Click here to close
Hello! We notice that you are using Internet Explorer, which is not supported by Xenbase and may cause the site to display incorrectly.
We suggest using a current version of Chrome,
FireFox, or Safari.
???displayArticle.abstract???
The body plan of Xenopus laevis can be respecified by briefly exposing early cleavage stage embryos to lithium. Such embryos develop exaggerated dorsoanterior structures such as a radial eye and cement gland (K.R. Kao, Y. Masui, and R.P. Elinson, 1986, Nature (London) 322, 371-373). In this paper, we demonstrate that the enhanced dorsoanterior phenotype results from an overcommitment of mesoderm to dorsoanterior mesoderm. Histological and immunohistochemical observations reveal that the embryos have a greatly enlarged notochord with very little muscletissue. In addition, they develop a radial, beating heart, suggesting that lithium also specifies anteriormesoderm and pharyngeal endoderm. Randomly oriented diametrically opposed marginal zone grafts from lithium-treated embryos, when transplanted into ultraviolet (uv)-irradiated axis-deficient hosts, rescue dorsal axial structures. These transplantation experiments demonstrate that the entire marginal zone of the early gastrula consists of presumptive dorsal mesoderm. Vital dye marking experiments also indicate that the entire marginal zone maps to the prominent proboscis that is composed of chordamesoderm and represents the long axis of the embryo. These results suggest that lithium respecifies the mesoderm of Xenopus laevis embryos so that it differentiates into the Spemann organizer. We suggest that the origin of the dorsoanterior enhanced phenotypes generated by lithium and the dorsoanterior deficient phenotypes generated by uv irradiation are due to relative quantities of organizer. Our evidence demonstrates the existence of a continuum of body plan phenotypes based on this premise.
FIG. 1. Dorsoanterior index. Numbers in parentheses refer to the index of axis deficiency (IAD), used previously for dorsoanterior deficient
embryos. See text for detailed descriptions of dorsoanterior enhanced embryos (DA1 6 to 10).
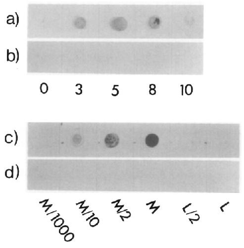
FIG. 2. Semitic tissue in Xenopus dorsoanterior phenotypes. Dot
blots were used to determine the reactivity of embryos (a, b) or adult
tissues (c, d) to 12/101, an antibody which recognizes Xenows myotubes.
(a) Normal (DA1 5) embryos have the highest reactivity while
dorsoanterior deficient (DA1 0,3) and enhanced (DA1 8,lO) embryos
have less reactivity. (b) Control blots-identical samples were dotted
as in (a), but were processed without primary antibody. (c) The first
four squares are Xenopus adult skeletal muscle samples diluted to 10
mg/ml wet weight (M), 5 mg/ml (M/2), 1 mg/ml (M/10), 0.01 mg/ml
(M/1000). The other two squares are Xenopus liver samples diluted to
10 mg/ml wet weight (L) and 5 mg/ml (L/2). (d) Samples processed as
in (c), but without primary antibody.
FIG 3. Immunolocalization of somitic and notochordal tissues in Xenop2Ls embryos. Embryos were stained with 12/101, an antibody w
recog nizes Xenopus muscle, and MZ15, an antibody which recognizes the notoehordal covering. Stained embryos were processed for immur
orescc ?nce. (a) Control embryo at stage 35, stained with 12/101. The somites (S) stain brightly over the background. No, notochord. Scale
= 100 Wm. (b) DA1 10 embryo stained with 12/101. Only a few patches of muscle tissue (M) surround the large vacuolated notochord (No)
autofl uorescence of other tissues was easily distinguished by color. Scale bar = 40 pm. (c) Control embryo stained with MZ15 and section
parap blast. Note bright staining of notochord coat (NC). Scale bar = 100 pm. (d) DA1 10 embryo stained with MZ15. The covering of the 1,
vacua llated notochord tissue is stained (NC). Scale bar = 100 pm. All embryos except (c) were sectioned in glycol methacrylate resin.
