Click here to close
Hello! We notice that you are using Internet Explorer, which is not supported by Xenbase and may cause the site to display incorrectly.
We suggest using a current version of Chrome,
FireFox, or Safari.
???displayArticle.abstract???
The role of fibronectin in mesoderm cell migration and and the importance of mesoderm migration for gastrulation in Xenopus are examined. To allow for migration, a stable interface must exist between migrating mesoderm cells and the cells of the substrate layer, the blastocoel roof. We show that maintenance of this interface does not depend on fibronectin. We further demonstrate that fibronectin contributes to, but is not essential for, mesoderm cell adhesion to the blastocoel roof. However, interaction with fibronectin is necessary for cell spreading and the formation of lamelliform cytoplasmic protrusions. Apparently, the specific role of fibronectin in mesoderm migration is to control cell protrusive activity. Consequently, when fibronectin function is blocked by GRGDSP peptide or antibodies, mesoderm cell migration is inhibited. Nevertheless, gastrulation proceeds nearly normally in inhibitor-treated embryos. It appears that in Xenopus, mesoderm migration is not essential for gastrulation.
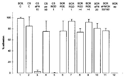
FIG. 1. Adhesion of prospective head mesoderm cells to the blastocoel roof (BCR) and to conditioned substrate (CS). The percentage of
cells binding to the inner surface of the BCR at stage 10 1/2 or to CS was determined in MBS or Danilchik’s solution alone (C) or in the
presence of Fab fragment of FN antibody (aFN), preimmune serum (ps), GRGDSP peptide (RGD), or GRGESP control peptide (RGE) at
the indicated concentrations (in mg/ml for antibodies and in mg/ml for peptides). Adhesion to the apical surface of the BCR (ap) was also
tested. Each column represents the average from 6–9 experiments involving 50–100 cells each; bars indicate standard deviations. Columns
are numbered; these numbers are referred to in the text.
FIG. 2. In situ morphology of mesoderm cells on the BCR. Stage 11 embryos were fixed, and the BCR was removed to expose the
substrate side of the moving mesoderm. Movement is to the top in all figures. Incubation in 4 mg/ml of GRGESP control peptide (a);
same concentration of GRGDSP peptide (b); 25 mg/ml of IgG fraction from preimmune serum (c); and 25 mg/ml of Fab fragments of FN
antibody (d). Arrows, examples of lamellipodia; arrowheads, filopodia. All same magnification; bar, 20 mm.
FIG. 3. Migration of mesoderm explants on the BCR in the presence of peptides or antibodies. A piece of head mesoderm was placed on
explanted BCR, secured under a glass bridge to prevent curling of the explant, and viewed under indirect illumination. The distance along
the dorsal lip–animal pole axis between the starting position and the center of the mesoderm explant was determined from time-lapse
video recordings and drawn as a function of time. A positive slope indicates movement away from the dorsal lip. Each line represents a
separate explant. Average velocities and standard deviations and the number of explants tested are indicated. (a) Explants in 4 mg/ml of
GRGDSP peptide, (b) in 4 mg/ml of GRGESP control peptide, (c) in 25 mg/ml of Fab fragments of FN antibody, (d) in 50 mg/ml of IgG
from preimmune serum. Average velocity in (a) is not significantly different from zero (significance level a 0.05) and is significantly
lower than velocity in (b) (a 0.001). Although average velocity in (c) is significantly higher than zero (a 0.001), it is nevertheless
significantly lower than the average velocity in (d) (a 0.001).
FIG. 4. Interaction of pre- and postinvolution mesoderm with the
BCR. Experimental design. Stage 10 1/2 BCR was excised and
placed in a dish with the apical side down (large twisted arrow).
Small pieces of involuted prospective head mesoderm (HM) and
preinvolution mesoderm (PM) were placed side by side on the BCR explant
(solid arrows). The explant was secured under a glass bridge
and incubated in the absence (a) or presence (b) of 4 mg/ml of
GRGDSP peptide. Pieces of mesoderm were also placed on the matrix-
free outer surface of the inner BCR layer (dashed arrows), after
removal of the apical layer (c).
