XB-ART-36590
Dev Biol
2007 Nov 15;3112:434-48. doi: 10.1016/j.ydbio.2007.08.047.
Show Gene links
Show Anatomy links
Apoptosis regulates notochord development in Xenopus.
Malikova MA, Van Stry M, Symes K.
???displayArticle.abstract???
The notochord is the defining characteristic of the chordate embryo and plays critical roles as a signaling center and as the primitive skeleton. In this study we show that early notochord development in Xenopus embryos is regulated by apoptosis. We find apoptotic cells in the notochord beginning at the neural groove stage and increasing in number as the embryo develops. These dying cells are distributed in an anterior to posterior pattern that is correlated with notochord extension through vacuolization. In axial mesoderm explants, inhibition of this apoptosis causes the length of the notochord to approximately double compared to controls. In embryos, however, inhibition of apoptosis decreases the length of the notochord and it is severely kinked. This kinking also spreads from the anterior with developmental stage such that, by the tadpole stage, the notochord lacks any recognizable structure, although notochord markers are expressed in a normal temporal pattern. Extension of the somites and neural plate mirrors that of the notochord in these embryos, and the somites are severely disorganized. These data indicate that apoptosis is required for normal notochord development during the formation of the anterior-posterior axis, and its role in this process is discussed.
???displayArticle.pubmedLink??? 17920580
???displayArticle.pmcLink??? PMC2695716
???displayArticle.link??? Dev Biol
???displayArticle.grants??? [+]
AG00115 NIA NIH HHS , R01 CA 875375 NCI NIH HHS , R01 CA087375-04 NCI NIH HHS , R01 CA087375-05 NCI NIH HHS , Z01 AG000115 NIA NIH HHS , T32 AG000115 NIA NIH HHS , Z01 AG000115 Intramural NIH HHS
Species referenced: Xenopus laevis
Genes referenced: pcdh1
???attribute.lit??? ???displayArticles.show???
|
|
Fig. 1. Apoptosis occurs in the notochord but not somitic mesoderm. Cell death was assessed in intact embryos at different stages of development by TUNEL assay, in which nicked DNA is visualized by terminal-UTP-nicked-end labeling. Longitudinal sections indicating anterior notochord (center) and somites (top and bottom of frames) at stages 21 (A) and 25 (B) are shown. Note the presence of apoptotic cells in the notochord (arrows) but not in the somites. Anterior is to the right in both frames. (C) Graph indicating the number of apoptotic cells in the notochord at stages 17â25. Error bars indicate 95% confidence intervals. A minimum of 8 embryos in 3 independent experiments were used for this analysis. Scale bar in panel B is 100 μm. |
|
|
Fig. 2. Apoptosis in the notochord proceeds in an anterior to posterior direction. Embryos were fixed at stages 19â25, TUNEL stained, embedded and sectioned sagittally. (A) The anteroposterior distribution of TUNEL-positive cells in the notochord was assessed in each sagittal section at different developmental stages and notochord positions (A = anterior; M = middle; P = posterior). Error bars indicate 95% confidence intervals. (B) TUNEL-stained, sagittal sections of notochord at stages 22 (top panels) and 25 (bottom panels). Anterior, middle and posterior regions of the notochord are shown. At stage 25 the anterior and middle regions are fully vacuolated. Note the A to P change in the distribution of apoptotic nuclei with developmental stage. A minimum of 8 embryos in 3 independent experiments were used for this analysis. Scale bar in panel B is 100 μm. |
|
|
Fig. 3. Apoptosis regulates the extension of axial mesoderm explants. Embryos were injected with either Bcl-2 or GFP mRNA into the dorsoanterior marginal zone at the 4-cell stage. Open-faced Keller explants were dissected at stage 10.25 and cultured until sibling embryos reached stage 25, when they were fixed and analyzed. (A) The length-to-width ratio (LWR) of axial mesoderm explants was assessed by calculating the ratio of the longest aspect of each explant (length) to its width at the constriction point where the mesoderm extends from neural ectoderm. (B) The LWR of axial mesoderm explants derived from embryos microinjected with control (GFP, n = 31) or Bcl-2 (n = 34) mRNA was calculated. Note that explants in which apoptosis was prevented by Bcl-2 injection have a greater LWR than control explants. (C) Open-faced Keller explants comprise the prospective ectoderm (), neural ectoderm () and mesoderm (). Following convergent extension, differentiated notochord is