|
Figure 1. LY-filled retinal ganglion cell shown in a whole-mount preparation of a stage 28 retina (A) and after immunolabeling with anti-LY and HRP (B). Axonogenesis has just begun so this labeled axon is one of the first to navigate across the retina. In A, the axon and growth cone (GC) are clearly labeled, the fine structural details such as the varicosities on the axon and the morphology of the growth cone are preserved following immunolabeling (B). In A, however, the intensity of fluorescence at the cell body (CB) obscures the outline of the perikaryon together with the structural details in the initial segment of the axon. By contrast, in B the outline of the perikaryon can be seen clearly together with 2 small branches extending from the axon close to the cell body (small arrowheads). The arrowheads in A indicate the inner border of the ciliary margin (CM); the dashed lines indicate the outline of the ventral lobes of the eye which are separated by the cleft of the ventral choroidal fissure (VF). Dorsal is up. Scale bars: A, 50 um; B, 20 um. |
|
Figure 2. A single retinal ganglion cell filled with LY and immunolabelled with HRP. Composite photograph of two 40 um transverse sections at 4 different focal planes. The cell body possesses numerous dendrites (arrowheads) and its axon (Ax) can be seen coursing through the optic nerve (ON), chiasm (CH), and optic tract and its growthcone (GC) in the dorsal optic tract (DT). The embryo was at stage 37/38, the time at which the very first visual axons reach the optic tectum, some 50-100 um ahead of this growthcone. The black pigment around the retina (RET) is the pigmented epithelium. Note that the axon comes off the primary dendrite shaft. Also, note the terminal varicosities of the dendrites. Dorsal is up. Scale bar, 50um. |
|
Figure 3. Schematic representation of the optic pathway (stipple region) in the embryo. The midbrain and retina are shown in transverse section. The optic pathway, which is continuous in vivo, is divided here into 9 separate regions (retinal surface through to optic tectum). Axon tips in eachof these regions were analyzed. Dorsal is up. Scalebar, 50 um. |
|
Figure 4. Light micrographs of growth cones in each region of the embryonic optic pathway showing their differing morphologies. The linedrawing in the center represents the outline of the eye and brain in transverse section and shows the positions of the growth cones. In the retina (A), a small, simple growth cone can be seen closely apposed to the vitreal surface (k’s); at the turn into the optic nerve head (ONH) shown in B, a large, complex growth cone with several filopodia pointing toward the vitreal surface is shown. Dashed linesindicate the borders of the ONH. In the optic nerve (ON; C), a growth cone is shown with an elongated profile. Note that the width of the optic nerve is only about 2.5 times that of the width of the surface (ps). In the optic tract (F-H), the growth cones are complex with numerous filopodia and can be seen to be close to the pial surface. In the tectum (TEC; I), a newly arrived axon tip is shown which still possesses a characteristic growth cone and also has 3 back-branches (see arrowheads). Camera lucida drawings of some of these growth cones can be seenin Figure 4 (B, C, E, G, H). RET, retina; pe, pigment epithelium; VT, ventral optic tract; MT, mid optic tract; DT, dorsal optic tract. Scalebar, 20 um. |
|
Figure 5. Drawings of growth cones showing the morphology in different regions of the embryonic pathway. Eight growth cones for each region. These are representative of the range of morphologies seen in eachregion and are arranged in ascending order of complexity from left to right. It canbeseenthat acharacteristic morphology predominates in eachregion.For example,short andsimple in theretina,elongatedand complex at the optic nerve head, short and complex in the mid/dorsal optic tract. There is, however, substantial overlap between the categories. Scalebar, 10 um. |
|
Figure 6. Growth cone size in different parts of the pathway. For abbreviations, seeFigure 3. Data from the mid- and dorsal parts of the optic tract(M/D9 were pooled. Error bars in this and subsequent graphs are standard errors.
|
|
Figure 7. Growth cone complexity in different regions of the pathway. For abbreviations, see Figure 3. A growth cone process is defined as either a filopodium >2 um in length or a lamellopodium. |
|
Figure 8. Electron micrographs of parts of HRP-filled pioneer growth cones in the ventral diencephalon at stage 33/34 (A) and dorsal optic tract at stage 35/36 (B).
A, HRP-filled growth cone (GC) processes closely associated with the endfoot (EF) of a radial glial cell (RG). The glial endfeet make a continuous layer directly beneath the basement membrane (BM). The asterisk indicates the close junction between 2 endfeet. HRP-filled processes also contact and insinuate their processes around other axon profiles (of non-retinal origin) and insert into endfeet (small arrowheads).
