|
XB-PERS-4083
Publications By Elenora Palma
???pagination.result.count??????pagination.result.page??? 1 2 ???pagination.result.next???
|
Reanimation of Stored Tissue Biopsies: A Functional Study and Translational Approach., Alfano V, Ruffolo G, Spila A, Valente MG, Sansone L, Belli M, Ramadan D, Miele C, Garelli L, Lupacchini L, Ferroni P, Merlo D, Palma E, Guadagni F., Int J Mol Sci. January 28, 2026; 27 (3): |
|
Altered somatostatin receptor 3 expression and functional dysregulation in tuberous sclerosis complex., Scheper M, Gaeta A, Ruffolo G, Lissner LJ, Le Bihan M, Anink JJ, Jansen FE, van Hecke W, Mühlebner A, Schubert D, Mills JD, Palma E, Aronica E., Prog Neurobiol. December 4, 2025; 256 102864. |
|
GABAergic Neurotransmission in Human Tissues Is Modulated by Cannabidiol., Ruffolo G, Gaeta A, Cannata B, Pinzaglia C, Aronica E, Morano A, Cifelli P, Palma E., Life (Basel). December 6, 2022; 12 (12): |
|
GABAA receptor function is enhanced by Interleukin-10 in human epileptogenic gangliogliomas and its effect is counteracted by Interleukin-1β., Ruffolo G, Alfano V, Romagnolo A, Zimmer T, Mills JD, Cifelli P, Gaeta A, Morano A, Anink J, Mühlebner A, Vezzani A, Aronica E, Palma E., Sci Rep. October 26, 2022; 12 (1): 17956. |
|
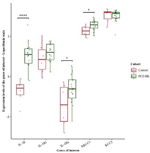
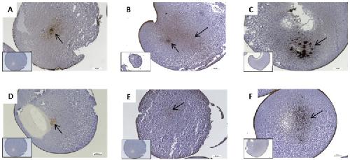
Unexpected Effect of IL-1β on the Function of GABAA Receptors in Pediatric Focal Cortical Dysplasia., Alfano V, Romagnolo A, Mills JD, Cifelli P, Gaeta A, Morano A, Mühlebner A, Aronica E, Palma E, Ruffolo G., Brain Sci. June 19, 2022; 12 (6): |
|
Human iPSC Modeling of Genetic Febrile Seizure Reveals Aberrant Molecular and Physiological Features Underlying an Impaired Neuronal Activity., Scalise S, Zannino C, Lucchino V, Lo Conte M, Scaramuzzino L, Cifelli P, D'Andrea T, Martinello K, Fucile S, Palma E, Gambardella A, Ruffolo G, Cuda G, Parrotta EI., Biomedicines. May 5, 2022; 10 (5): |
|
Lipid mediator n-3 docosapentaenoic acid-derived protectin D1 enhances synaptic inhibition of hippocampal principal neurons by interaction with a G-protein-coupled receptor., Mikroulis A, Ledri M, Ruffolo G, Palma E, Sperk G, Dalli J, Vezzani A, Kokaia M., FASEB J. March 1, 2022; 36 (3): e22203. |
|
Dissecting the Molecular Determinants of GABAA Receptors Current Rundown, a Hallmark of Refractory Human Epilepsy., Cifelli P, Di Angelantonio S, Alfano V, Morano A, De Felice E, Aronica E, Ruffolo G, Palma E., Brain Sci. March 30, 2021; 11 (4): |
|
Erythropoietin Increases GABAA Currents in Human Cortex from TLE Patients., Roseti C, Cifelli P, Ruffolo G, Barbieri E, Guescini M, Esposito V, Di Gennaro G, Limatola C, Giovannelli A, Aronica E, Palma E., Neuroscience. July 15, 2020; 439 153-162. |
|
Rare Diseases of Neurodevelopment: Maintain the Mystery or Use a Dazzling Tool for Investigation? The Case of Rett Syndrome., Ruffolo G, Cifelli P, Miranda-Lourenço C, De Felice E, Limatola C, Sebastião AM, Diógenes MJ, Aronica E, Palma E., Neuroscience. July 15, 2020; 439 146-152. |
|
Co-occurring WARS2 and CHRNA6 mutations in a child with a severe form of infantile parkinsonism., Martinelli S, Cordeddu V, Galosi S, Lanzo A, Palma E, Pannone L, Ciolfi A, Di Nottia M, Rizza T, Bocchinfuso G, Traversa A, Caputo V, Farrotti A, Carducci C, Bernardini L, Cogo S, Paglione M, Venditti M, Bentivoglio A, Ng J, Kurian MA, Civiero L, Greggio E, Stella L, Trettel F, Sciaccaluga M, Roseti C, Carrozzo R, Fucile S, Limatola C, Di Schiavi E, Tartaglia M, Leuzzi V., Parkinsonism Relat Disord. March 1, 2020; 72 75-79. |