flanked by somites (represented enlarged in the indicated box). (D) The length of the notochord was also measured in control (GFP mRNA-injected (n = 14), DNase I treated â a positive control for TUNEL assay â (n = 10) and no TUNEL enzyme â a negative control for TUNEL assay â (n = 8)) and Bcl-2 mRNA-injected (n = 22) explants. Note that the notochord in Bcl-2-injected explants elongated to a greater extent than in control explants. (E) Cell death was assessed by TUNEL assay (middle panels). The notochord is visualized by immunohistochemistry using the notochord antibody Tor70 (lower panels). DNase I treated explants are shown as a positive control for the TUNEL assay. Background autofluorescence is visible in all explants. (F) Higher magnification images of area within white boxes in GFP control and Bcl-2 explants shown in panel E. Note that apoptosis of mesoderm cells in mock-injected control explants (TUNEL-positive fluorescein-labeled cells) is blocked in Bcl-2-injected explants. Error bars in panels B and D indicate 95% confidence intervals. Scale bars in panels E and F 500 μm and 200 μm, respectively. |
|
|
Fig. 4. Inhibition of apoptosis in vivo causes severe arching of the dorsal axis. Embryos were injected into the prospective notochord region with (AâC) control GFP mRNA alone or with (DâF) Bcl-2 mRNA at the 4-cell stage. At stage 30, the embryos were fixed and processed for immunohistochemistry using (B, E) GFP and (C, F) Tor70 antibodies. Note that the embryos that received Bcl-2 mRNA develop with an arched dorsal axis. A minimum of 14 embryos in 3 independent experiments were used for this analysis. |
|
|
Fig. 5. Inhibition of apoptosis does not increase notochord extension in vivo but causes the notochord to kink severely. Embryos were injected into the prospective notochord region with (A, B, D, F) GFP mRNA (Con) alone or with (A, C, E, G) Bcl-2 mRNA at the 4-cell stage. At stages (A) 19, (AâC) 23, (A, D, E) 30 and (A, F, G) 35 the embryos were fixed and processed for immunohistochemistry using Tor70 and notochord length was measured in wholemount (A). Note that in the embryos that received Bcl-2 mRNA the notochord is kinked (C, E, G; arrowheads in panels C, G) compared to controls (B, D, F). Arrows point to the boundary between kinked and non-kinked notochord (C, E). Error bars indicate 95% confidence intervals. In panel A differences that are statistically significant (p < 0.05) in the unpaired t test are indicated by *. For stages 23â35 a minimum of 12 embryos in 3 independent experiments were used for this analysis; for stage 19 a minimum of 6 embryos were used. Anterior is to the right. Scale bar in panel G is 100 μm. |
|
|
Fig. 6. Inhibition of apoptosis severely disrupts notochord structure. Embryos were injected into the prospective notochord region with (A, B, E, F, I, J) GFP mRNA or (C, D, G, H, K, L) Bcl-2 mRNA at the 4-cell stage. At stages 23 (AâD), 30 (EâH) and 35 (IâL) the embryos were fixed, processed for immunohistochemistry using Tor70, TUNEL stained and then embedded and sagittally sectioned. Note that inhibition of apoptosis by Bcl-2 disrupts the structure of the notochord such that by stage 30, the notochord structure is severely compromised, with extensive kinking and a lack of vacuolization. Arrows in panels A, E and I indicate the anteroposterior limit of vacuolization. Dotted lines indicate the position of the notochord in panels A, C, E, G, I and K. Anterior is to the left in all frames. Scale bar in panel L is 100 μm. |
|
|
Fig. 7. Anteroposterior limit of notochord vacuolization changes with embryonic stage. Sagittal histological sections of GFP-injected embryos at stage 23, 30 and 35 were examined for the presence of vacuoles in the notochord, which begins in the anterior at stage 23. The anteriorâposterior limit of the vacuoles is indicated as a percentage of total notochord length. A minimum of 5 embryos were analyzed at each stage. Error bars indicated 95% confidence interval. |
|
|
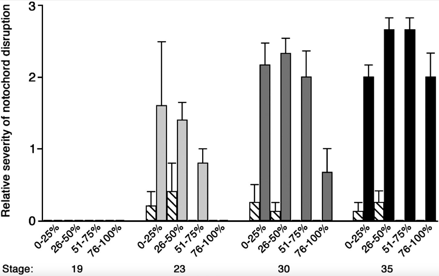
