XB-ART-12932
J Gen Physiol
1999 Jun 01;1136:799-818.
Show Gene links
Show Anatomy links
Divalent cation selectivity is a function of gating in native and recombinant cyclic nucleotide-gated ion channels from retinal photoreceptors.
Hackos DH, Korenbrot JI.
???displayArticle.abstract???
The selectivity of Ca2+ over Na+ is approximately 3.3-fold larger in cGMP-gated channels of cone photoreceptors than in those of rods when measured under saturating cGMP concentrations, where the probability of channel opening is 85-90%. Under physiological conditions, however, the probability of opening of the cGMP-gated channels ranges from its largest value in darkness of 1-5% to essentially zero under continuous, bright illumination. We investigated the ion selectivity of cGMP-gated channels as a function of cyclic nucleotide concentration in membrane patches detached from the outer segments of rod and cone photoreceptors and have found that ion selectivity is linked to gating. We determined ion selectivity relative to Na+ (PX/PNa) from the value of reversal potentials measured under ion concentration gradients. The selectivity for Ca2+ over Na+ increases continuously as the probability of channel opening rises. The dependence of PCa/PNa on cGMP concentration, in both rods and cones, is well described by the same Hill function that describes the cGMP dependence of current amplitude. At the cytoplasmic cGMP concentrations expected in dark-adapted intact photoreceptors, PCa/PNa in cone channels is approximately 7.4-fold greater than that in rods. The linkage between selectivity and gating is specific for divalent cations. The selectivity of Ca2+ and Sr2+ changes with cGMP concentration, but the selectivity of inorganic monovalent cations, Cs+ and NH4+, and organic cations, methylammonium+ and dimethylammonium+, is invariant with cGMP. Cyclic nucleotide-gated channels in rod photoreceptors are heteromeric assemblies of alpha and beta subunits. The maximal PCa/PNa of channels formed from alpha subunits of bovine rod channels is less than that of heteromeric channels formed from alpha and beta subunits. In addition, Ca2+ is a more effective blocker of channels formed by alpha subunits than of channels formed by alpha and beta subunits. The cGMP-dependent shift in divalent cation selectivity is a property of alphabeta channels and not of channels formed from alpha subunits alone.
???displayArticle.pubmedLink??? 10352032
???displayArticle.pmcLink??? PMC2225600
Species referenced: Xenopus
Genes referenced: acta4 dtl gca jmjd6 mhc2-dma
???attribute.lit??? ???displayArticles.show???
|
|
Figure 2. The cGMP concentration ramp. (Top left) The rod membrane patch was first exposed to symmetric NaCl solutions free of divalent cations, and I–V curves recorded with a voltage ramp both before and after adding 300 μM cGMP. The I–V curve measured at 300 μM indicates the maximum possible current, and its intersection with the I–V curve measured at 0 cGMP defines the origin (0,0) of the I–V plane for this patch. Currents were then measured with 10 mM Ca2+ added to the cytoplasmic surface in the steady presence of 5, 10, 20, and 300 μM. (Top right) The current amplitude measured at a fixed voltage (+15 mV) in the I–V curves is a function of [cGMP] well described by the Hill equation (Eq. 3). For the data shown, K1/2 = 10.3 μM and n = 2.48 define the “calibration” of the patch. (Bottom left) A step of 300 μM cGMP was next presented to the patch until a maximum, time-invariant current was observed. At t = 0, the superfusate was switched to the same solution, but free of cGMP. Rapid (500 ms) I–V curves were repeatedly measured at 2-s intervals as cGMP concentration declined. The concentration present at the moment any given I–V was recorded was determined by measuring the current amplitude at +15 mV and using the calibration curve in the top right. (Bottom right) Time course of cGMP washout from the patch determined from the I–V curves at bottom left. cGMP concentration in front of the membrane patch declined along a single exponential time course with time constant 12.6 s. |
|
|