|
A novel GABAergic dysfunction in human Dravet syndrome., Ruffolo G, Cifelli P, Roseti C, Thom M, van Vliet EA, Limatola C, Aronica E, Palma E., Epilepsia. November 1, 2018; 59 (11): 2106-2117. |
|
Neurobiological Correlates of Alpha-Tocopherol Antiepileptogenic Effects and MicroRNA Expression Modulation in a Rat Model of Kainate-Induced Seizures., Ambrogini P, Albertini MC, Betti M, Galati C, Lattanzi D, Savelli D, Di Palma M, Saccomanno S, Bartolini D, Torquato P, Ruffolo G, Olivieri F, Galli F, Palma E, Minelli A, Cuppini R., Mol Neurobiol. October 1, 2018; 55 (10): 7822-7838. |
|
A novel action of lacosamide on GABAA currents sets the ground for a synergic interaction with levetiracetam in treatment of epilepsy., Ruffolo G, Di Bonaventura C, Cifelli P, Roseti C, Fattouch J, Morano A, Limatola C, Aronica E, Palma E, Giallonardo AT., Neurobiol Dis. July 1, 2018; 115 59-68. |
|
Functional aspects of early brain development are preserved in tuberous sclerosis complex (TSC) epileptogenic lesions., Ruffolo G, Iyer A, Cifelli P, Roseti C, Mühlebner A, van Scheppingen J, Scholl T, Hainfellner JA, Feucht M, Krsek P, Zamecnik J, Jansen FE, Spliet WG, Limatola C, Aronica E, Palma E., Neurobiol Dis. November 1, 2016; 95 93-101. |
|
Cannabis in epilepsy: From clinical practice to basic research focusing on the possible role of cannabidivarin., Morano A, Cifelli P, Nencini P, Antonilli L, Fattouch J, Ruffolo G, Roseti C, Aronica E, Limatola C, Di Bonaventura C, Palma E, Giallonardo AT., Epilepsia Open. September 19, 2016; 1 (3-4): 145-151. |
|
Acetylcholine receptors from human muscle as pharmacological targets for ALS therapy., Palma E, Reyes-Ruiz JM, Lopergolo D, Roseti C, Bertollini C, Ruffolo G, Cifelli P, Onesti E, Limatola C, Miledi R, Inghilleri M., Proc Natl Acad Sci U S A. March 15, 2016; 113 (11): 3060-5. |
|
GABAA currents are decreased by IL-1β in epileptogenic tissue of patients with temporal lobe epilepsy: implications for ictogenesis., Roseti C, van Vliet EA, Cifelli P, Ruffolo G, Baayen JC, Di Castro MA, Bertollini C, Limatola C, Aronica E, Vezzani A, Palma E., Neurobiol Dis. October 1, 2015; 82 311-320. |
|
Fractalkine/CX3CL1 modulates GABAA currents in human temporal lobe epilepsy., Roseti C, Fucile S, Lauro C, Martinello K, Bertollini C, Esposito V, Mascia A, Catalano M, Aronica E, Limatola C, Palma E., Epilepsia. October 1, 2013; 54 (10): 1834-44. |
|
Microtransplantation of cellular membranes from squid stellate ganglion reveals ionotropic GABA receptors., Conti L, Limon A, Palma E, Miledi R., Biol Bull. February 1, 2013; 224 (1): 47-52. |
|
Riluzole blocks human muscle acetylcholine receptors., Deflorio C, Palma E, Conti L, Roseti C, Manteca A, Giacomelli E, Catalano M, Limatola C, Inghilleri M, Grassi F., J Physiol. May 15, 2012; 590 (10): 2519-28. |
|
Physiological characterization of human muscle acetylcholine receptors from ALS patients., Palma E, Inghilleri M, Conti L, Deflorio C, Frasca V, Manteca A, Pichiorri F, Roseti C, Torchia G, Limatola C, Grassi F, Miledi R., Proc Natl Acad Sci U S A. December 13, 2011; 108 (50): 20184-8. |
|
Anomalous levels of Cl- transporters cause a decrease of GABAergic inhibition in human peritumoral epileptic cortex., Conti L, Palma E, Roseti C, Lauro C, Cipriani R, de Groot M, Aronica E, Limatola C., Epilepsia. September 1, 2011; 52 (9): 1635-44. |
|