Fig. 8. Notochord structure is disrupted in an anterior to posterior progression with developmental stage when apoptosis is inhibited. Embryos were injected into the prospective notochord region with GFP mRNA (hatched bars) or Bcl-2 mRNA (solid bars) at the 4-cell stage. At stages 19, 23 (), 30 () and 35 (âª), the embryos were fixed, processed for immunohistochemistry using Tor70 and GFP antibodies, TUNEL stained and then embedded and sagittally sectioned. Notochord disruption was assessed in 4 different sectors that encompassed the percent of the notochord length from the anterior, 0â25%, 26â50%, 51â75% and 76â100%. The following values were used to score the severity of the phenotype, grade 0 for normal, grade 1 for a mild phenotype including a rippled notochord with contiguous borders, grade 2 for highly kinked notochord but with contiguous borders, and grade 3 for severe phenotypes including breakages in the notochord borders and a loss of structure. Note that, at stage 23, the notochord is disrupted only in the most anterior regions but at later stages, this disruption extends posteriorly such that by stage 35 the entire notochord is affected. Error bars indicate 95% confidence intervals. A minimum of 4 embryos in 3 independent experiments were used for this analysis. |
|
|
Fig. 9. Inhibition of apoptosis severely disrupts notochord structure. Embryos were injected into the prospective notochord region with (A, D, G) GFP mRNA or (B, C, E, F, H, I) Bcl-2 mRNA at the 4-cell stage. Two examples of Bcl-2-injected embryos are shown. At stages 23 (AâC), 30 (DâF) and 35 (GâI) the embryos were fixed, processed for immunohistochemistry using (Aâ²âIâ²) Tor70 and (Aâ³âIâ³) anti-GFP antibodies, (AâI) TUNEL stained and then embedded and sagittally sectioned. Note that inhibition of apoptosis caused the notochord to kink and develop with broken edges and with malformed or missing vacuoles. Arrows in panels D, Dâ³, G and Gâ³ point to vacuoles in wild type notochords. Compare to arrows in panels Eâ³ and Fâ³ that show misshapen vacuoles in Bcl-2-injected embryos. Arrowheads in panels Bâ³, Câ³ and Fâ² indicate brakes in the notochord sheath. Dotted lines in panels C, F and I indicate the position of the notochord boundaries and correspond to frames panels Câ², Câ³, Fâ², Fâ³, Iâ² and Iâ³. All frames taken at approximately the notochord anteroposterior midpoint. Anterior is to the left or down in all frames. Scale bar in panel Iâ³ is 20 μm. |
|
|
Fig. 10. The integrity of the sheath is compromised when apoptosis is inhibited in the notochord. Embryos were injected into the prospective notochord region with (AâC) GFP mRNA or (DâF) Bcl-2 mRNA at the 4-cell stage. At stage 35 the embryos were fixed, processed for immunohistochemistry using (A, D) anti-laminin and (B, E) Tor70 antibodies before being embedded and sagittally sectioned. Confocal microscopy (Axiovert LSM 200 M with 5 Pascal version 4 software; Zeiss) was used to analyze co-localization of the two markers (C, F) that outline the notochord, which overlapped 95â97%. Note that inhibition of apoptosis caused the notochord sheath to break. Anterior is to the left and dorsal is up in all frames. Scale bar in panel F is 40 μm. |
|
|
Fig. 11. The temporal expression of notochord markers is similar in control and Bcl-2-injected embryos. Embryos were injected into the prospective notochord region with (A, C, E, G) GFP mRNA or (B, D, F, H) Bcl-2 mRNA at the 4-cell stage. At stages 23 (A, B, E, F), 35 (C, D) and 37 (G, H) the embryos were fixed and processed for in situ hybridization using probes for AXPC (AâD) and procollagen IIA (EâH). The embryos were then photographed in wholemount (E, F) or embedded and transversely sectioned (AâD, G, H). Note that inhibition of apoptosis did not alter the pattern of expression of either marker. Notochord (n), pronephros (p). Dotted lines in panels C and D outline the notochord. Arrows in panels E and F point to the notochord. Anterior is to the left in panels E and F. Scale bar in panel D is 100 μm and applies to panels AâD, in panel F is 500 μm and applies to panels E and F and in panel H is 100 μm and applies to panels G and H. |
|
|
Fig. 12. Neural tube and somite extension mirrors that of the notochord. At stage 35, embryos that had been injected with GFP (AâD, IâL) or Bclâ2 (EâH, MâP) mRNA were subject to immunohistochemistry for notochord (A, C, E, G, I, K, M, O), skeletal muscle (B, D, F, H) or neural tube (J, L, N, P). Arrowheads in panels L and P indicate the neural tube. Anterior is to the left. Scale bar in panel N is 500 μm and applies to top 8 panels, and in panel P is 100 μm and applies to lower 8 panels. |
|
|
Fig. 13. Somites are disorganized when notochord apoptosis is inhibited. At stage 35, embryos that had been injected with GFP (A) or Bcl-2 (B) mRNA were subject to immunohistochemistry for skeletal muscle. Note severe disruption of somite structure in panel B. Anterior is to the left. Scale bar is 100 μm. |
References [+] :
Adams,
The mechanics of notochord elongation, straightening and stiffening in the embryo of Xenopus laevis.
