Click here to close
Hello! We notice that you are using Internet Explorer, which is not supported by Xenbase and may cause the site to display incorrectly.
We suggest using a current version of Chrome,
FireFox, or Safari.
J Gen Physiol
2007 Feb 01;1292:161-73. doi: 10.1085/jgp.200609672.
Show Gene links
Show Anatomy links
Gain-of-function mutations in the MEC-4 DEG/ENaC sensory mechanotransduction channel alter gating and drug blockade.
Brown AL, Fernandez-Illescas SM, Liao Z, Goodman MB.
???displayArticle.abstract???
MEC-4 and MEC-10 are the pore-forming subunits of the sensory mechanotransduction complex that mediates touch sensation in Caenorhabditis elegans (O'Hagan, R., M. Chalfie, and M.B. Goodman. 2005. Nat. Neurosci. 8:43-50). They are members of a large family of ion channel proteins, collectively termed DEG/ENaCs, which are expressed in epithelial cells and neurons. In Xenopus oocytes, MEC-4 can assemble into homomeric channels and coassemble with MEC-10 into heteromeric channels (Goodman, M.B., G.G. Ernstrom, D.S. Chelur, R. O'Hagan, C.A. Yao, and M. Chalfie. 2002. Nature. 415:1039-1042). To gain insight into the structure-function principles that govern gating and drug block, we analyzed the effect of gain-of-function mutations using a combination of two-electrode voltage clamp, single-channel recording, and outside-out macropatches. We found that mutation of A713, the d or degeneration position, to residues larger than cysteine increased macroscopic current, open probability, and open times in homomeric channels, suggesting that bulky residues at this position stabilize open states. Wild-type MEC-10 partially suppressed the effect of such mutations on macroscopic current, suggesting that subunit-subunit interactions regulate open probability. Additional support for this idea is derived from an analysis of macroscopic currents carried by single-mutant and double-mutant heteromeric channels. We also examined blockade by the diuretic amiloride and two related compounds. We found that mutation of A713 to threonine, glycine, or aspartate decreased the affinity of homomeric channels for amiloride. Unlike the increase in open probability, this effect was not related to size of the amino acid side chain, indicating that mutation at this site alters antagonist binding by an independent mechanism. Finally, we present evidence that amiloride block is diffusion limited in DEG/ENaC channels, suggesting that variations in amiloride affinity result from variations in binding energy as opposed to accessibility. We conclude that the d position is part of a key region in the channel functionally and structurally, possibly representing the beginning of a pore-forming domain.
???displayArticle.pubmedLink???
17261841 ???displayArticle.pmcLink???PMC2154353 ???displayArticle.link???J Gen Physiol ???displayArticle.grants???[+]
Figure 1. The peri-TM2 domain of MEC-4, MEC-10, and rat ENaCs. The d position is highlighted in red. In 267 proteins from 36 species in the DEG/ENaC superfamily, the d position is occupied by S > A > G > N in descending order of frequency (Bateman et al., 2004). Residues n after the d position are labeled d + n as referenced in the text. Residue d+7 is indicated with *; mutations at this position in ENaC decrease amiloride Ki' by ∼1,000-fold (Schild et al., 1997).
Figure 2. Macroscopic amiloride-sensitive current carried by A713X isoforms. (A) Current amplitude vs. side chain volume at the d position. Current was measured at −85 mV. F(6,109) = 8.226, P = 2.38e−07. (B) Current amplitude at −85 mV vs. reversal potential. The reversal potential was measured from amiloride-sensitive I-V curves derived from voltage ramps. We recorded from at least seven cells harvested from at least two frogs for all isoforms. Marker size is proportional to side chain volume in A and B.
