Click here to close
Hello! We notice that you are using Internet Explorer, which is not supported by Xenbase and may cause the site to display incorrectly.
We suggest using a current version of Chrome,
FireFox, or Safari.
Maternal and zygotic expression of mRNA for S-adenosylmethionine decarboxylase and its relevance to the unique polyamine composition in Xenopus oocytes and embryos.
Shinga J, Kashiwagi K, Tashiro K, Igarashi K, Shiokawa K.
???displayArticle.abstract???
From Xenopus tailbud cDNA library, we isolated the cDNA for S-adenosylmethionine decarboxylase (SAMDC), an enzyme which provides putrescine and spermidine with the aminopropyl group to form spermidine and spermine, respectively. The cDNA coded for 335 amino acids whose sequence had high homology (ca. 83%) to other vertebrate SAMDCs, preserving the sequences reportedly essential for enzyme activity, proenzyme processing, and putrescine stimulation of the enzyme activity. Northern blot analysis showed one major mRNA signal of ca. 3.5 kb, with a minor signal of ca 2.0 kb which may probably be due to cross-hybridization. In oocytes the SAMDC mRNA occurred from stage I, and its amount peaked at stage II, then gradually decreased from stage III to VI. The decreased level of the mRNA was maintained during oocyte maturation, further decreased from the cleavage to early neurula stage, and then increased greatly due to the zygotic expression during late neurula stages (stage 21-25), reaching a plateau level at the late tailbud stage (stage 28). Enzyme assays showed that the changing level of the SAMDC mRNA was reflected in the level of the functional enzyme, suggesting strongly that the zygotic expression of the mRNA leads to a large increase in the amount of SAMDC, albeit in the pre-neurulaembryo the amount of the enzyme is very small. We found that the relative composition of polyamines is the eukaryote-type (high-level spermine) at the beginning of oogenesis, but it changes to the prokaryote-type, or more appropriately Escherichia coli-type (high-level putrescine but background level spermine) during oocyte maturation, and remains E. coli-type throughout embryogenesis. We assume that the E. coli-type polyamine composition is a necessary factor for the normal embryogenic development in Xenopus and its maintenance, especially that in pre-neurula stages, can be explained by the low level of both SAMDC mRNA and SAMDC.
Fig. 1. Nucleotides of Xenopus SAMDC cDNA and its deduced amino acid sequence. Altogether 1030 nucleotides are shown by numbering the A of the
first putative initiation codon (boxed by the solid line) as l, the last nucleotide of each line being numbered to the right. The amino acid sequence is shown
underneath the nucleotide sequeqce by single letter codes. To the right, the last amino acid of each line is also numbered (every 30 residues) starting from
the putative initiator methionine (boxed by the solid line) as 1. The box drawn with the broken line indicates another methionine-coding codon. The stop
codon is indicated by the asterisk. The regions of nucleotides selected for preparing the PCR primers are shown by arrows, as well as the sequences of the
primers formed.
Fig. 2. Alignment of amino acid sequences for Xenopus, human, mouse, rat, and yeast SAMDC proenzymes. Amino acids identical among the five
SAMDCs are indicated by dots. Bars show the gaps or the amino acids missing in the sequences. The large box with an arrowhead on it represents the
conserved region for the proenzyme processing, and the arrowhead indicates the sites of the cleavage of the proenzymes in human, mouse, rat, and yeast. It
is conceived that the putative cleavage site for Xenopus proenzyme is also the same as others. Amino acid residues reportedly essential for enzyme activity
(A), putrescine stimulation of proenzyme processing (B), and putrescine stimulation of enzyme activity (C) are indicated by small boxes.
Fig. 3. Gel electrophoretic patterns and changes in the level of Xenopus SAMDC mRNA during oogenesis, oocyte maturation, and embryogenesis. A, left:
RNAs equivalent to 2 oocytes were loaded on the gel (lanes 1-10). A, right: RNAs equivalent to two embryos (8 Ixg) were loaded on the gel throughout
stages. The major band (3.5 kb) appears to represent the real SAMDC mRNA based on the reasons discussed in the text. Underneath the Northern blot data
for SAMDC mRNA, results of double hybridization with histone H4 cDNA as a probe [47] are given as a measure to assess the loading equivalency. B:
The relative intensity of the radioactivity of SAMDC mRNA (3.5 kb) in A was measured in MacBAS 1000, and normalized taking the level of the signals
in lanes 10 and 11 as 1.0. Lanes from 1 to 6 are for oocytes at stages I (lane 1), II (lane 2), III (lane 3), IV (lane 4), V (lane 5), and VI (lane 6). Lanes from
7 to 10 are for stage VI oocytes treated with progesterone for 1.5 (lane 7), 3 (lane 8), 6 (lane 9), and 9 (lane 10) hrs. Lanes 11-20 are for embryos at stages
1 (lane 11), 8.5 (lane 12), 16 (lane 13), 21 (lane 14), 23 (lane 15), 24 (lane 16), 25 (lane 17), 28 (lane 18), 34 (lane 19), and 41 (lane 20).
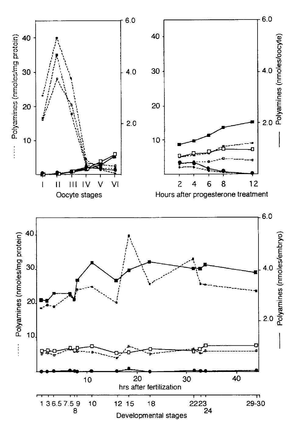
Fig. 4. Changes in the amount of polyamines per oocyte or embryo and per mg protein during oogenesis, oocyte maturation, and early embryogenesis.
Black squares are for putrescine; white squares, for spermidine; and black circles, for spermine. Large and small symbols are for solid and broken lines,
respectively. Top left; oogenesis, top right; oocyte maturation, bottom; early embryogenesis. Stages of oocytes are according to Dumont [23], and
developmental stages according to Nieuwkoop and Faber [26].
Fig. 5. A summary showing the correlation between the changing levels of SAMDC mRNA and SAMDC activity during Xenopus early embryonic
development. The strength of the signal of SAMDC mRNA at each stage (Fig. 3) was plotted against the ordinate as the function of time. SAMDC
activities (pmol [t4]CO2 per 30 min per embryo) in Table 1 were depicted as solid bars.