Figure 3. Ca2+ selectivity of cGMP-gated channels in rods is a function of cGMP concentration. (Top) I–V curves measured with a cGMP concentration ramp in the presence of symmetric Na+ (150 mM) with Ca2+ (10 mM) added to the cytoplasmic surface of the membrane. The data is from the same patch illustrated in Fig. 2. The cGMP concentration at the moment each I–V curve was measured is given next to the curve. Also shown are currents measured in the same patch under symmetric Na+ solutions without added Ca2+ before (0) and after adding 300 μM cGMP. The reversal potential was measured by fitting a straight line to the I–V curves between −15 and +10 mV, and determining the voltage at which this straight line crossed the 0 cGMP I–V curve (the leak current). (Bottom left) Reversal potential and membrane conductance as a function of [cGMP]. (•) Reversal potentials measured in the data on top, (○) normalized current amplitude (plotted as 1 − I/Imax and scaled) measured in the same patch at +15 mV with steps of cGMP concentration (5, 10, 20, 300 μM). The continuous line depicts the modified Hill equation (Eq. 4) optimally fit to the data points. The values of the adjustable parameters were K1/2 = 10.3 μM, n = 2.48, min = −2.0 mV, and max = −6.1 mV. (Bottom right) PCa/PNa calculated from the reversal potentials on the left as a function of [cGMP]. The continuous line is the same Hill equation as on the left, with PCa/PNamin = 1.7 and PCa/PNamax = 5.93. |
|
|
Figure 4. In rod channels, reversal potential under symmetric Na+ solutions (150 mM) is independent of cGMP. (Top left) I–V curves measured between −30 and +30 mV with a cGMP concentration ramp. (Top right) High resolution presentation of the data on the left. The cGMP concentration at the moment each I–V curve was measured is given next to the curve. (Bottom) Reversal potential as a function of [cGMP]. The mean value is 0 mV and is independent of cGMP concentration. |
|
|
Figure 5. Extent of voltage- dependent Ca2+ block is a function of cGMP concentration in rod photoreceptors. (Top) The extent of conductance block by 5 mM Ca2+ in the voltage range between −80 and +80 mV was measured in the same patch at various cGMP concentrations (5, 10, 20, and 300 μM, as labeled). The I–V curves under symmetric Na+ solutions (150 mM) were first measured in the presence of the various cGMP concentrations using a voltage ramp. The same curves were then measured again at each of the cGMP concentrations, but now with 5 mM Ca2+ added to the cytoplasmic surface. The extent of Ca2+-dependent conductance block, gCa(v)/g(v) was determined by dividing, for each cGMP concentration tested, the current ramp measured in the presence of 5 mM cytoplasmic Ca2+ by the ramp measured in its absence. (Bottom) The extent of Ca2+ block measured at −60 mV (▴), measured from the data on top, is a function of cGMP well described by a modified Hill equation (Eq. 4). The continuous line is a Hill function optimally fit to the data. The values of the adjustable parameters are: K1/2 = 9.43, n = 1.4, max = 0.33, min = 0.095. The same function describes the dependence of current amplitude on cGMP concentration (○) in the same patch in the presence of Ca2+. |
|
|
Figure 6. Sr2+ selectivity of the cGMP-gated channels in rods is a function of cGMP concentration. (Top) I–V curves measured with a cGMP concentration ramp in the presence of symmetric Na+ (150 mM) with 20 mM Sr2+ added to the cytoplasmic surface of the membrane. The cGMP concentration at the moment each I–V curve was measured is given next to the curve. (Bottom left) Reversal potential and membrane conductance as a function of [cGMP]. (•) Reversal potentials measured in data in top, (○) normalized current amplitude (plotted as scaled, 1 − I/Imax) measured in the same patch at +15 mV with steps of cGMP concentration (5, 10, 20, 40, 300 μM). The continuous line is the modified Hill equation (Eq. 4) optimally fit to the data. The values of the adjustable parameters are K1/2 = 11.0 μM, n = 2.1, min = −1.38 mV, and max = −5.33 mV. (Bottom right) PSr/ PNa calculated from the reversal potentials on left as a function of [cGMP]. The continuous line is the same Hill function as on the left, but with PSr/PNamin = 0.47 and PSr/PNamax = 2.71. |
|
|