Enhancement of GABA(A)-current run-down in the hippocampus occurs at the first spontaneous seizure in a model of temporal lobe epilepsy., Mazzuferi M, Palma E, Martinello K, Maiolino F, Roseti C, Fucile S, Fabene PF, Schio F, Pellitteri M, Sperk G, Miledi R, Eusebi F, Simonato M., Proc Natl Acad Sci U S A. February 16, 2010; 107 (7): 3180-5. |
|
Blockage of A2A and A3 adenosine receptors decreases the desensitization of human GABA(A) receptors microtransplanted to Xenopus oocytes., Roseti C, Palma E, Martinello K, Fucile S, Morace R, Esposito V, Cantore G, Arcella A, Giangaspero F, Aronica E, Mascia A, Di Gennaro G, Quarato PP, Manfredi M, Cristalli G, Lambertucci C, Marucci G, Volpini R, Limatola C, Eusebi F., Proc Natl Acad Sci U S A. September 15, 2009; 106 (37): 15927-31. |
|
Microtransplantation of ligand-gated receptor-channels from fresh or frozen nervous tissue into Xenopus oocytes: a potent tool for expanding functional information., Eusebi F, Palma E, Amici M, Miledi R., Prog Neurobiol. May 1, 2009; 88 (1): 32-40. |
|
GABA(A)-current rundown of temporal lobe epilepsy is associated with repetitive activation of GABA(A) "phasic" receptors., Palma E, Roseti C, Maiolino F, Fucile S, Martinello K, Mazzuferi M, Aronica E, Manfredi M, Esposito V, Cantore G, Miledi R, Simonato M, Eusebi F., Proc Natl Acad Sci U S A. December 26, 2007; 104 (52): 20944-8. |
|
The antiepileptic drug levetiracetam stabilizes the human epileptic GABAA receptors upon repetitive activation., Palma E, Ragozzino D, Di Angelantonio S, Mascia A, Maiolino F, Manfredi M, Cantore G, Esposito V, Di Gennaro G, Quarato P, Miledi R, Eusebi F., Epilepsia. October 1, 2007; 48 (10): 1842-9. |
|
Anomalous levels of Cl- transporters in the hippocampal subiculum from temporal lobe epilepsy patients make GABA excitatory., Palma E, Amici M, Sobrero F, Spinelli G, Di Angelantonio S, Ragozzino D, Mascia A, Scoppetta C, Esposito V, Miledi R, Eusebi F., Proc Natl Acad Sci U S A. May 30, 2006; 103 (22): 8465-8. |
|
Microtransplantation of neurotransmitter receptors from cells to Xenopus oocyte membranes: new procedure for ion channel studies., Miledi R, Palma E, Eusebi F., Methods Mol Biol. January 1, 2006; 322 347-55. |
|
Rundown of GABA type A receptors is a dysfunction associated with human drug-resistant mesial temporal lobe epilepsy., Ragozzino D, Palma E, Di Angelantonio S, Amici M, Mascia A, Arcella A, Giangaspero F, Cantore G, Di Gennaro G, Manfredi M, Esposito V, Quarato PP, Miledi R, Eusebi F., Proc Natl Acad Sci U S A. October 18, 2005; 102 (42): 15219-23. |
|
Abnormal GABAA receptors from the human epileptic hippocampal subiculum microtransplanted to Xenopus oocytes., Palma E, Spinelli G, Torchia G, Martinez-Torres A, Ragozzino D, Miledi R, Eusebi F., Proc Natl Acad Sci U S A. February 15, 2005; 102 (7): 2514-8. |
|
BDNF modulates GABAA receptors microtransplanted from the human epileptic brain to Xenopus oocytes., Palma E, Torchia G, Limatola C, Trettel F, Arcella A, Cantore G, Di Gennaro G, Manfredi M, Esposito V, Quarato PP, Miledi R, Eusebi F., Proc Natl Acad Sci U S A. February 1, 2005; 102 (5): 1667-72. |
|
Phosphatase inhibitors remove the run-down of gamma-aminobutyric acid type A receptors in the human epileptic brain., Palma E, Ragozzino DA, Di Angelantonio S, Spinelli G, Trettel F, Martinez-Torres A, Torchia G, Arcella A, Di Gennaro G, Quarato PP, Esposito V, Cantore G, Miledi R, Eusebi F., Proc Natl Acad Sci U S A. July 6, 2004; 101 (27): 10183-8. |
|
Properties of neuronal alpha7 mutant nicotinic acetylcholine receptors gated by bicuculline., Tonini R, Palma E, Miledi R, Eusebi F., Neuropharmacology. May 1, 2003; 44 (6): 765-71. |
