|
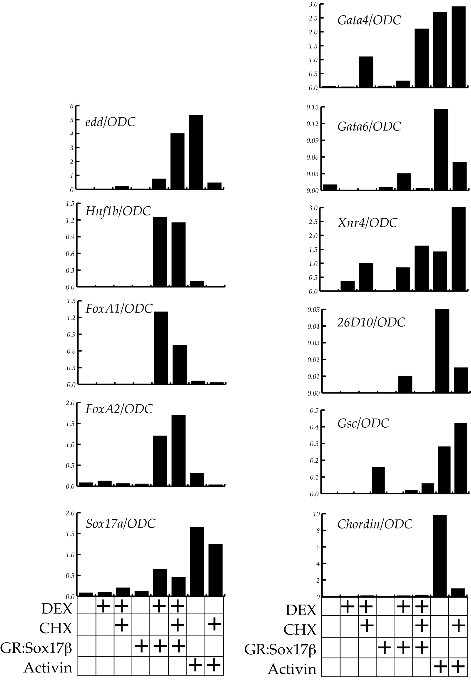
Fig. 2. Direct targets of Sox17β. (A) A schematic of the GR:Sox17β fusion protein consisting of the hormone-binding domain of the human glucocorticoid receptor fused to Sox17β. (B) Isolated blastula animal cap explants either injected with mRNA encoding GR:Sox17β (150 pg) or uninjected were each cultured in three conditions: 1ÃMBS, 1ÃMBS + 10â6 dexamethasone (DEX) or in 1ÃMBS with 10â6 dexamethasone + 10 μg/ml cycloheximide (CHX). Dexamethasone activates the GR:Sox17β fusion protein and cycloheximide blocks translation. Control animal caps were treated with 5 ng/ml human activin A either with or without 10 μg/ml cycloheximide. At gastrula (stage 11) the explants were assayed by RT-PCR. GR:Sox17β induced Hnf1β, Foxa1, Foxa2 and Sox17α transcription when translation was blocked and are therefore direct Sox17 targets. A repeat of this experiment assayed by real-time RT-PCR is presented in Figs S1-S3 at http://dev.biologists.org/supplemental. (C) Whole-mount in situ hybridization to bisected gastrula (stage 11) embryos with the indicated probes confirms that Sox17 target genes are expressed in the endoderm. Dorsal/anterior towards the left. |
|
Fig.3 Structure-function mapping of the transactivation domain of Sox17β. (A) The Gal4 DNA-binding domain (Gal4DBD) was fused to various parts of the Sox17β open reading frame. COS-1 cells were co-transfected with the indicated Gal4-fusion constructs (300 ng), UAS:luciferase reporter (100 ng) containing five Gal4 binding sites and a pTK-Renilla Luciferase plasmid (50 ng). The average relative luciferase activity normalized to renilla activity, from a triplicate experiment is shown. The Gal4 DNA-binding domain alone (Gal4DBD) is a negative control and Gal4:VP16 is a positive control containing the viral VP16 transactivation domain. (B) 200 pg of RNA encoding the indicated HA-tagged Sox17β deletion constructs was injected into two-cell stage embryos, animal cap tissue was isolated at blastula stage, cultured until gastrula stage and assayed by real-time RT-PCR for the expression of Sox17 target genes. The histogram shows the relative gene expression normalized to the loading control ODC. (C) The schematic shows the transactivation domain of Sox17β contains a sequence motif conserved in all members of the SoxF subfamily of Sox proteins. A sequence alignment of this conserved motif from representative proteins is shown. Identical amino acids are white on black, conserved resides are in bold. Below the schematic the â3Gâ and âδTAâ mutations generated in both Sox17α and Sox17β are shown. (D) 200 pg of RNA encoding either wild-type or mutant versions of Sox17β (top three constructs) or Sox17α (bottom three constructs) were injected into two-cell stage embryos, animal cap tissue was isolated at blastula stage, cultured until gastrula stage and assayed by real-time RT-PCR for the expression of Sox17 target genes. The histogram shows the relative gene expression normalized to the loading control ODC. |
|
Fig. 1. Transcriptional targets of Sox17β. Embryos were injected at the two-cell stage with increasing doses mRNA of encoding Sox17β (62 pg, 125 pg, 250 pg, 500 pg), animal cap explants were isolated at blastula (stage 9), cultured until gastrula (stage 11) and assayed for endodermal gene expression by RT-PCR. None of the endodermal genes was expressed in uninjected animal cap tissue (â), but all were expressed in gastrula whole embryos. Ef1α, is a loading control; âRT, without reverse transcriptase; +RT, with reverse transcriptase. |
|