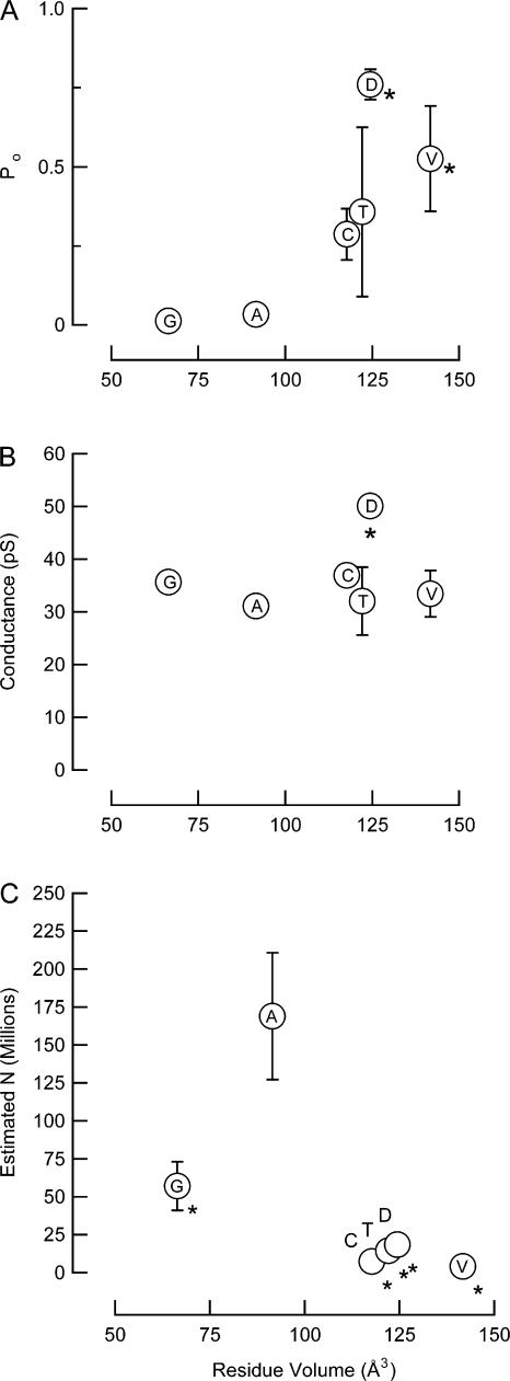
Figure 3. Steady-state open probability, Po (A), single-channel conductance, γ (B), and estimated channel number, N (C), as a function of side-chain volume. Microscopic parameters, Po and γ, were determined from outside-out patches containing one to two channels. The square root of the probability of not being closed was used as an estimate of Po for two-channel patches. N was estimated as described in the Results. The data are summarized in Table II. One-way ANOVAs for Po, γ, and N were as follows: F(5,46) = 8.354, P = 1.11e-05; F(5,46) = 6.791, P = 8.12e-05; and F(5, 97) = 12.94, P = 1.2e-09. Pairwise Dunnet's test with respect to wild-type: *, P < 0.01.
Figure 4. Single-channel recordings of A713X isoforms at −150 mV. Inward current is down and substates are indicated by a horizontal dashed line. To the left of each trace is a segment of the same recording (displayed on a compressed timescale) showing current in the presence (t < 0) and absence (t > 0) of 50 μM amiloride. All-points histograms are to the right of each trace, including fits to the distribution with a sum of Gaussians. The peak corresponding to the closed state is indicated by the vertical dashed line. Similar results were obtained in at least four patches for each isoform.
Figure 5. Steady-state blockade by amiloride-related compounds. (A) Normalized dose–response curves at −60 mV for amiloride (left), benzamil (center), and benzamidine (right). Solid and open circles are data for A713wt and A713T channels, respectively. (B) Effect of mutation on Ki' at −60 mV. (C) Antagonist Ki' vs. voltage. Six A713X isoforms were tested for amiloride blockade: solid circles (A713wt), solid squares (A713V), and solid triangles (A713C); open circles (A713T), open squares (A713D), and open triangles (A713G). Curves were fit to the data according to Woodhull's model of voltage- dependent blockade by charged molecules (Woodhull, 1973). See Table II for fitting parameters and the number of oocytes tested for each isoform and compound.
Figure 6. Kinetics of blockade by amiloride-related compounds. (A) Time course of the effect of benzamil on A713wt in outside-out macropatches. Vh = −60 mV. Traces corresponding to the effect of 0.1, 0.4, 1.6, and 20 μM benzamil are shown and shaded in proportion to the concentration. (B) On-rates depend on concentration, voltage, and compound. Closed circles are amiloride at Vh = −60 mV (n = 6), open circles are amiloride at Vh = −100 mV (n = 3), hatched circles are benzamil at Vh = −60 mV. (C) Off-rates depend on voltage and compound, but not concentration. All points are mean ± SEM; lines are fits to averages weighted by the standard deviations.
Figure 7. Macroscopic current and amiloride block of MEC-4/MEC-10 heteromultimeric channels. (A) Amiloride-sensitive current in wild type, cysteine single-mutant, and cysteine double-mutant heteromeric channels. (B) Amiloride-sensitive current in wild type, aspartate single-mutant, and aspartate double-mutant heteromeric channels. (C) Amiloride-sensitive current in wild type, valine single-mutant, and valine-double mutant heteromeric channels. In A–C, bars are mean ± SEM for the number of cells indicated above each bar. For ease of comparison, data for wild-type heteromeric channels are repeated in A–C. *, P < 0.01, Student's t test for the indicated comparison. (D) Schematic diagram of the mutant cycle, including Ki' measured at −60 mV for each combination. Values are mean ± SEM (in μM) for the number of measurements indicated in parenthesis. (E) Coupling energy, RTlnΩ, for mutations that replace the wild-type alanine with C, T, D, or V in MEC-4 and MEC-10. One-way ANOVA showed that the four Ki values used to calculate each Ω differed from one another at P < 0.0005. See Table S1 for Ki' values and Table S2 for full results of the ANOVA. †, data are from Goodman et al. (2002).
