|
Figure 1. Current–voltage relationship of the IRK1 channel. (A) A family of current traces recorded from an inside-out patch at membrane voltages from −100 to +100 mV in 5-mV increments. However, for clarity, we plotted only the current traces recorded at 10-mV intervals. The recording was made without adding any tested blocking ions in the intracellular solution. (B) The I-V curves of the channel obtained 2 and 300 ms after the start of the voltage step. (C) The ratio of the currents in B is plotted against membrane voltage. The curve superimposed on the data is the fit of equation I300 ms/I2 ms = 1/(1 + K*eZ*FVm/RT), which corresponds to a model where increasing membrane voltage increases the probability of a channel (Ch) entering a nonconducting state (Ch*). The equilibrium constant K* is defined as the ratio of the fractions of Ch* and Ch, while Z* is the apparent valence for the transition Ch ↔ Ch*. From the fit, we obtain K* = 0.03 ± 0.01 and Z* = 0.55 ± 0.01 (mean ± SEM, n = 6). |
|
Figure 2. Block of the IRK1 channel by intracellular TEA. (A) Current traces recorded in the absence or presence of various concentrations of TEA. The holding potential was zero. For each experiment, the membrane voltage was first hyperpolarized to −100 mV for 50 ms, and then stepped to various test voltages from −100 to +100 mV, in 10-mV increments, for 300 ms. The dashed lines identify the zero current level. (B) Steady state I-V curves in the absence or presence of TEA at concentrations of 10, 30, 100, and 300 μM, and 1, 3, and 10 mM. The current values were determined at the end of each 300-ms voltage pulse. (C) The fractions of current not blocked by TEA at the seven concentrations in B are plotted as a function of membrane voltage. The curves superimposed on the data are fits of the Woodhull equation, I/Io = 1/(1 + [TEA]/Kde−ZF V/RT) (Woodhull 1973), with Kd = 0.20 ± 0.01 mM and Z = 0.85 ± 0.01 (mean ± SEM, n = 5). |
|
Figure 3. Channel block by intracellular putrescine. (A) Current traces recorded in the absence or presence of various concentrations of putrescine. For each experiment, the membrane voltage was first hyperpolarized to −100 mV for 50 ms, and then stepped to various test voltages from −100 to +100 mV in 5-mV increments for 300 ms. However, for clarity, we only plotted the current traces recorded at 10-mV intervals. (B) I-V curves in the absence or presence of various concentrations of putrescine. (C) The fractions of current not blocked by putrescine are plotted against membrane voltage. The curves were drawn according to the Woodhull equation (Fig. 2). |
|
Figure 4. Channel block by a series of intracellular diamines. Current traces recorded in the presence of nine diamines (DMC2 through DMC10, labeled as C2 through C10) at the concentration indicated. The voltage protocol was as for Fig. 3. |
|
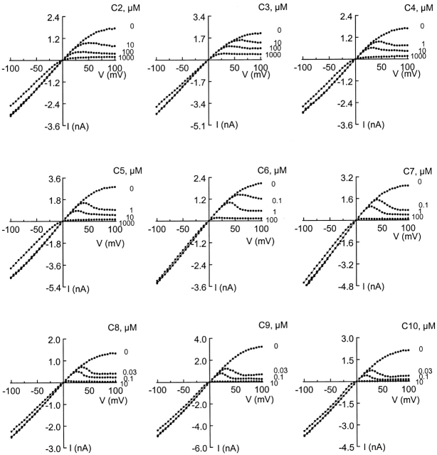
Figure 5. Effects of a series of intracellular diamines on the current–voltage relationship of the IRK1 channel. The I-V curves were obtained in the absence or presence of nine diamines (DMC2 through DMC10, labeled C2 through C10) at the concentrations indicated. |
|
Figure 6. Voltage dependence of channel block by a series of intracellular diamines. The fractions of unblocked current in the presence of various diamines (DMC2 through DMC10, labeled C2 through C10) at the indicated concentrations were plotted as a function of membrane voltage. The curves superimposed on the data are fits of . From each fit, the current at a given voltage was normalized to the value at −100 mV. |
|