FIG. 5. Interaction of preinvolution and involuted mesoderm with the BCR. Pieces of prospective head mesoderm (arrowheads) and
preinvolution mesoderm (arrows) on the inner surface of the BCR in the absence (a) or presence (b) of 4 mg/ml of GRGDSP peptide or on
the outer, matrix-free surface of the inner BCR layer (c). (a–c) Top: a few minutes after explantation (left) and after reintegration of the
preinvolution mesoderm into the BCR (between 20 and 40 min) (right). Bottom: higher magnification view of top right figure in each
panel. Top and bottom rows are all the same magnification, respectively; bars, 100 mm.
FIG. 6. Effect of peptides and FN antibody on gastrulation. (a) Dorsolateral view of stage 13 control embryos, with closed blastopore
(arrow) or small remnant of yolk plug (arrowhead). (b) Pear-shaped embryos incubated in 4 mg/ml of GRGDSP peptide, with protruding
vegetal yolk mass (arrowheads); lateral view with dorsal side down (left) or up (right) at stage 13. (c) Embryo in 8 mg/ml of GRGDSP
peptide, with large external vegetal yolk mass (arrowhead), dorsolateral view, stage 13. (d) Embryos incubated in 16 mg/ml of GRGESP
control peptide, showing varying degrees of gastrulation abnormalities at stage 13, ranging from a slight delay of blastopore (arrow) closure
(left), to a medium-sized (right), to a large (center) protruding yolk mass (arrowheads). (Arrows) Blastopore lip. Left and right embryo in
approximately dorsal view, and center embryo in lateral view, dorsal side to the left. (a–d) All same magnification; bar, 500 mm. (e) Pearshaped
stage 13 embryo incubated in 25 mg/ml of Fab fragments of FN antibody. Protruding yolk mass (arrowhead); blastopore lip (arrow).
(f) Control embryo incubated in 50 mg/ml of IgG from preimmune serum, blastopore lip (arrow) nearly closed, small internalized yolk
plug visible (arrowhead). (e and f) Same magnification; bar, 500 mm.
FIG. 7. Scanning electron micrographs of peptide-treated gastrulae. (a–c) Dorsal blastopore lip regions of sagittally fractured stage 11–
11 1/2 gastrulae. (a) Control embryo; (b) embryo incubated in 4 mg/ml of GRGDSP peptide; and (c) embryo incubated in 4 mg/ml of
GRGESP control peptide. Arrowhead in archenteron is pointing anteriorly. Elongated bottle cells line the anterior end of archenteron.
Above the archenteron, involuted mesoderm (m) is in contact with BCR. (d) Sagittally fractured stage 13 embryo incubated in 4 mg/ml
of GRGDSP peptide. Large protruding vegetal yolk mass (y) to the right, dorsal side to the top. (Arrowhead) Dorsal blastopore lip. Involuted
dorsal mesoderm (dm) with columnar cells. Ventral mesoderm (vm) forming an internal blastopore lip. bc, Remnant of blastocoel. (a–d)
Bars, 100 mm.
FIG. 8. Scanning electron micrographs of antibody-treated gastrulae. (a) Sagittally fractured stage 13 embryo continuously incubated in
25 mg/ml of anti-FN Fab fragments from stage 9 onward. Protruding vegetal yolk mass (y) to the left, dorsal side to the top. (Arrowhead)
Dorsal blastopore lip. dm, involuted dorsal mesoderm; a, archenteron cavity; vm, ventral mesoderm. (b) Sagittally fractured control embryo
incubated in 25 mg/ml of IgG from preimmune serum. y, yolk plug; dm, dorsal mesoderm; vm, ventral mesoderm; a, archenteron cavity.
Same orientation as in (a). Bars, 200 mm.
ForschungsFIG.
9. Larvae developing from peptide-treated gastrulae. Em-
bryos that gastrulated in the continuous presence of 4 mg/ml GRGESP
control peptide (a) or 4 mg/ml of GRGDSP peptide (b–d) were
raised to the larval stage. Deficiencies after GRGDSP peptide
treatment show a graded series (b–d).