|
Microtransplantation of membranes from cultured cells to Xenopus oocytes: a method to study neurotransmitter receptors embedded in native lipids., Palma E, Trettel F, Fucile S, Renzi M, Miledi R, Eusebi F., Proc Natl Acad Sci U S A. March 4, 2003; 100 (5): 2896-900. |
|
Amyloid beta(1-42) peptide alters the gating of human and mouse alpha-bungarotoxin-sensitive nicotinic receptors., Grassi F, Palma E, Tonini R, Amici M, Ballivet M, Eusebi F., J Physiol. February 15, 2003; 547 (Pt 1): 147-57. |
|
Expression of human epileptic temporal lobe neurotransmitter receptors in Xenopus oocytes: An innovative approach to study epilepsy., Palma E, Esposito V, Mileo AM, Di Gennaro G, Quarato P, Giangaspero F, Scoppetta C, Onorati P, Trettel F, Miledi R, Eusebi F., Proc Natl Acad Sci U S A. November 12, 2002; 99 (23): 15078-83. |
|
Expression of functional neurotransmitter receptors in Xenopus oocytes after injection of human brain membranes., Miledi R, Eusebi F, Martínez-Torres A, Palma E, Trettel F., Proc Natl Acad Sci U S A. October 1, 2002; 99 (20): 13238-42. |
|
The single-channel properties of human acetylcholine alpha 7 receptors are altered by fusing alpha 7 to the green fluorescent protein., Fucile S, Palma E, Martinez-Torres A, Miledi R, Eusebi F., Proc Natl Acad Sci U S A. March 19, 2002; 99 (6): 3956-61. |
|
Some properties of human neuronal alpha 7 nicotinic acetylcholine receptors fused to the green fluorescent protein., Palma E, Mileo AM, Martinez-Torres A, Eusebi F, Miledi R., Proc Natl Acad Sci U S A. March 19, 2002; 99 (6): 3950-5. |
|
Serotonin antagonizes the human neuronal alpha7 nicotinic acetylcholine receptor and becomes an agonist after L248T alpha7 mutation., Fucile S, Palma E, Eusebi F, Miledi R., Neuroscience. January 1, 2002; 110 (1): 169-79. |
|
Inhibition of nicotinic acetylcholine receptors by bicuculline., Demuro A, Palma E, Eusebi F, Miledi R., Neuropharmacology. December 1, 2001; 41 (7): 854-61. |
|
Human neuronal threonine-for-leucine-248 alpha 7 mutant nicotinic acetylcholine receptors are highly Ca2+ permeable., Fucile S, Palma E, Mileo AM, Miledi R, Eusebi F., Proc Natl Acad Sci U S A. March 28, 2000; 97 (7): 3643-8. |
|
Strychnine activates neuronal alpha7 nicotinic receptors after mutations in the leucine ring and transmitter binding site domains., Palma E, Fucile S, Barabino B, Miledi R, Eusebi F., Proc Natl Acad Sci U S A. November 9, 1999; 96 (23): 13421-6. |
|
Nicotinic acetylcholine receptors assembled from the alpha7 and beta3 subunits., Palma E, Maggi L, Barabino B, Eusebi F, Ballivet M., J Biol Chem. June 25, 1999; 274 (26): 18335-40. |
|
Selective effects of a 4-oxystilbene derivative on wild and mutant neuronal chick alpha7 nicotinic receptor., Maggi L, Palma E, Eusebi F, Moretti M, Balestra B, Clementi F, Gotti C., Br J Pharmacol. January 1, 1999; 126 (1): 285-95. |
|
Effects of Zn2+ on wild and mutant neuronal alpha7 nicotinic receptors., Palma E, Maggi L, Miledi R, Eusebi F., Proc Natl Acad Sci U S A. August 18, 1998; 95 (17): 10246-50. |
|
Effects of fluoxetine on wild and mutant neuronal alpha 7 nicotinic receptors., Maggi L, Palma E, Miledi R, Eusebi F., Mol Psychiatry. July 1, 1998; 3 (4): 350-5. |
|
Paradoxical allosteric effects of competitive inhibitors on neuronal alpha7 nicotinic receptor mutants., Bertrand S, Devillers-Thiéry A, Palma E, Buisson B, Edelstein SJ, Corringer PJ, Changeux JP, Bertrand D., Neuroreport. November 10, 1997; 8 (16): 3591-6. |
???pagination.result.page??? 1 2 ???pagination.result.next???
