Click here to close
Hello! We notice that you are using Internet Explorer, which is not supported by Xenbase and may cause the site to display incorrectly.
We suggest using a current version of Chrome,
FireFox, or Safari.
Int J Biol Sci
2006 Nov 06;31:47-56. doi: 10.7150/ijbs.3.47.
Show Gene links
Show Anatomy links
Distinct domain-dependent effect of syntaxin1A on amiloride-sensitive sodium channel (ENaC) currents in HT-29 colonic epithelial cells.
Saxena SK, Singh M, Kaur S, George C.
???displayArticle.abstract???
The amiloride-sensitive epithelial sodium channel (ENaC), a plasma membrane protein mediates sodium reabsorption in epithelial tissues, including the distalnephron and colon. Syntaxin1A, a trafficking protein of the t-SNARE family has been reported to inhibit ENaC in the Xenopus oocyte expression and artificial lipid bilayer systems. The present report describes the regulation of the epithelial sodium channel by syntaxin1A in a human cell line that is physiologically relevant as it expresses both components and also responds to aldosterone stimulation. In order to evaluate the physiological significance of syntaxin1A interaction with natively expressed ENaC, we over-expressed HT-29 with syntaxin1A constructs comprising various motifs. Unexpectedly, we observed the augmentation of amiloride-sensitive currents with wild-type syntaxin1A full-length construct (1-288) in this cell line. Both gammaENaC and neutralizing syntaxin1A antibodies blocked native expression as amiloride-sensitive sodium currents were inhibited while munc18-1 antibody reversed this effect. The coiled-coiled domain H3 (194-266) of syntaxin1A inhibited, however the inclusion of the transmembrane domain to this motif (194-288) augmented amiloride sensitive currents. More so, data suggest that ENaC interacts with multiple syntaxin1A domains, which differentially regulate channel function. This functional modulation is the consequence of the physical enhancement of ENaC at the cell surface in cells over-expressed with syntaxin(s). Our data further suggest that syntaxin1A up-regulates ENaC function by multiple mechanisms that include PKA, PLC, PI3 and MAP Kinase (p42/44) signaling systems. We propose that syntaxin1A possesses distinct inhibitory and stimulatory domains that interact with ENaC subunits, which critically determines the overall ENaC functionality/regulation under distinct physiological conditions.
Fig 1. Syntaxin1A augments currents - HT-29 cells grown on cell inserts were transfected with wild-type syntaxin1A (Syn1A) and its truncated constructs. Inset- Structure of syntaxin1A. TMD represents the transmembrane domain. 48 hours later the amiloride-sensitive currents were recorded as described in the text. The data represents a mean of five individual experiments. Experimental conditions that resulted in a significant change (p < 0.05) from the relevant control values (Bar one) are denoted by multiple asterisks. Three asterisks denote higher statistical significance.
Fig 2. Syntaxin1A up-regulates amiloride-sensitive currents in a dose-dependent manner - HT-29 cells grown on cell inserts were transfected with wild-type syntaxin1A (Syn1A) at different concentrations. 48 hours later amiloride-sensitive currents were recorded (A) as described in the text. (B) The protein extracts from the transfected cells were solubilized and analyzed by Western blot analysis. The blots were developed with syntaxin1A antibody. The data represents a mean of three individual experiments. Experimental conditions that resulted in a significant change (p < 0.05) from the relevant control values (Bar one) are denoted by multiple asterisks. Three asterisks denote higher statistical significance.
Fig 3. Syntaxin1A antibody inhibits amiloride-sensitive currents - The HT-29 cells were targeted with anti-syntaxin, or anti-ENaC antibodies or irrelevant IgG using the Chariot® protein delivery system. Antibodies were complexed with the Chariot® reagent at a ratio of 1 ng IgG: 2 μL Chariot® in 100 μL PBS for 30 min. Then the IgG: Chariot® complexes were overlaid onto cultured cells in the presence of fresh serum free culture medium for 3 hr and amiloride-sensitive currents were measured. Data represent a mean of three individual experiments. Experimental conditions that resulted in a significant change (p < 0.05) from the relevant control values (Bar one) are denoted by multiple asterisks.
