Click here to close
Hello! We notice that you are using Internet Explorer, which is not supported by Xenbase and may cause the site to display incorrectly.
We suggest using a current version of Chrome,
FireFox, or Safari.
???displayArticle.abstract??? Notch signaling mediates numerous developmental cell fate decisions in organisms ranging from flies to humans, resulting in the generation of multiple cell types from equipotential precursors. In this paper, we present evidence that activation of Notch by its ligand Serrate apportions myogenic and non-myogenic cell fates within the early Xenopus heart field. The crescent-shaped field of heartmesoderm is specified initially as cardiomyogenic. While the ventral region of the field forms the myocardial tube, the dorsolateral portions lose myogenic potency and form the dorsal mesocardium and pericardial roof (Raffin, M., Leong, L. M., Rones, M. S., Sparrow, D., Mohun, T. and Mercola, M. (2000) Dev. Biol., 218, 326-340). The local interactions that establish or maintain the distinct myocardial and non-myocardial domains have never been described. Here we show that Xenopus Notch1 (Xotch) and Serrate1 are expressed in overlapping patterns in the early heart field. Conditional activation or inhibition of the Notch pathway with inducible dominant negative or active forms of the RBP-J/Suppressor of Hairless [Su(H)] transcription factor indicated that activation of Notch feeds back on Serrate1 gene expression to localize transcripts more dorsolaterally than those of Notch1, with overlap in the region of the developing mesocardium. Moreover, Notch pathway activation decreased myocardial gene expression and increased expression of a marker of the mesocardium and pericardial roof, whereas inhibition of Notch signaling had the opposite effect. Activation or inhibition of Notch also regulated contribution of individual cells to the myocardium. Importantly, expression of Nkx2. 5 and Gata4 remained largely unaffected, indicating that Notch signaling functions downstream of heart field specification. We conclude that Notch signaling through Su(H) suppresses cardiomyogenesis and that this activity is essential for the correct specification of myocardial and non-myocardial cell fates.
Fig. 1. Expression patterns of Notch1 and Serrate1 within the
Nkx2.5/heart field. (Aa-n) Expression patterns of Nkx2.5, TnIc,
Notch1 and Serrate1 by whole-mount in situ hybridization from
stages 22 to 30. Embryos are shown ventrally with anterior
oriented to the top. Inset shows anterior lateral views. Note the
dynamic expression patterns within the cardiogenic mesoderm:
expression of Notch1 and Serrate1 largely overlap at stages 22-25
but become distinct at later stages as terminal markers of
myocardial differentiation are expressed. (o-r) Stage 30 embryos
were embedded following in situ hybridization and sectioned
transversely. By this stage, the patterns have become refined such
that expression of Serrate1 extends more dorsolaterally than that of
Notch1. Overlap is restricted to the region spanning the developing
mesocardium. (B) Transverse sections of double in situ
hybridization of TnIc (in red) and Serrate1 (in blue). At this stage,
the expression of Serrate1 has been resolved to the dorsolateral
margins of the cardiogenic mesoderm and is largely excluded from
the myocardium marked by TnIc. (C) Expression of Delta1 and
Delta2 by whole-mount in situ hybridization. Transcripts are
present in the developing nervous system and in the branchial
arches (indicated by yellow arrow) but absent from the developing
heart region. Abbreviations: en, endoderm; me, mesocardium; my,
myocardium; pc, pericardium; pr, pericardial roof; ta, truncus
arteriosus.
Fig. 2. Schematic of the inducible Su(H) constructs. (A) The
conditionally activate GR-Su(H)VP16 construct was made by fusing
the human glucocorticoid receptor ligand binding domain (green) in
frame to the amino terminus and the VP16 activation domain (red) to
the carboxy terminus of wild-type Xenopus Su(H) (blue). (B) The
dominant negative GR-Su(H)DBM was made by fusing the human
glucocorticoid receptor ligand binding domain (green) in frame to a
construct harboring point mutations (yellow) in the DNA binding
domain of Xenopus Su(H) (blue) (Wettstein et al., 1997). (C) GRNotchICD
was made by fusing the GR domain (green) in frame to
the intracellular domain of Xenopus Notch (Notch-ICD) (orange).
Fig. 3. Notch signaling influences the expression of Serrate1.
Serrate1 expression was examined in embryos injected with mRNAs
encoding either GR-Su(H)VP16 or GR-Su(H)DBM into one
dorsovegetal blastomere at the 8-cell stage as described in the
Materials and Methods. mRNA encoding b-galactasidase was coinjected
as a lineage tracer. Embryos were induced with
dexamethasone at stages 18-19 and cultured until fixation at stages
28-31. (A,B) Expression of Serrate1 on the uninjected and injected
sides, respectively, of an embryo injected with GR-Su(H)VP16 and
induced with dexamethasone. (C) Ventral view of a sibling GRSu(
H)VP16 injected embryo. Note the decreased expression of
Serrate1 on the injected side (arrow). (D,E) Expression of Serrate1
on the uninjected and injected side, respectively, of an embryo
injected with GR-Su(H)DBM and induced with dexamethasone.
(F) Ventral view of a sibling GR-Su(H)DBM-injected embryo. Note
the increased expression of Serrate1 on the injected side (arrow).