Figure 7. Cs+ and NH4+ selectivity of cGMP-gated channels in rod photoreceptors is independent of cGMP concentration. (Top left) I–V curves activated with a cGMP concentration ramp in the presence of biionic solutions: Cs+ (150)/Na+ (150). The cGMP concentration at the moment each I–V curve was measured is given next to the curve. Also shown is the I–V curve activated by 300 μM cGMP in the same patch in the presence of symmetric Na+ solutions. (Top right) I–V curves measured with a cGMP concentration ramp in the presence of biionic NH4+ (150)/Na+ (150) solutions. The cGMP concentration at the moment each I–V curve was measured is given next to the curve. Also shown is the I–V curve activated by 300 μM cGMP in the same patch in the presence of symmetric Na+ solutions. (Bottom left) Reversal potential as a function of [cGMP] measured in the biionic Cs+/Na+ solutions shown on top. The dashed line is the mean of these values, 18.6 mV, which yields PCs/PNa = 0.49. (Bottom right) Reversal potential as a function of [cGMP] measured in the biionic NH4+/Na+ solutions shown on top. The dashed line is the mean of these values, −20.8 mV, which yields PNH4/PNa = 2.31. |
|
|
Figure 8. Methylammonium+ and dimethylammonium+ selectivity of cGMP-gated channels in rod photoreceptors is independent of cGMP concentration. (Top left) IâV curves activated with steps of cGMP, as labeled next to each curve, in the presence of biionic solutions: MA (150)/Na+ (150). Also shown is the IâV curve activated by 500 μM cGMP in the same patch in the presence of symmetric Na+ solutions. (Top right) IâV curves activated with steps of cGMP, as labeled next to each curve, in the presence of biionic solutions: DMA (150)/ Na+ (150). Also shown is the IâV curve activated by 500 μM cGMP in the same patch in the presence of symmetric Na+ solutions. (Bottom left) Reversal potential as a function of [cGMP] measured in the biionic MA/Na+ solutions shown on top. The dashed line is the mean of these values, 16.0 mV, which yields PMA/PNa = 1.90. (Bottom right) Reversal potential as a function of [cGMP] measured in the biionic DMA/Na+ solutions shown on top. The dashed line is the mean of these values, 51.5 mV, which yields PDMA/PNa = 7.94. |
|
|
Figure 9. Homomeric α channels are functionally distinguishable from heteromeric αβ channels expressed in Xenopus oocytes. I–V curves were measured in the presence (curve 2) or absence (curve 1) of saturating cGMP concentration (600 μM) in inside out membrane patches expressing bovine α (top left) or αβ (top right) channels. In each of the same membrane patches, cGMP-activated currents were measured under symmetric Na+ (150 mM) solutions (curve 2), and also after adding to the cytoplasmic surface either Ca2+ (10 mM) (curve 3) or l-cis-diltiazem (10 μM) (curve 4). l-cis-diltiazem is an effective blocker of αβ, but not α channels. (Bottom) Voltage-dependent current block by Ca2+ calculated from the data on top by dividing the cGMP-dependent current measured after adding Ca2+ by that measured before. |
|
|
Figure 10. Ca2+ selectivity as a function of cGMP in recombinant bovine rod α or αβ cGMP-gated channels. I–V curves measured in Xenopus oocyte membranes expressing either homomeric α (top left) or heteromeric αβ (top right) channels. Currents were activated with step concentrations of cGMP in the presence of symmetric Na+ (150 mM) solutions with Ca2+ (10 mM) added to the cytoplasmic side of membrane. cGMP concentrations are given next to each curve. Each trace is the signal average of 10 individual curves measured at each cGMP concentration. Also shown are I–V curves measured under symmetric Na+ in the absence of cGMP or after addition of saturating cGMP (600 μM) in order to define the origin (0,0) of the I–V plane. (Bottom left) Reversal potentials as a function of [cGMP] measured in α (▴) or αβ (•)channels. Open symbols are data measured in the same patch with steps of cGMP, while filled symbols are data measured with a cGMP concentration ramp. The mean value of the reversal potential measured at all cGMP concentrations in α channels (dashed line) is −5.2 mV. The continuous line is the modified Hill equation (Eq. 4) that best fits the data collected on αβ channels. The adjustable parameters are: K1/2 = 45.4 μM, n = 2.45, min = −4.38 mV, and max = −8.0 mV. The same parameters define the Hill equation that best describes the dependence on cGMP of current amplitude measured at +15 mV in the same patch, under the same ionic conditions. (Bottom right) PCa/PNa as a function of [cGMP] measured in α (▴) and αβ (•) channels from the data on the left. The mean PCa/PNa for the α channel (dashed line) is 5.1. For the αβ channels, the same Hill function as on the left fits the data optimally with PCa/PNamin = 4.1 and PCa/PNamax = 8.8. |