Fig 4. ENaC interacts with different syntaxin1A domains - Endogenous ENaC interacts with syntaxin in HT-29 cells - GST-syntaxin proteins were used to pull down proteins bound to natively expressed ENaC in HT-29 cell lysates. The immune complex was adsorbed on glutathione beads and then separated by SDS-Polyacrylamide gel electrophoresis and transferred to PVDF membrane. The blots were probed with affinity purified subunit specific γENaC antibody. The data shows interaction of multiple syntaxin1A domains with ENaC and points to its involvement and physiological significance in the regulation of the amiloride-sensitive epithelial sodium channel in native cells.
Fig 5. Syntaxin1A domains modulate ENaC expression at the cell surface - HT-29 cells were transfected with wild-type syntaxin1A and its truncated constructs. Cell surface proteins were biotinylated with Sulpho-NHS-SS-biotin, pulled down with streptavidin-agarose separated by SDS-PAGE and transferred to PVDF membrane. The blots were probed with γENaC antibody (A). The protein was analyzed by densitometry (B). The data reflect increased expression of ENaC in HT-29 cells transfected with syntaxin1A, which is reflected in enhanced amiloride-sensitive currents reported in the text. Data represent three individual experiments each performed with different batches of HT-29 cells.
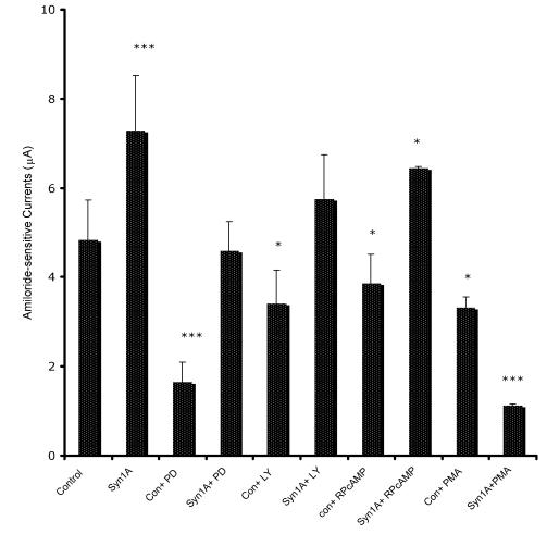
Fig 7. Syntaxin1A stimulates amiloride-sensitive channel (ENaC) activity by multiple signaling modules - HT-29 cells (60-70% confluent) on cell inserts were transfected with wild-type syntaxin1A (Syn1A) and incubated in the presence of indicated inhibitors; PD98059 (PD; 50 μM) or LY294002 (LY; 50 μM), RpCPTcAMP (RpcAMP; 30 μM) and PMA (200 nM) 48 hours later. The inhibition or activation in intact cells was measured with the indicated concentration of reagents or dimethyl sulfoxide carrier (0.1%, v/v) for 45 min at 37°C. The amiloride-sensitive currents were recorded as described in the text. The data represents a mean of three individual experiments. Experimental conditions that resulted in a significant change (p < 0.05) from the relevant control values (Bar one) are denoted by multiple asterisks. Three asterisks denote higher statistical significance.
Alvarez de la Rosa,
Mechanisms of regulation of epithelial sodium channel by SGK1 in A6 cells.
2004, Pubmed,
Xenbase
Alvarez de la Rosa,
Mechanisms of regulation of epithelial sodium channel by SGK1 in A6 cells.
2004,
Pubmed
,
Xenbase Alvarez de la Rosa,
Effects of aldosterone on biosynthesis, traffic, and functional expression of epithelial sodium channels in A6 cells.
2002,
Pubmed
,
Xenbase Arien,
Syntaxin 1A modulates the voltage-gated L-type calcium channel (Ca(v)1.2) in a cooperative manner.
2003,
Pubmed
,
Xenbase Auberson,
Epithelial Na+ channel mutants causing Liddle's syndrome retain ability to respond to aldosterone and vasopressin.
2003,
Pubmed Bardag-Gorce,
The mechanism of cytokeratin aggresome formation: the role of mutant ubiquitin (UBB+1).
2003,
Pubmed Bens,
Corticosteroid-dependent sodium transport in a novel immortalized mouse collecting duct principal cell line.
1999,
Pubmed Berdiev,
ENaC subunit-subunit interactions and inhibition by syntaxin 1A.