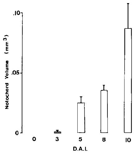
FIG. 4. Notochord volume measurements of Xenopus dorsoanterior
phenotypes. Vertical axis-notochord volume in cubic millimeters.
Histogram bars are arranged according to dorsoanterior index (DAI).
The samples sizes are 5 (DA1 0), 5 (DA1 3), 5 (DA1 5), 6 (DA1 8), and 7
(DA1 10).
FIG. 5. Transplantation experiments-experimental design. Fertilized
eggs were irradiated before first cleavage to eliminate dorsoanterior
structures. Hosts were microinjected with a lineage tracer
(fda), while cleaving donors were treated with lithium. Two diametrically
opposed grafts from a single donor were transplanted into two
uv-irradiated hosts.
FIG. 6. Cross section of dorsoanterior deficient embryo rescued by
transplantation of marginal zone of lithium-treated embryo. Unlabeled
tissue is donor tissue, contributing principally to notochord
(No), which induces somite (S) and neural tube (N) in the host. Scale
bar = 200 Frn.
FIG. 7. Contribution of donor tissue in lithium transplant experiments. This is a composite map of the progeny of the graft tissue based on
eight sectioned embryos, Graft tissue is blackened. N, neural tube; No., Notochord; ant, anterior; post, posterior.
FIG. 8. Rescued embryos from transplantation experiments. (a)
These three embryos were uv irradiated to eliminate dorsal structures
At the early gastrula stage, dorsal structures were rescued by
transplantation of marginal zone tissue from a lithium-treated embryo.
B, blastopore; D, dorsal axis. (b) Control embryo at stage 22. E,
eye; C, cement gland. (c) uv-irradiated deficient embryo. Note the
absence of dorsal structures. Scale bars = 0.5 mm.
FIG. 9. Dorsoanterior enhanced embryos at gastrula and tailbud stages. (a) Control embryo at stage 11. Archenteron (Ar) and bl:
cavity (Be) are labeled. (b) Lithium-treated DA1 10 embryo at control stage 11. The archenteron (Ar) and leading edge of tissue al,
blast0 coel cavity (Be) wall are symmetrical. (c) External view of DA1 10 embryo at stage 23. Dorsoanterior structures including the neur
(NJ ar id cement gland (C) surround the blastopore (B). (d) Internal view of embryo in (c), displaying a prominent internal inverted pr
(Pr), a rchenteron (Ar), and blastopore (B). (e) Paraplast section of internal, inverted radial proboscis embryo. This embryo is slightly ac
compr rred to the embryo in (d), because the neurectoderm (N) is internal. The proboscis, which extends and expands the archenteron
compc )sed internally of notochord (No) tissue. (f) Radial proboscis embryo with external proboscis (Pr). The blastopore (B) is at the
Conk 01 prehatching embryo at stage 23. The cement gland (C) is at the left. Scale bars = 0.5 mm.
FIG. 10. Radial heart development in dorsoanterior enhanced (DA1 10) embryos. (a) Paraplast section of a DA1 10 embryo at control stage 38
showing large notochordal mass (No), neural tissue (N), eye (E), cement gland (C), and presumptive heart tissue (H, arrows). (b-d) These
embryos were fixed, dehydrated, and cleared in methyl salicylate. They show progressive constriction of a ring of heart tissue (arrows) toward
the central longitudinal axis of the embryo. (e) Control embryo at stage 38. Scale bar = 1.0 mm.
FIG. 11. Development of radial proboscis (DA1 10) embryos (right
column). This drawing shows the proposed arrangements of ectoderm
(line stippling), endoderm (light hatching), notochord (black), prechordal
plate mesoderm (dark hatching), ventral mesoderm (crosshatching),
and neural tube (heavy stippling). Symbols represent location
of placement of vital dye marks (top embryos, early gastrula) and
their subsequent displacement (bottom embryos) after neurulation.
Ar, archenteron; Bl, blastocoel; H, heart; C, cement gland; E, eye.