|
|
Figure 11. Cs+ and NH4+ selectivity is not a function of cGMP in recombinant bovine rod α or αβ cGMP-gated channels. Panels illustrate I–V curves measured using cGMP concentration ramps in the presence of biionic solutions of either Cs+ (150 mM)/Na+ (150 mM) (top) or NH4+ (150 mM)/Na+ (150 mM) (middle). (Left, top and middle) Currents measured in α channels. (Right, top and middle) Currents measured in αβ channels. Reversal potentials as a function of [cGMP] for Cs+ (bottom left) or NH4+ (bottom right) measured in α (▴) and αβ (•) channels. Open symbols are data measured with steps of cGMP, while filled symbols are data measured with a cGMP concentration ramp in the same membrane. The average reversal potentials are, for α channels: Cs+ = 28.3 mV; NH4+ = −31.8 mV, which correspond to PCs/PNa = 0.32 and PNH4/ PNa = 3.59. For αβ channels: Cs+ = 22.5 mV and NH4+ = −24.5 mV, which correspond to PCs/PNa = 0.40 and PNH4/ PNa = 2.68. |
|
|
Figure 12. Ca2+ selectivity in cGMP-gated channels of cone photoreceptors is a function of cGMP. (Top) I–V curves measured with a cGMP concentration ramp in the presence of symmetric Na+ (150 mM) with Ca2+ (5 mM) added to the cytoplasmic surface of the membrane. The cGMP concentration at the moment each I–V curve was measured is given next to the curve. Also shown are currents measured in the same patch under symmetric Na+ solutions without added Ca2+ before (0), and after adding 600 μM cGMP. (bottom left) Reversal potential as a function of cGMP. For the same patch illustrated on top: •, data measured with a cGMP concentration ramp; ○, data measured with steps of cGMP concentrations (10, 20, 40, 60, 600 μM). The continuous line is a modified Hill equation (Eq. 4) optimally fit to the data. The values of the adjustable parameters are: K1/2 = 22.5 μM, n = 2.5, min = −6.91 mV, and max = −9.5 mV. The same parameters describe the dependence of current amplitude on cGMP concentration in the same patch and under the same ionic conditions at +15 mV. (Bottom right) PCa/PNa as a function of [cGMP] calculated from the reversal potentials on the left. The continuous line is the same Hill function as in the left, but with PCa/PNamin = 13.9 and PCa/PNamax = 21.2. |
|
|
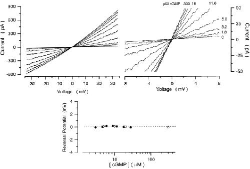
Figure 13. Cs+ and NH4+ selectivity of cGMP-gated channels in cone photoreceptors is independent of cGMP concentration. (Top left) I–V curves activated with a cGMP concentration ramp in the presence of biionic solutions: Cs+ (150)/Na+ (150). The cGMP concentration at the moment each I–V curve was measured were 0, 16.4, 23.2, 35.6, 40, 58, 87, and 1,000 μM. Also shown is the I–V curve activated by 1 mM cGMP in the same patch in the presence of symmetric Na+ solutions. (Bottom left) Reversal potential as a function of [cGMP]. (•) Reversal potentials measured from the data shown on top, (○) data measured in the same patch with steps of cGMP concentrations (10, 20, 40, and 1,000 μM). The dashed line is the mean of these values, 4.3 mV, which yields PCs/ PNa = 0.84. (Top right) I–V curves measured with a cGMP concentration ramp in the presence of biionic NH4+ (150)/Na+ (150) solutions. The cGMP concentrations at the moment of each I–V curve were 0, 17.6, 22.7, 40, 47, 93.9, and 1,000. Also shown is the I–V curve activated by 1,000 μM cGMP in the same patch in the presence of symmetric Na+ solutions. (Bottom right) Reversal potential as a function of [cGMP]. (•) Reversal potentials measured from the data on top, (○) data measured in the same patch with steps of cGMP concentrations (10, 20, 40, and 1,000 μM). The dashed line is the mean of these values, −15.8 mV, which yields PNH4/PNa = 1.89. |
References [+] :
Andersen,
Molecular determinants of channel function.