2004,
Pubmed Berdiev,
Gating of amiloride-sensitive Na(+) channels: subunit-subunit interactions and inhibition by the cystic fibrosis transmembrane conductance regulator.
2000,
Pubmed Bezprozvanny,
Molecular determinants of the functional interaction between syntaxin and N-type Ca2+ channel gating.
2000,
Pubmed
,
Xenbase Blazer-Yost,
Effect of the mycotoxin, ochratoxin A, on hormone-stimulated ion transport in a cultured cell model of the renal principal cell.
2005,
Pubmed Canessa,
Epithelial sodium channel related to proteins involved in neurodegeneration.
1993,
Pubmed
,
Xenbase Chang,
Vasopressin-stimulated CFTR Cl- currents are increased in the renal collecting duct cells of a mouse model of Liddle's syndrome.
2005,
Pubmed Condliffe,
Syntaxin 1A regulates ENaC channel activity.
2004,
Pubmed
,
Xenbase Condliffe,
Syntaxin 1A regulates ENaC via domain-specific interactions.
2003,
Pubmed
,
Xenbase Cormet-Boyaka,
CFTR chloride channels are regulated by a SNAP-23/syntaxin 1A complex.
2002,
Pubmed Cui,
H3 domain of syntaxin 1A inhibits KATP channels by its actions on the sulfonylurea receptor 1 nucleotide-binding folds-1 and -2.
2004,
Pubmed Dijkink,
Time-dependent regulation by aldosterone of the amiloride-sensitive Na+ channel in rabbit kidney.
1999,
Pubmed Firsov,
Cell surface expression of the epithelial Na channel and a mutant causing Liddle syndrome: a quantitative approach.
1996,
Pubmed
,
Xenbase Fuller,
Acute differential regulation by corticosteroids of epithelial sodium channel subunit and Nedd4 mRNA levels in the distal colon.
2000,
Pubmed Fyfe,
Subunit composition determines the single channel kinetics of the epithelial sodium channel.
1998,
Pubmed
,
Xenbase Gladycheva,
Regulation of syntaxin1A-munc18 complex for SNARE pairing in HEK293 cells.
2004,
Pubmed Greig,
Segmental variability of ENaC subunit expression in rat colon during dietary sodium depletion.
2002,
Pubmed Greig,
Decreased expression of apical Na+ channels and basolateral Na+, K+-ATPase in ulcerative colitis.
2004,
Pubmed Hannila-Handelberg,
Common variants of the beta and gamma subunits of the epithelial sodium channel and their relation to plasma renin and aldosterone levels in essential hypertension.
2005,
Pubmed
,
Xenbase Hiltunen,
Liddle's syndrome associated with a point mutation in the extracellular domain of the epithelial sodium channel gamma subunit.
2002,
Pubmed
,
Xenbase Höhne-Zell,
Functional importance of synaptobrevin and SNAP-25 during exocytosis of histamine by rat gastric enterochromaffin-like cells.
1997,
Pubmed Huber,
Expression of the epithelial sodium channel (ENaC) during ontogenic differentiation of the renal cortical collecting duct epithelium.
1999,
Pubmed Ji,
SNAP-25, a SNARE protein, inhibits two types of K channels in esophageal smooth muscle.
2002,
Pubmed Ji,
Modulation of L-type Ca(2+) channels by distinct domains within SNAP-25.
2002,
Pubmed Ji,
Intrinsic gating mechanisms of epithelial sodium channels.
2002,
Pubmed
,
Xenbase Kamide,
Six missense mutations of the epithelial sodium channel beta and gamma subunits in Japanese hypertensives.
2004,
Pubmed Kang,
Syntaxin-3 and syntaxin-1A inhibit L-type calcium channel activity, insulin biosynthesis and exocytosis in beta-cell lines.
2002,
Pubmed Kweon,
Regulation of neuronal SNARE assembly by the membrane.
2003,
Pubmed Kyuma,
A family with liddle's syndrome caused by a mutation in the beta subunit of the epithelial sodium channel.
2001,
Pubmed Lewis,
The transmembrane domain of syntaxin 1A is critical for cytoplasmic domain protein-protein interactions.
2001,
Pubmed Li,
Molecular assembly of cystic fibrosis transmembrane conductance regulator in plasma membrane.