Fig. 4. Interaction of endogenous β-catenin and Sox17. (A) A 160 μM mid-sagittal optical z-series of anti-β-catenin immunofluorescence in a Xenopus midgastrula shows both membrane bound and nuclear β-catenin in the deep endodermal cells. The intense staining throughout the animal cap and mesoderm is the result of the cells in this region of the embryo being much smaller than in the endoderm (therefore the optical stack is several cells thick in these regions, resulting in an almost uniform staining). The right panel shows a higher magnification of the endoderm (white box) with the stained nuclei clearly visible. Dorsal/anterior towards the left. (B) Western blotting of whole cell, cytosolic and nuclear extracts (10 μg of protein each) from human SW480 colorectal cancer cells with anti-tubulin (cytosol antigen), anti-histone H1 (nuclear antigen), anti-Sox17 and anti-β-catenin antibodies. SW480 cells express both endogenous Sox17 and β-catenin in the nuclear fraction. (C) After immunoprecipitation of the nuclear extract with either anti-Sox17 or anti-HA (as a negative control) antibodies, associated β-catenin protein was detected by western blotting. Endogenous β-catenin co-immunoprecipitated with nuclear Sox17. The precipitation of Sox17/β-catenin complexes can be competed by the addition of Sox17 peptide recognized by the anti-Sox17 antibody but not by peptides to other regions of Sox17. |
|
Fig. 5.
The transactivation domain of Sox17β is required for β-catenin binding. COS-1 cells were transfected with (A) 3 μg of DNA encoding the indicated V5-epitope tagged Sox17β constructs or (B) 3 μg of DNA encoding the indicated V5-epitope tagged Sox17α constructs. The resulting cell extracts were either incubated with GST-agarose or GST-β-catenin-agarose. The input and bound V5-tagged proteins were visualized by anti-V5 immunoblotting. Mutations or deletion of the conserved transactivation motif in either Sox17β or Sox17α impairs or abolishes β-catenin binding. |
|
Fig. 6. Sox17 and β-catenin co-operate to transcribe endodermal genes. Embryos were injected at the 2-cell stage with Sox17β mRNA (20 pg, 60 pg, 180 pg) either with or without co-injection of RNA encoding a stabilizedβ -catenin (pt-β-catenin, 100 pg) (Yost et al., 1996). At blastula stage, animal cap tissue was explanted and cultured for 3-4 hours until gastrula stage when it was assayed by real-time RT-PCR for the expression of Sox17 target genes. The histograms show the relative expression levels normalized to the loading control ODC. Plakoglobin (Plako) is control gene that is neither a target of Sox17 norβ -catenin. |
|
Fig. 7. Sox17β requires β-catenin to robustly activate target gene transcription in animal caps. (A) Embryos were injected at the two-cell stage with the indicated combinations of: Sox17β mRNA (200 pg), RNA encoding a N-terminal deleted form of stabilized β-catenin (δN-β-catenin, 100 pg) (Yost et al., 1996), or an antisense β-catenin morpholino oligos (βcat-MO; 20 ng). At blastula stage, animal cap tissue was explanted and cultured for 3-4 hours until gastrula stage, when it was assayed by real-time RT-PCR for the expression of Sox17 target genes. The histograms show the relative expression levels normalized to the loading control, ODC. Plakoglobin (Plako) is control gene that is neither a Sox17 nor β-catenin target. (B) A proportion of each sample from the same experiment was assayed by immunoblotting with anti-β-catenin, anti-Sox17β or anti-tubulin antibodies. Injected δN-β-catenin protein has a higher molecular weight than endogenous β-catenin because of the presence of an epitope tag. Tubulin is a loading control. |
|