B. A filopodium directly apposed to the basement membrane (BM). This is a rare event and occurred only once in this serially sectioned growth cone which possessed approximately 8 filopodia. The other filopodia were 0.5-10 um away from the BM. Scale bar, 1 um. |
|
Figure 9. Whole-mount view of 2 retinal ganglion cells joined together by a cytoplasmic bridge (CB). One cell body was impaled with a microelectrode in a stage 35/36 retina and injected with HRP. Each retinal ganglion cell has an axon( AX) that leaves the eye. Retinal ganglion cell 1 can be seen beginning to elaborate dendrites (arrowheads). The cytoplasmic bridge lay in a deep plane of focus and thus emerged from each cell at a point distant from the vitreal surface. Scale bar, 10pm. |
|
Figure 10. Two cells labeledfollowing a single impalement. The photomicrographs in A and B show a labeled Müller cell (MC; A) and retinal ganglion cell, which is out of focus in A ,is shown in B. It has just initiated an axon (asterisk) on the vitreal surface (Vs). Note that the nucleus is clearly visible. The Müller cell has endfeet expansions (EF) at the vitreal surface and at the outer limiting membrane bounding the pigment epithelium (pe). From the drawing in C, it can be seen that the Müller cell endfoot at the vitreal surface is sinuous and expanded and lies vitread [sic] to the retinal ganglion cell perikaryon. Thus, it can be envisaged how a microelectrode might penetrate the MC endfoot on its way into the underlying retinal ganglion cell.The asterisk in C marks the retinal ganglion cell axon. n, nucleus; pe, pigment epithelium. Scalebars, 10 um. |
|
Figure 11. Steps in the early differentiation o f retinal ganglion cells. Dashed lines show the outlines of the midbrain and retina (each outline is a composite of 2-4 transverse sections) LY-filled immuno-labelled retinal ganglion cells (solid) were drawn using a 100x objective and reconstructed from 2-6 40um sections.
A. Neuroepithelial cell spans the width of the retina at stage 27. Note the terminal expansions at the inner and outer limiting membranes.
B. Retinal ganglion cell with recently inisiteated axon lying on the retinal surface (RS) at stage 28. Note the thickness of this initiating axon ( approx. 4um) compared with that of longer axons in C-H (1-1.5um). The perikaryon is elongated and close to the vitreal surface. The small basal expansion could be a remnant of the cell’s earlier attachment to the ventricular surface during its germinal phase.
C. Retinal ganglion cell with an axon extending directly towards the optic disk; its growthcone is turning into the optic nerve head (ONH) at stage 33/34. Dendrites haven't yet begun to form.
D. Retinal ganglion cell with its growthcone in the optic nerve (ON) at stage 29/30. This particular sample was fixed for 75 min in paraformaldehyde before injection. A process extendingf rom the basal part of the cell( arrowhead) and one extending dorsally are probably dendrites beginning to form.
E. Retinal ganglion cell with its growthcone just entering the ventra ldiencephalon (brain entry point, BEP) at stage 33/34. Two dendrites each with terminal varlcosities are extending from the cell body: one towards the vitreal surface and the other towards the ventricular surface.
F. Retinal ganglion cell with 2 axons at stage 35/36: one with its growthcone at the chiasm (CH) and the other on the retinal surface (arrowhead).
G. Retinal ganglion cell with 4 dendrites, one of which has 2 branches and its growth cone in the mid-optic tract (Mr) at stage 33/34. Note that the axon makes 2 90 [degree] turns: one at the ONH, another close to the contralateral optic nerve entry point.
H. Retinal ganglion cell with 5 dendrites emerging from a single shaft and its growthcone in the optic tectum (TEC) at stage 35/36. Note the small side branches emitting from the axon in the tectum /dorsal optic tract and one opposite the contralateral optic nerve entry point. Also note the abrupt L-bend in the axon at the point of entry into the brain. OS, optic stalk. Scale bar, 100um. |
|
Figure 14. Camera lucida drawing of a retinal ganglion cell with 2 axons in the pathway at stage 37/38. Each axon emerges separately from the cell body and has a characteristic looped trajectory in which it extends initially towards the vitreal surface before turning back on itself to join the optic nerve head. In the looped part of their trajectory, each axon comes into close contact with the vitreal surface, as do the apical dendrites. This is not apparent in this compressed representation of a 40 um section, where the dashed line indicating the position of the vitreal surface was drawn in the focal plane of the dendrites, some 15 um deep to the axons. The 2 axons run close to each other within the optic nerve head in the retina but travel separately and distant from each other in the optic nerve and pathway. In the optic tract, Ax 1 travels 10-20 um rostral to Ax 2. The axons cross over in the optic nerve head and again when they enter the ventral diencephalon (asterisks). The 2 growth cones are located in the mid-to-dorsal optic tract and both possess numerous filopodia. The cell body has begun to elaborate several dendrites tipped with large varicosities, possibly dendritic growth cones. Scale bar, 50 um.