Adams,
Protons activate brain Na+ channel 1 by inducing a conformational change that exposes a residue associated with neurodegeneration.
1998, Pubmed,
Xenbase
Adams,
Protons activate brain Na+ channel 1 by inducing a conformational change that exposes a residue associated with neurodegeneration.
1998,
Pubmed
,
Xenbase Bass,
Crystal structure of Escherichia coli MscS, a voltage-modulated and mechanosensitive channel.
2002,
Pubmed Bateman,
The Pfam protein families database.
2004,
Pubmed Canessa,
Amiloride-sensitive epithelial Na+ channel is made of three homologous subunits.
1994,
Pubmed
,
Xenbase Chalfie,
The identification and suppression of inherited neurodegeneration in Caenorhabditis elegans.
1990,
Pubmed Chang,
Structure of the MscL homolog from Mycobacterium tuberculosis: a gated mechanosensitive ion channel.
1998,
Pubmed Choudhary,
Interactions of the C-11 hydroxyl of tetrodotoxin with the sodium channel outer vestibule.
2003,
Pubmed
,
Xenbase Driscoll,
The mec-4 gene is a member of a family of Caenorhabditis elegans genes that can mutate to induce neuronal degeneration.
1991,
Pubmed Garty,
Epithelial sodium channels: function, structure, and regulation.
1997,
Pubmed Gillespie,
The distribution of small ions during the early development of Xenopus laevis and Ambystoma mexicanum embryos.
1983,
Pubmed
,
Xenbase Goodman,
MEC-2 regulates C. elegans DEG/ENaC channels needed for mechanosensation.
2002,
Pubmed
,
Xenbase Green,
Surface charges and ion channel function.
1991,
Pubmed Hidalgo,
Revealing the architecture of a K+ channel pore through mutant cycles with a peptide inhibitor.
1995,
Pubmed
,
Xenbase Hong,
In vivo structure-function analyses of Caenorhabditis elegans MEC-4, a candidate mechanosensory ion channel subunit.
2000,
Pubmed Huang,
Gene interactions affecting mechanosensory transduction in Caenorhabditis elegans.
1994,
Pubmed Jones,
Defining affinity with the GABAA receptor.
1998,
Pubmed Kash,
Coupling of agonist binding to channel gating in the GABA(A) receptor.
2003,
Pubmed Kellenberger,
Mutations in the epithelial Na+ channel ENaC outer pore disrupt amiloride block by increasing its dissociation rate.
2003,
Pubmed
,
Xenbase Kellenberger,
Epithelial sodium channel/degenerin family of ion channels: a variety of functions for a shared structure.
2002,
Pubmed Kellenberger,
An external site controls closing of the epithelial Na+ channel ENaC.
2002,
Pubmed
,
Xenbase Ladbury,
Just add water! The effect of water on the specificity of protein-ligand binding sites and its potential application to drug design.
1996,
Pubmed Lai,
Sequence and transmembrane topology of MEC-4, an ion channel subunit required for mechanotransduction in Caenorhabditis elegans.
1996,
Pubmed McNicholas,
Diversity of channels generated by different combinations of epithelial sodium channel subunits.
1997,
Pubmed
,
Xenbase O'Hagan,
The MEC-4 DEG/ENaC channel of Caenorhabditis elegans touch receptor neurons transduces mechanical signals.
2005,
Pubmed Palmer,
Epithelial Na channels: the nature of the conducting pore.
1990,
Pubmed Palmer,
Amiloride-sensitive Na channels from the apical membrane of the rat cortical collecting tubule.
1986,
Pubmed Rabito,
Amiloride and calcium effect on the outer barrier of the frog skin.
1978,
Pubmed Royal,
Temperature-sensitive mutant of the Caenorhabditis elegans neurotoxic MEC-4(d) DEG/ENaC channel identifies a site required for trafficking or surface maintenance.
2005,
Pubmed
,
Xenbase Schild,
Identification of amino acid residues in the alpha, beta, and gamma subunits of the epithelial sodium channel (ENaC) involved in amiloride block and ion permeation.
1997,
Pubmed
,
Xenbase Schreiber,
Energetics of protein-protein interactions: analysis of the barnase-barstar interface by single mutations and double mutant cycles.
1995,
Pubmed Snyder,
Gating induces a conformational change in the outer vestibule of ENaC.
2000,
Pubmed
,
Xenbase Vassalli,
Amiloride selectively inhibits the urokinase-type plasminogen activator.
1987,
Pubmed Woodhull,
Ionic blockage of sodium channels in nerve.
1973,
Pubmed Zeslawska,
Crystals of the urokinase type plasminogen activator variant beta(c)-uPAin complex with small molecule inhibitors open the way towards structure-based drug design.
2000,
Pubmed