Fig. 8. β-catenin is required for the expression of Sox17 targets genes at gastrula stage. (A) Two-cell embryos were vegetally injected with either 20 ng of antisense β-catenin morpholino oligos (MO) and/or 100 pg of RNA encoding a N-terminal deleted form of stabilized β-catenin (δN-β-cat) (Yost et al., 1996), which does not contain the sequence targeted by the antisense oligo. At a series of stages throughout gastrulation (stages 10, 11 and 12) whole embryos were harvested and assayed by real-time RT-PCR for the expression of Sox17 target genes as well as several other control genes. The histograms show the relative expression levels normalized to the loading control, ODC. For simplicity only the stage 11 data (stage 10 for Xnr1, Xnr2, Xnr4 and Derriere) is shown. Edd, Hnf1β, Foxa1 and Foxa2 are direct Sox17 target genes. Siamois, Hex and Cerberus are known β-catenin target genes. Xnr1, Xnr2, Xnr4, Derreire and Mixer are endodermal genes that are not Sox17 targets. Plakoglobin (Plako) and Ef1α are control genes that are neither Sox17 nor β-catenin targets. (B) A proportion of each sample from the same experiment was assayed by immunoblotting with either anti-β-catenin or anti-tubulin antibodies. Injected δN-β-catenin protein has a higher molecular weight than endogenous β-catenin because of the presence of an epitope tag. |
|
Fig. S1. Sox and Tcf target specificity. RNA encoding the indicated Sox or Tcf (200 pg) was injected into the animal region of two-cell embryos. Animal caps were isolated at stage 9 and assayed at stage 11-12 by real-time RT-PCR. The results are normalized and shown as a ratio to ODC. This experiments was repeated three times and a representative is shown. With the exception that Sox3 and Lef induced Gata6 and Gsc, none of the other HMG box factors reproducibly induced significant expression of Sox17 targets. |
|
Fig. S2. Tcf3 does not regulate Sox17 target genes in vivo. Embryos were injected at the two-cell stage with antisense morpholino oligos to b-catenin (20 ng) or Tcf3 (20 ng), as previously described (Heasman et al., 2000; Houston et al., 2002). At gastrula stage, five embryos from each condition were pooled and assayed by real-time RT-PCR and relative gene expression was normalized and presented as a ratio to ODC. As a control, the expression of the ubiquitously expressed gene plakoglobin was unchanged. As expected, Hex was downregulated by b-catenin depletion, but upregulated by Tcf3 depletion. This is the predicted result observed from all Tcf3-regulated genes (Houston et al., 2002) and is consistent with de-repressing Tcf3 activity. By contrast, the Sox17 target genes Hnf1b, Edd and Foxa2 were not upregulated in Tcf3-depleted embryos but were repressed in b-catenin depleted embryos. This indicates that they are not Tcf3 targets but are b-catenin targets. Consistent with the results presented in the paper, Foxa1 was not significantly regulated by b-catenin levels. |
|
Fig. S3. Direct Sox17b targets. This experiment is a repeat of that presented in Fig. 2B, but analyzed by real time RT-PCR to better show the quantitation of the induced transcription. Isolated blastula animal cap explants either injected with mRNA encoding GR:Sox17b (150 pg) or uninjected were each cultured in three conditions; 1xMBS, 1xMBS + 10^-6 dexamethasone (DEX) or in 1xMBS with 10^-6 dexamethasone + 10 mg/ml cycloheximide (CHX). Dexamethasone activates the GR:Sox17b fusion protein and cycloheximide blocks translation. Control animal caps were treated with 5 ng/ml human activin A either with or without 10 mg/ml cycloheximide. At gastrula (stage 11), the explants were assayed by RT-PCR. |