Click here to close
Hello! We notice that you are using Internet Explorer, which is not supported by Xenbase and may cause the site to display incorrectly.
We suggest using a current version of Chrome,
FireFox, or Safari.
Dev Biol
1997 Jun 15;1862:155-64. doi: 10.1006/dbio.1997.8586.
Show Gene links
Show Anatomy links
Identification of metalloprotease/disintegrins in Xenopus laevis testis with a potential role in fertilization.
Shilling FM, Krätzschmar J, Cai H, Weskamp G, Gayko U, Leibow J, Myles DG, Nuccitelli R, Blobel CP.
???displayArticle.abstract???
Proteins containing a membrane-anchored metalloprotease domain, a disintegrin domain, and a cysteine-rich region (MDC proteins) are thought to play an important role in mammalian fertilization, as well as in somatic cell-cell interactions. We have identified PCR sequence tags encoding the disintegrin domain of five distinct MDC proteins from Xenopus laevis testis cDNA. Four of these sequence tags (xMDC9, xMDC11.1, xMDC11.2, and xMDC13) showed strong similarity to known mammalian MDC proteins, whereas the fifth (xMDC16) apparently represents a novel family member. Northern blot analysis revealed that the mRNA for xMDC16 was only expressed in testis, and not in heart, muscle, liver, ovaries, or eggs, whereas the mRNAs corresponding to the four other PCR products were expressed in testis and in some or all somatic tissues tested. The xMDC16 protein sequence, as predicted from the full-length cDNA, contains a metalloprotease domain with the active-site sequence HEXXH, a disintegrin domain, a cysteine-rich region, an EGF repeat, a transmembrane domain, and a short cytoplasmic tail. To study a potential role for these xMDC proteins in fertilization, peptides corresponding to the predicted integrin-binding domain of each protein were tested for their ability to inhibit X. laevis fertilization. Cyclic and linear xMDC16 peptides inhibited fertilization in a concentration-dependent manner, whereas xMDC16 peptides that were scrambled or had certain amino acid replacements in the predicted integrin-binding domain did not affect fertilization. Cyclic and linear xMDC9 peptides and linear xMDC13 peptides also inhibited fertilization similarly to xMDC16 peptides, whereas peptides corresponding to the predicted integrin-binding site of xMDC11.1 and xMDC11.2 did not. These results are discussed in the context of a model in which multiple MDC protein-receptor interactions are necessary for fertilization to occur.
FIG. I. Alignment and phylogenetic compa rL~on of the dlsintegrin domains of xMDCs vvith other prl!$ently known MDC dlsintegrin domains.
(A) The disin tegrin domains of l'v1DC proteins (1- 16) are presented in order, with r.he numbers corresponding to those assigned w r.he identical
ADAM proteins (Wolfsberg and WhiLe, 1996). For the new xMDC PCR sequence tags, the deduced protein sequence is shown in alignment with
the closest known MDC protein, surrounded by a stippled box. The sequence identities between the disimegrin domain of xMDC proteins and
their closest recognized homologue are, for hMDC9 and xMDC9. 60.4% (29 of 418 amino acid residues); for xMDC11.1 and htv1DCI I, 75% (36 of
48 amino acid residues); for xMDC11.2 and hMDC11. 59.6% (28 of 47 amino acid residues): and for xMDC13 and mMDC13. 74.5% (35 of 47
amino acid residues). Other names used for individual MDC proteins are shown in bold on the right. The six sequences labeled m-PCR represent
mouse PCR sequence tags reported earlier (Weskamp and Blobel, 1994). These proteins will be ass igned an MDC/ADAM number once the fulllength
sequence is available. The GenBank Accession Nos. for MDC 1-13 are reported in Wolfsberg and White (1996). and r.he GenBank Accession
Nos. tor other protein<; in the alignment are as follows: U78 187 torxMDC9, U78189 for xMDC1l.l, U78188 for xMDCI1.2, U78 186 for xMDC13,
U68!85 for MDC14. U41 767 for MDC15. and U78185 for xMDC!6. (B) Phylogenetic relationship of the dlsinteg rin domains s hovvn in (A). All
xMDCs are marked with an asterisk. and all mammalian MDC proteins which are known to be expresSE.'Cl in the testis are marked with an arrow.