2004,
Pubmed Li,
Syntaxin 1A has a specific binding site in the H3 domain that is critical for targeting of H+-ATPase to apical membrane of renal epithelial cells.
2005,
Pubmed Ling,
Syntaxin 1A co-associates with native rat brain and cloned large conductance, calcium-activated potassium channels in situ.
2003,
Pubmed Linial,
SNARE proteins--why so many, why so few?
1997,
Pubmed Masilamani,
Aldosterone-mediated regulation of ENaC alpha, beta, and gamma subunit proteins in rat kidney.
1999,
Pubmed Mick,
The alpha-subunit of the epithelial sodium channel is an aldosterone-induced transcript in mammalian collecting ducts, and this transcriptional response is mediated via distinct cis-elements in the 5'-flanking region of the gene.
2001,
Pubmed Nakano,
A frameshift mutation of beta subunit of epithelial sodium channel in a case of isolated Liddle syndrome.
2002,
Pubmed Naren,
Syntaxin 1A inhibits CFTR chloride channels by means of domain-specific protein-protein interactions.
1998,
Pubmed
,
Xenbase Naren,
Syntaxin 1A is expressed in airway epithelial cells, where it modulates CFTR Cl(-) currents.
2000,
Pubmed
,
Xenbase Naren,
Regulation of CFTR chloride channels by syntaxin and Munc18 isoforms.
1997,
Pubmed
,
Xenbase Naren,
CFTR chloride channel regulation by an interdomain interaction.
1999,
Pubmed
,
Xenbase Qi,
Regulation of the amiloride-sensitive epithelial sodium channel by syntaxin 1A.
1999,
Pubmed Reales,
Identification of soluble N-ethylmaleimide-sensitive factor attachment protein receptor exocytotic machinery in human plasma cells: SNAP-23 is essential for antibody secretion.
2005,
Pubmed Rossier,
Epithelial sodium channels.
1994,
Pubmed Rossier,
The epithelial sodium channel (ENaC): new insights into ENaC gating.
2003,
Pubmed Rowe,
Blockade of membrane transport and disassembly of the Golgi complex by expression of syntaxin 1A in neurosecretion-incompetent cells: prevention by rbSEC1.
1999,
Pubmed Salaün,
Plasma membrane targeting of exocytic SNARE proteins.
2004,
Pubmed Saxena,
Rab4 GTP/GDP modulates amiloride-sensitive sodium channel (ENaC) function in colonic epithelia.
2006,
Pubmed Saxena,
Rab27a negatively regulates CFTR chloride channel function in colonic epithelia: involvement of the effector proteins in the regulatory mechanism.
2006,
Pubmed Saxena,
Rab proteins regulate epithelial sodium channel activity in colonic epithelial HT-29 cells.
2005,
Pubmed Saxena,
Interaction of syntaxins with the amiloride-sensitive epithelial sodium channel.
1999,
Pubmed
,
Xenbase Selim,
Anti-osteoactivin antibody inhibits osteoblast differentiation and function in vitro.
2003,
Pubmed Shimkets,
The activity of the epithelial sodium channel is regulated by clathrin-mediated endocytosis.
1997,
Pubmed
,
Xenbase Snyder,
The epithelial Na+ channel: cell surface insertion and retrieval in Na+ homeostasis and hypertension.
2002,
Pubmed Spindler,
Characterization of early aldosterone-induced RNAs identified in A6 kidney epithelia.
1997,
Pubmed
,
Xenbase Staub,
Immunolocalization of the ubiquitin-protein ligase Nedd4 in tissues expressing the epithelial Na+ channel (ENaC).
1997,
Pubmed Wang,
Syntaxin 1A inhibits GABA flux, efflux, and exchange mediated by the rat brain GABA transporter GAT1.
2003,
Pubmed
,
Xenbase Wenthold,
Vesicle targeting in hair cells.
2002,
Pubmed Yang,
nSec1 binds a closed conformation of syntaxin1A.
2000,
Pubmed Zhang,
The four-helix bundle of the neuronal target membrane SNARE complex is neither disordered in the middle nor uncoiled at the C-terminal region.
2002,
Pubmed Zwermann,
The role of the ACTH receptor in adrenal tumors: identification of a novel microsatellite marker.
2004,
Pubmed