A, Pahk AJ, Kashiwagi K, Williams K., J Pharmacol Exp Ther. November 1, 1997; 283 (2): 533-40.


N1-dansyl-spermine and N1-(n-octanesulfonyl)-spermine, novel glutamate receptor antagonists: block and permeation of N-methyl-D-aspartate receptors., Chao J, Seiler N, Renault J, Kashiwagi K, Masuko T, Igarashi K, Williams K., Mol Pharmacol. May 1, 1997; 51 (5): 861-71.


Maternal and zygotic expression of mRNA for S-adenosylmethionine decarboxylase and its relevance to the unique polyamine composition in Xenopus oocytes and embryos., Shinga J, Kashiwagi K, Tashiro K, Igarashi K, Shiokawa K., Biochim Biophys Acta. July 31, 1996; 1308 (1): 31-40.   


An aspartate residue in the extracellular loop of the N-methyl-D-aspartate receptor controls sensitivity to spermine and protons., Kashiwagi K, Fukuchi J, Chao J, Igarashi K, Williams K., Mol Pharmacol. June 1, 1996; 49 (6): 1131-41.


An acidic amino acid in the N-methyl-D-aspartate receptor that is important for spermine stimulation., Williams K, Kashiwagi K, Fukuchi J, Igarashi K., Mol Pharmacol. December 1, 1995; 48 (6): 1087-98.

???pagination.result.page??? 1