Serrate1 was unaffected in injected embryos cultured in the absence
of dexamethasone (data not shown).
Fig. 4. Inverse effects of GR-Su(H)VP16 and GR-Su(H)DBM on myocardial gene expression. Expression of contractile protein genes TnIc and
MHCa were examined in embryos injected with mRNA encoding either GR-Su(H)VP16 or GR-Su(H)DBM. All embryos are oriented ventrally
with anterior at top. Arrows indicate the injected side of the embryo. (A-D) Embryos injected with GR-Su(H)VP16. Control injected embryos
cultured in the absense of dexamethasone (uninduced, A,C) had symmetric expression of TnIc and MHCa. In contrast, injected embryos
cultured in the presence of dexamethasone (induced, B,D) showed dramatically decreased expression on the injected sides. (E-H) The opposite
effect was seen in GR-Su(H)DBM-injected embryos. Embryos cultured in the absence of dexamethasone had symmetric expression of TnIc and
MHCa, whereas those induced with dexamethasone showed increased expression of the myocardial markers on the injected sides. (I,J) Similar
to the effects observed with GR-Su(H)VP16, activation of Notch signaling with GR-NotchICD decreased myocardial gene expression on the
injected side in a dexamethasone dependent manner.
Fig. 5. Heart field markers Nkx2.5 and Gata4 are largely unaffected by perturbations in Notch signaling after stage 19-20. Embryos were
injected with mRNA encoding either GR-Su(H)VP16 (A-D), GR-Su(H)DBM (E-H), or GR-NotchICD (I,J), treated as in Fig. 3, and assayed for
expression of the early heart field markers Nkx2.5 and Gata4. All embryos are shown ventrally with anterior to the top. Arrows indicate the
injected side of the embryo. Note the bilaterally symmetric expression of the early heart field markers in all cases.
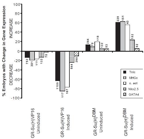
Fig. 6. Summary of the effects of Notch signaling
on cardiac gene expression. The percentage of
injected embryos showing either an increase or a
decrease in gene expression on the injected side is
indicated on the Y-axis and markers examined in
each case indicated along the X-axis. The total
number of embryos analyzed for each gene
examined is indicated in parentheses. Activation
and suppression of Notch signaling elicited
opposite effects on markers of terminal
myocardial differentiation but did not greatly alter
expression of genes that mark the early heart field
(compare TnIc, MHCa, c. actin with Nkx2.5 and
Gata4). Although the Su(H) constructs functioned
conditionally, the minimal effects observed in the
absence of dexamethasone suggest some residual
activity. Standard error from the mean was less
than 5% for embryos cultured in the absence of
dexamethasone and less than 9% for all embryos
cultured in the presence of dexamethasone.
Fig. 7. Activation of Notch inhibits the contribution of
individual cells to myocardial tissue. Embryos were injected
into one dorsal-vegetal blastomere at the 8-cell stage with
mRNA encoding either GR-Su(H)VP16 or GR-Su(H)DBM,
treated as described above and fixed at stages 40-42. Embryos
were then processed for b-galactosidase activity to identify the fate of the cellular progeny of the injected blastomeres. At this stage, the heart
tube has fused and looped, and the ventral ectoderm is transparent allowing for direct visualization of the heart. A black oval surrounds the
myocardium. (A) Examples of injected embryos. In the absence of dexamethasone, the progeny of injected blastomeres contribute to the entire
heart region as well as to surrounding tissue (a,b). In contrast, b-galactosidase-positive cells are absent in the myocardium of embryos injected
with mRNA encoding GR-Su(H)VP16 and treated with dexamethasone, despite contribution to non-myocardial structures (c). b-galactosidase
is detected throughout the myocardium of embryos expressing induced GR-Su(H)DBM (d). (B) Percentage of injected embryos with
b-galactosidase-positive cells contributing to the myocardium.
Fig. 8. Notch signaling affects endogenous levels of Bmp4, a marker of dorsal mesocardial and
pericardial roof cells. (A) Bmp4 expression marks the pericardial roof and mesocardium at stage
30 shown in whole-mount (a) and transverse section (b,c). (B) Bmp4 expression in injected
embryos. Embryos injected with GR-Su(H)VP16 and induced with dexamethasone displayed
increased expression of Bmp4 on the injected side (b,d). In contrast, injection and induction of
GR-Su(H)DBM resulted in a decreased expression on the injected side (f,h). Symmetrical
expression was observed in control, sibling embryos that were injected but not induced (a,c,e,g).
Fig. 9. Two models for the role of Notch signaling during cardiogenesis. In a
binary lineage decision model (A), differentiation of an Nkx2.5-positive cell
towards a myocardial or a mesocardial/pericardial roof fate would depend directly
on Notch signaling. In contrast, Notch signaling might act to maintain or prolong a
multipotent precursor state (B). In such a model, myocardial differentiation would
be permitted in ventral cells in the absence of endogenous Notch signaling, while
persistent Notch activity dorsolaterally would block differentiation. Subsequent
cessation of Notch signaling dorsolaterally would then allow mesocardial and
pericardial roof differentiation. In this model, Notch regulates responsiveness and
an endogenous timer and/or extrinsic local cues are needed to specify cell fate.