Figure 7. Channel block by intracellular spermidine. (A) Current traces recorded in the absence or presence of various concentrations of spermidine. The voltage protocol was as for Fig. 3. (B) I-V curves in the absence or presence of various concentrations of spermidine. (C) The fractions of current not blocked by spermidine are plotted as a function of membrane voltage. The curves are fits of . For each fit, the current at a given voltage was normalized to the value at −100 mV. The parameters determined from the fits are: Ka1 = 6.7 (±0.6) × 10−6 M, Za1 = 5.0 ± 0.1; ka−2/ka−1 = 3.2 (±0.7) × 10−2, “za−1 + za−2” = 5.1 ± 0.1; Kb1 = 2.9 (±0.3) × 10−5 M, Zb1 = 3.2 ± 0.1; kb−2/kb−1 = 3.0 (±0.6) × 10−3, “zb−1 + zb−2” = 3.4 ± 0.1 (mean ± SEM, n = 9). |
|
Figure 9. Intracellular pH dependence of IRK1 channel block by intracellular spermidine. (A) Families of current traces at various membrane voltages from −100 to +100 mV. The two sets of current traces (top and bottom) were obtained without and with spermidine, respectively. The two sets of current traces (left and right) were obtained at intracellular pH 7.6 and 6.6, respectively. Extracellular pH was 7.6 in both cases. The voltage protocol was as for Fig. 3. (B) The fractions of unblocked current in the presence of 0.1 μM spermidine at intracellular pH 6.6 and 7.6 are plotted as a function of membrane voltage. The smooth curves were obtained by simultaneously fitting to the two data curves. The values of all parameters obtained from the fit are: Ka1 = 3.7 (±0.4) × 10−6 M, Za1 = 5.0 ± 0.2; ka−2/ka−1 = 2.0 (±0.3) × 10−2, “za−1 + za−2” = 4.8 ± 0.1; Kb1 = 5.0 (±0.1) × 10−5 M, Zb1 = 3.3 ± 0.2; kb−2/kb−1 = 4.1 (± 1.0) × 10−3, “zb−1 + zb−2” = 3.3 ± 0.1; and pKa = 8.1 ± 0.1 (mean ± SEM, n = 3). |
|
Figure 8. Channel block by intracellular spermine. (A) Current traces recorded in the absence or presence of two concentrations of spermine. The voltage protocol was as for Fig. 3, except that the voltage pulses were 1-s long. (B) I-V curves in the absence or presence of the two concentrations of spermine. (C) The fractions of current not blocked by spermine are plotted against membrane voltage. The curves superimposed on the data are fits of . For each fit, the current at a given voltage was normalized to the value at −100 mV. The parameters determined from the fits are: Ka1 = 2.3 (±0.5) × 10−7 M, Za1 = 5.4 ± 0.2; ka−2/ka−1 = 2.8 (±0.8) × 10−2, “za−1 + za−2” = 5.6 ± 0.3; Kb1 = 4.6 (±0.7) × 10−6 M, Zb1 = 3.7 ± 0.3; kb−2/kb−1 = 8.5 (±0.9) × 10−4, “zb−1 + zb−2” = 3.9 ± 0.2 (mean ± SEM, n = 9). |
|
Figure 10. Channel block by intracellular PhTx. (A) Current traces recorded in the absence or presence of 10 μM PhTx. The voltage protocol was as for Fig. 3. (B) I-V curves in the absence or presence of 10 μM PhTx. (C) The fraction of current not blocked by 10 μM PhTx is plotted against membrane voltage. The curve is a fit of the Woodhull equation, I/Io = 1/(1 + [PhTx]/Kde−ZF V/RT). During the fit, the current at a given voltage was normalized to the value at −100 mV. The values of Kd and Z determined from the fits are 21.3 ± 0.4 μM and 2.8 ± 0.1 (mean ± SEM, n = 3), respectively. |
|
Figure 12. Analysis of channel block by primary diamines of varying methylene chain length. Parameters K1, Z1, k−2/k−1, and “z−1 + z−2” (mean ± SEM, n = 9) are plotted in A–D against the number of methylene groups in each diamine. The parameters were obtained by fitting to the data, as shown in Fig. 6. |
|
Figure 11. Kinetic schemes for channel block by di- and polyamines. A assumes that a diamine (DM) blocks the channel (Ch) as a permeant blocker. B assumes that a polyamine (PM) blocks the channel (Ch) in two possible conformations, a and b. Parameters kx and zx are the rate constant and apparent valence, respectively, for a given transition. |
|
Figure 13. A kinetic model that includes an additional nonconducting state. To include the intrinsic gating (or channel block by contaminating blocking ions), an additional nonconducting state (Ch*) is incorporated into the scheme of Fig. 11 B. K* = [Ch*]/[Ch] is the equilibrium constant of the transition between Ch and Ch*, while Z* is the associated valence. |