1992, Pubmed
Andersen, Molecular determinants of channel function. 1992, Pubmed
Bradley, Heteromeric olfactory cyclic nucleotide-gated channels: a subunit that confers increased sensitivity to cAMP. 1994, Pubmed
Butler, The thermodynamic activity of calcium ion in sodium chloride-calcium chloride electrolytes. 1968, Pubmed
Cameron, The magnitude, time course and spatial distribution of current induced in salamander rods by cyclic guanine nucleotides. 1990, Pubmed
Cervetto, The modulation of the ionic selectivity of the light-sensitive current in isolated rods of the tiger salamander. 1988, Pubmed
Chen, Subunit 2 (or beta) of retinal rod cGMP-gated cation channel is a component of the 240-kDa channel-associated protein and mediates Ca(2+)-calmodulin modulation. 1994, Pubmed
Chen, A new subunit of the cyclic nucleotide-gated cation channel in retinal rods. 1993, Pubmed , Xenbase
Cobbs, Cyclic GMP increases photocurrent and light sensitivity of retinal cones. , Pubmed
Colamartino, Blockage and permeation of divalent cations through the cyclic GMP-activated channel from tiger salamander retinal rods. 1991, Pubmed
Eismann, A single negative charge within the pore region of a cGMP-gated channel controls rectification, Ca2+ blockage, and ionic selectivity. 1994, Pubmed , Xenbase
Fodor, Tetracaine reports a conformational change in the pore of cyclic nucleotide-gated channels. 1997, Pubmed , Xenbase
Frings, Profoundly different calcium permeation and blockage determine the specific function of distinct cyclic nucleotide-gated channels. 1995, Pubmed , Xenbase
Frings, Tuning Ca2+ permeation in cyclic nucleotide-gated channels. 1999, Pubmed
Furman, Monovalent selectivity of the cyclic guanosine monophosphate-activated ion channel. 1990, Pubmed
Gordon, Modulation of the cGMP-gated ion channel in frog rods by calmodulin and an endogenous inhibitory factor. 1995, Pubmed
Gordon, Protein phosphatases modulate the apparent agonist affinity of the light-regulated ion channel in retinal rods. 1992, Pubmed
Hackos, Calcium modulation of ligand affinity in the cyclic GMP-gated ion channels of cone photoreceptors. 1997, Pubmed
Haynes, Permeation and block by internal and external divalent cations of the catfish cone photoreceptor cGMP-gated channel. 1995, Pubmed
Haynes, Single cyclic GMP-activated channel activity in excised patches of rod outer segment membrane. , Pubmed
Heginbotham, The aromatic binding site for tetraethylammonium ion on potassium channels. 1992, Pubmed
Hestrin, Effects of cyclic GMP on the kinetics of the photocurrent in rods and in detached rod outer segments. 1987, Pubmed
Hsu, Interaction of calmodulin with the cyclic GMP-gated channel of rod photoreceptor cells. Modulation of activity, affinity purification, and localization. 1994, Pubmed
Ildefonse, Single-channel study of the cGMP-dependent conductance of retinal rods from incorporation of native vesicles into planar lipid bilayers. 1991, Pubmed
Karpen, Interactions between divalent cations and the gating machinery of cyclic GMP-activated channels in salamander retinal rods. 1993, Pubmed
Koch, The cGMP-dependent channel of vertebrate rod photoreceptors exists in two forms of different cGMP sensitivity and pharmacological behavior. 1987, Pubmed
Korenbrot, Ca2+ flux in retinal rod and cone outer segments: differences in Ca2+ selectivity of the cGMP-gated ion channels and Ca2+ clearance rates. 1995, Pubmed
Körschen, A 240 kDa protein represents the complete beta subunit of the cyclic nucleotide-gated channel from rod photoreceptor. 1995, Pubmed
Lewis, Ion-concentration dependence of the reversal potential and the single channel conductance of ion channels at the frog neuromuscular junction. 1979, Pubmed
Liman, Subunit stoichiometry of a mammalian K+ channel determined by construction of multimeric cDNAs. 1992, Pubmed , Xenbase
Liman, A second subunit of the olfactory cyclic nucleotide-gated channel confers high sensitivity to cAMP. 1994, Pubmed , Xenbase
Liu, Subunit stoichiometry of cyclic nucleotide-gated channels and effects of subunit order on channel function. 1996, Pubmed
