Click here to close Hello! We notice that you are using Internet Explorer, which is not supported by Xenbase and may cause the site to display incorrectly. We suggest using a current version of Chrome, FireFox, or Safari.

Profile Publications (15)
XB-PERS-4778

Publications By Yuuri Yasuoka

???pagination.result.count???

???pagination.result.page??? 1


A transphyletic study of metazoan β-catenin protein complexes., Mbogo I, Kawano C, Nakamura R, Tsuchiya Y, Villar-Briones A, Hirao Y, Yasuoka Y, Hayakawa E, Tomii K, Watanabe H., Zoological Lett. December 2, 2024; 10 (1): 20.   


Tissue-specific expression of carbohydrate sulfotransferases drives keratan sulfate biosynthesis in the notochord and otic vesicles of Xenopus embryos., Yasuoka Y., Front Cell Dev Biol. January 1, 2023; 11 957805.   


Uncovering the mesendoderm gene regulatory network through multi-omic data integration., Jansen C, Paraiso KD, Zhou JJ, Blitz IL, Fish MB, Charney RM, Cho JS, Yasuoka Y, Sudou N, Bright AR, Wlizla M, Veenstra GJC, Taira M, Zorn AM, Mortazavi A, Cho KWY., Cell Rep. February 15, 2022; 38 (7): 110364.   


LIM homeodomain proteins and associated partners: Then and now., Yasuoka Y, Taira M., Curr Top Dev Biol. January 1, 2021; 145 113-166.


Evolution of cis-regulatory modules for the head organizer gene goosecoid in chordates: comparisons between Branchiostoma and Xenopus., Yasuoka Y, Tando Y, Kubokawa K, Taira M., Zoological Lett. August 2, 2019; 5 27.   


De novo transcription of multiple Hox cluster genes takes place simultaneously in early Xenopus tropicalis embryos., Kondo M, Matsuo M, Igarashi K, Haramoto Y, Yamamoto T, Yasuoka Y, Taira M., Biol Open. March 4, 2019; 8 (3):   


Microinjection of DNA Constructs into Xenopus Embryos for Gene Misexpression and cis-Regulatory Module Analysis., Yasuoka Y, Taira M., Cold Spring Harb Protoc. January 2, 2019; 2019 (1):


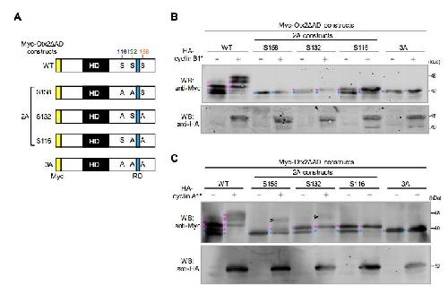
Phosphorylation states change Otx2 activity for cell proliferation and patterning in the Xenopus embryo., Satou Y, Minami K, Hosono E, Okada H, Yasuoka Y, Shibano T, Tanaka T, Taira M., Development. March 12, 2018; 145 (5):   


Conservatism and variability of gene expression profiles among homeologous transcription factors in Xenopus laevis., Watanabe M, Yasuoka Y, Mawaribuchi S, Kuretani A, Ito M, Kondo M, Ochi H, Ogino H, Fukui A, Taira M, Kinoshita T., Dev Biol. June 15, 2017; 426 (2): 301-324.   


High variability of expression profiles of homeologous genes for Wnt, Hh, Notch, and Hippo signaling pathways in Xenopus laevis., Michiue T, Yamamoto T, Yasuoka Y, Goto T, Ikeda T, Nagura K, Nakayama T, Taira M, Kinoshita T., Dev Biol. June 15, 2017; 426 (2): 270-290.   


Foxh1 Occupies cis-Regulatory Modules Prior to Dynamic Transcription Factor Interactions Controlling the Mesendoderm Gene Program., Charney RM, Forouzmand E, Cho JS, Cheung J, Paraiso KD, Yasuoka Y, Takahashi S, Taira M, Blitz IL, Xie X, Cho KW., Dev Cell. March 27, 2017; 40 (6): 595-607.e4.


The Mesoderm-Forming Gene brachyury Regulates Ectoderm-Endoderm Demarcation in the Coral Acropora digitifera., Yasuoka Y, Shinzato C, Satoh N., Curr Biol. November 7, 2016; 26 (21): 2885-2892.


Genome evolution in the allotetraploid frog Xenopus laevis., Session AM, Uno Y, Kwon T, Chapman JA, Toyoda A, Takahashi S, Fukui A, Hikosaka A, Suzuki A, Kondo M, van Heeringen SJ, Quigley I, Heinz S, Ogino H, Ochi H, Hellsten U, Lyons JB, Simakov O, Putnam N, Stites J, Kuroki Y, Tanaka T, Michiue T, Watanabe M, Bogdanovic O, Lister R, Georgiou G, Paranjpe SS, van Kruijsbergen I, Shu S, Carlson J, Kinoshita T, Ohta Y, Mawaribuchi S, Jenkins J, Grimwood J, Schmutz J, Mitros T, Mozaffari SV, Suzuki Y, Haramoto Y, Yamamoto TS, Takagi C, Heald R, Miller K, Haudenschild C, Kitzman J, Nakayama T, Izutsu Y, Robert J, Fortriede J, Burns K, Lotay V, Karimi K, Yasuoka Y, Dichmann DS, Flajnik MF, Houston DW, Shendure J, DuPasquier L, Vize PD, Zorn AM, Ito M, Marcotte EM, Wallingford JB, Ito Y, Asashima M, Ueno N, Matsuda Y, Veenstra GJ, Fujiyama A, Harland RM, Taira M, Rokhsar DS., Nature. October 20, 2016; 538 (7625): 336-343.   


Occupancy of tissue-specific cis-regulatory modules by Otx2 and TLE/Groucho for embryonic head specification., Yasuoka Y, Suzuki Y, Takahashi S, Someya H, Sudou N, Haramoto Y, Cho KW, Asashima M, Sugano S, Taira M., Nat Commun. July 9, 2014; 5 4322.   


Evolutionary origins of blastoporal expression and organizer activity of the vertebrate gastrula organizer gene lhx1 and its ancient metazoan paralog lhx3., Yasuoka Y, Kobayashi M, Kurokawa D, Akasaka K, Saiga H, Taira M., Development. June 1, 2009; 136 (12): 2005-14.   

???pagination.result.page??? 1