|
|
Figure 15. Retinal ganglion cell with 3 axons. This retinal ganglion cell was situated in the dorsal part of the central retina at stage 35/36. A singleaxon emergesventrally from the cell body and splits in 2 (small arrowhead) approximately 10wrn away. One axon (Ax I) exits the retina and terminates in a complex growth cone in the ventral optic tract. Ax 2 ends in a simple type of growth cone (CC, with no filopodia) some 30 pm from the cell body and 10 pm from the vitreal surface. Ax 3 emergesdorsally from the cell body close to the vitreal surface and extends approximately 45 pm dorsally, where it terminates in a small, round swelling some 10 Frn basal to the vitread. Scale bar, 10 um. |
|
Figure 16. Early dendrite genesis. A, Photomicrograph of the retinal ganglion cell body shown in Figure 14. Large varicosities, possibly growth cones, are present at the tips of these nascent dendrites (arrowheads). Some extend towards the inner plexiform layer (IPL; large arrowheads), whereas others extend vitreally (small arrowhead). Note the small diameter of the dendrite shafts. The axons (this is a 2-axon cell, see Fig. 14) of this cell terminate in the mid-dorsal optic tract. B, Photomicrograph showing dendrites beginning to branch (large arrowhead indicates branch point) in the IPL. At this slightly later stage of dendrite development, dendrite shafts are thicker than initially, possess blobs, and varicosities along their lengths and not specifically at their terminals. This cell lies in the central part of a stage 35/36 retina and its axon had just arrived in the optic tectum. VS, vitreal surface. Scale bar, 10 um. |
|
Figure 17. Progressive dendrite formation. Camera lucida drawings of the cell bodies of the retina; ganglion cells all of which have axons (asterisks) that leave the retina and enter the optic pathway. The growth cones are located at the brain entry point (B), the ventral optic tract (A, C, D), the mid-optic tract (E), and the optic tectum (fl. A, A retinal ganglion cell body with an axon and possibly the remnant of its basal endfoot; dendrites have not begun to form. B. Two dendrites have formed (arrowheads) each with large terminal varicosities; one is closely apposed to the vitreal surface. C, Five separate dendrites project from the cell body. Each is tipped with a characteristic round swelling. D, Five main dendrite shafts have formed; 2 of these have begun to branch (see dorsal and vitreal extending dendrites). Three dendrites project from the initial axon segment. E, Three primary dendrites with several branch points (see arrowhead, for example) extend from this stage 35/36 retinal ganglion cell. Two dendrites run parallel to the VS in the inner plexiform layer and have a beaded appearance. The axon and the most ventral of the primary dendrites run together out of the cell body approximately 15 wrn before they separate. F, Four primary dendrites extend from this stage 40 retinal ganglion cell; 3 of these are extensively branched: the fourth is small and unbranched. The majority of dendrites ramify in the vitread portion of the IPL. Scale bar, 15um. |
|
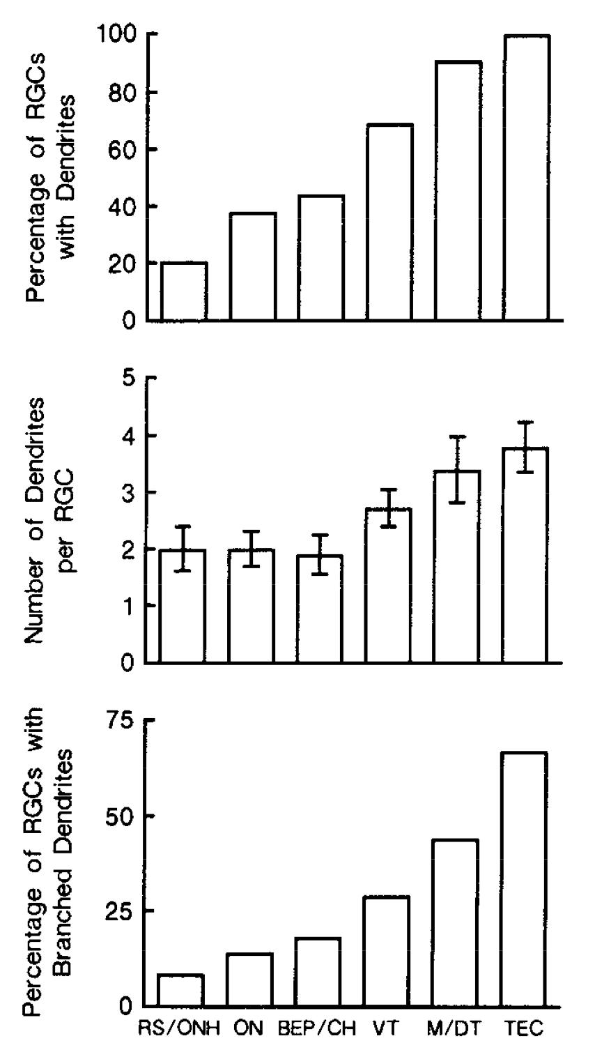
Figure 18. Dendrite development ( number and branching) plotted
against the position of the retinal ganglion cell’s growth cone in the pathway. |