FIG. 2. Sequence and hydrophJJlclty plot of xMDC16. (A} The
deduced protein sequence ofxMDCJ6is shown, with the predicted
amino-terminus of each protein domain marked by a vertical bar.
Consensus sequences for N-llnked glycosylatlon sites are marked
with an asterisk, d1e predicted metalloprotease consensus sequence
is surrounded by a stippled rectangle, and d1e predicted lntegrinblndlng
sequence (KTEC), found in Ueu of the RGD sequence ln
snake venom dlslntegrlns, Is surrounded by a bold rectangle. (B) A
hydrophlllcity plot of xMDC16 was generated using DNASTAR
Protean software.
FIG. 3. Northern blot analysis ofxMDC16. The top shows Nordl ern
blots of RNA Isolated from the X. laevls tissues testis, heart,
Uver, and muscle (left) and testis. ovaries, and eggs (right). Both
blots were probed separately w1d1 32P-labeled xMDC16 eDNA under
high stringency conditions (see Methods}. The lower left shows
the same blot as the upper left probed as a control with 32P-labeled
X. Jaev/s fibronectln eDNA (kindly provided by Drs. D. Alfandar1
and D. DeSimone), after removal of the xMDC16 probe. The lower
right shows a Northern blot of RNA samples that were Identical
to dlose shown in the upper right (testis, ovary, and eggs}, probed
with the control 32P-labeled X. Jaev/s fibronectin eDNA.
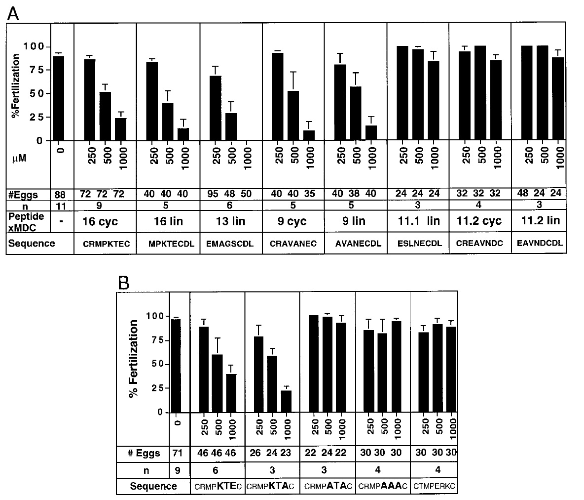
FIG. 4. Peptide Inhibition of Xenopus fertillzatlon. jellied eggs were prelncubated In dle indicated different concentrations of peptldes
and dlen Inseminated. The proportion of eggs d1at underwent the first cleavage were scored as fe rtilized. The error bars Indicate the
standard error of dle mean among experiments. The number of experiments Is Indicated in dle table (n), as Is the total number of eggs
used for different peptide concentrations. Eggs from a different female were used in each experiment, and the number of eggs per experiment
was usually 8, although as few as 5 eggs or as many as 16 were scored Ln some Instances. (A) Inh ibition studies using cyclic (cycllzed via
disulfide bond formation , see Methods) and linear peptides corresponding to d1e predicted binding sequence of different xMDC proteins
(see also Flg. !A}. The sequences of d1e peptides used here are shown In the table. The linear peptldes Include dlree carboxy-terminal
amino acid residues that were determined from longer eDNA clones of the corresponding xMDC genes (H. Cal, J. Kratzschmar, and C. P.
Blobel, manuscript In preparation}. The first bar stands for 0 rnM peptide and Is the control for all of the peptide treatments. (B) Inhibition
studles using variants of the xMDC16 peptides, in which individual amino acid residues of the predlcted binding site were changed Into
alanine residues, and also the results obtained with a scrambled peptide. The number of eggs used for each concentration. the number of
experiments for each peptide, and the sequences of the xMDC16 peptide variants are Indicated.