Menini, Currents carried by monovalent cations through cyclic GMP-activated channels in excised patches from salamander rods. 1990, Pubmed
Miledi, Chloride current induced by injection of calcium into Xenopus oocytes. 1984, Pubmed , Xenbase
Miller, In retinal cones, membrane depolarization in darkness activates the cGMP-dependent conductance. A model of Ca homeostasis and the regulation of guanylate cyclase. 1993, Pubmed
Miller, Kinetics of light-dependent Ca fluxes across the plasma membrane of rod outer segments. A dynamic model of the regulation of the cytoplasmic Ca concentration. 1987, Pubmed
Miller, Differences in calcium homeostasis between retinal rod and cone photoreceptors revealed by the effects of voltage on the cGMP-gated conductance in intact cells. 1994, Pubmed
Picco, The permeability of the cGMP-activated channel to organic cations in retinal rods of the tiger salamander. 1993, Pubmed
Picones, Permeability and interaction of Ca2+ with cGMP-gated ion channels differ in retinal rod and cone photoreceptors. 1995, Pubmed
Picones, Permeation and interaction of monovalent cations with the cGMP-gated channel of cone photoreceptors. 1992, Pubmed
Picones, Analysis of fluctuations in the cGMP-dependent currents of cone photoreceptor outer segments. 1994, Pubmed
Rebrik, In intact cone photoreceptors, a Ca2+-dependent, diffusible factor modulates the cGMP-gated ion channels differently than in rods. 1998, Pubmed
Root, Identification of an external divalent cation-binding site in the pore of a cGMP-activated channel. 1993, Pubmed , Xenbase
Ruiz, Single cyclic nucleotide-gated channels locked in different ligand-bound states. 1997, Pubmed , Xenbase
Ruiz, The single-channel dose-response relation is consistently steep for rod cyclic nucleotide-gated channels: implications for the interpretation of macroscopic dose-response relations. 1999, Pubmed , Xenbase
Schneggenburger, Coupling of permeation and gating in an NMDA-channel pore mutant. 1997, Pubmed , Xenbase
Schnetkamp, Sodium ions selectively eliminate the fast component of guanosine cyclic 3',5'-phosphate induced Ca2+ release from bovine rod outer segment disks. 1987, Pubmed
Seifert, Molecular determinants of a Ca2+-binding site in the pore of cyclic nucleotide-gated channels: S5/S6 segments control affinity of intrapore glutamates. 1999, Pubmed , Xenbase
Shapiro, Stoichiometry and arrangement of heteromeric olfactory cyclic nucleotide-gated ion channels. 1998, Pubmed , Xenbase
Stotz, Block of the cGMP-gated cation channel of catfish rod and cone photoreceptors by organic cations. 1996, Pubmed
Sun, Exposure of residues in the cyclic nucleotide-gated channel pore: P region structure and function in gating. 1996, Pubmed
Swanson, In vitro synthesis of RNA for expression of ion channels in Xenopus oocytes. 1992, Pubmed , Xenbase
Tanaka, Divalent effects on cGMP-activated currents in excised patches from amphibian photoreceptors. 1993, Pubmed
Taylor, Conductance and kinetics of single cGMP-activated channels in salamander rod outer segments. 1995, Pubmed
Torre, Different channel-gating properties of two classes of cyclic GMP-activated channel in vertebrate photoreceptors. 1992, Pubmed
Wells, Ion selectivity predictions from a two-site permeation model for the cyclic nucleotide-gated channel of retinal rod cells. 1997, Pubmed
Yau, Light-induced reduction of cytoplasmic free calcium in retinal rod outer segment. , Pubmed
Yool, Alteration of ionic selectivity of a K+ channel by mutation of the H5 region. 1991, Pubmed , Xenbase
Zagotta, Structure and function of cyclic nucleotide-gated channels. 1996, Pubmed
Zheng, Selectivity changes during activation of mutant Shaker potassium channels. 1997, Pubmed , Xenbase
Zimmerman, Cation interactions within the cyclic GMP-activated channel of retinal rods from the tiger salamander. 1992, Pubmed
Zimmerman, Cyclic GMP-sensitive conductance of retinal rods consists of aqueous pores. , Pubmed
Zimmerman, Hindered diffusion in excised membrane patches from retinal rod outer segments. 1988, Pubmed