1990, Pubmed,
Xenbase
Adams, The mechanics of notochord elongation, straightening and stiffening in the embryo of Xenopus laevis. 1990, Pubmed , Xenbase
Anderson, Chemical genetics suggests a critical role for lysyl oxidase in zebrafish notochord morphogenesis. 2007, Pubmed
Aszódi, Collagen II is essential for the removal of the notochord and the formation of intervertebral discs. 1998, Pubmed
Ataliotis, PDGF signalling is required for gastrulation of Xenopus laevis. 1995, Pubmed , Xenbase
Bolce, Ventral ectoderm of Xenopus forms neural tissue, including hindbrain, in response to activin. 1992, Pubmed , Xenbase
Bruns, Studies on the tadpole tail. I. Structure and organization of the notochord and its covering layers in Rana catesbeiana. 1970, Pubmed
Christ, The development of the avian vertebral column. 2000, Pubmed
Christ, Formation and differentiation of the avian sclerotome. 2004, Pubmed
Cleaver, Notochord patterning of the endoderm. 2001, Pubmed , Xenbase
Cole, Apoptosis in the developing zebrafish embryo. 2001, Pubmed
Copp, A cell-type-specific abnormality of cell proliferation in mutant (curly tail) mouse embryos developing spinal neural tube defects. 1988, Pubmed
Copp, Prevention of spinal neural tube defects in the mouse embryo by growth retardation during neurulation. 1988, Pubmed
Costell, Perlecan maintains the integrity of cartilage and some basement membranes. 1999, Pubmed
Cotten, Antenatal differentiation of the human intervertebral disc. 1994, Pubmed
Coucouvanis, Signals for death and survival: a two-step mechanism for cavitation in the vertebrate embryo. 1995, Pubmed
Coutinho, Differential requirements for COPI transport during vertebrate early development. 2004, Pubmed
Cunliffe, Switching on the notochord. 1999, Pubmed
Danos, Linkage of cardiac left-right asymmetry and dorsal-anterior development in Xenopus. 1995, Pubmed , Xenbase
Domowicz, The biochemically and immunologically distinct CSPG of notochord is a product of the aggrecan gene. 1995, Pubmed
Elul, Monopolar protrusive activity: a new morphogenic cell behavior in the neural plate dependent on vertical interactions with the mesoderm in Xenopus. 2000, Pubmed , Xenbase
Escárcega, The transcription factor nuclear factor-kappa B and cancer. 2007, Pubmed
Ezin, The midline (notochord and notoplate) patterns the cell motility underlying convergence and extension of the Xenopus neural plate. 2003, Pubmed , Xenbase
Fey, Appearance and distribution of laminin during development of Xenopus laevis. 1990, Pubmed , Xenbase
Fleming, The role of the notochord in vertebral column formation. 2001, Pubmed
Fouquet, Vessel patterning in the embryo of the zebrafish: guidance by notochord. 1997, Pubmed
Geach, Members of the lysyl oxidase family are expressed during the development of the frog Xenopus laevis. 2005, Pubmed , Xenbase
GLUCKSMANN, Cell deaths in normal vertebrate ontogeny. 1951, Pubmed
Goldstein, Notochord regulates cardiac lineage in zebrafish embryos. 1998, Pubmed , Xenbase
Goto, Notochord action on spinal development. A histologic and morphometric investigation. 1986, Pubmed
Hensey, Programmed cell death during Xenopus development: a spatio-temporal analysis. 1998, Pubmed , Xenbase
Hirata, Temporospatial patterns of apoptosis in chick embryos during the morphogenetic period of development. 2000, Pubmed
Hong, Phosphatidylserine receptor is required for the engulfment of dead apoptotic cells and for normal embryonic development in zebrafish. 2004, Pubmed
Jacobson, Programmed cell death in animal development. 1997, Pubmed
Jeay, Lysyl oxidase inhibits ras-mediated transformation by preventing activation of NF-kappa B. 2003, Pubmed
Keller, Cell intercalation during notochord development in Xenopus laevis. 1989, Pubmed , Xenbase
Keller, How we are shaped: the biomechanics of gastrulation. 2003, Pubmed , Xenbase
Keller, Mechanisms of elongation in embryogenesis. 2006, Pubmed
Kim, An autocrine or paracrine Fas-mediated counterattack: a potential mechanism for apoptosis of notochordal cells in intact rat nucleus pulposus. 2005, Pubmed
Kim, The role of paraxial protocadherin in selective adhesion and cell movements of the mesoderm during Xenopus gastrulation. 1998, Pubmed , Xenbase
Kintner, Monoclonal antibodies identify blastemal cells derived from dedifferentiating limb regeneration. , Pubmed , Xenbase
KITCHIN, The effects of notochordectomy in Amblystoma mexicanum. 1949, Pubmed
Kushner, A library of monoclonal antibodies to Torpedo cholinergic synaptosomes. 1984, Pubmed , Xenbase
Lohr, Left-right asymmetry of a nodal-related gene is regulated by dorsoanterior midline structures during Xenopus development. 1997, Pubmed , Xenbase
Mendelsohn, Atp7a determines a hierarchy of copper metabolism essential for notochord development. 2006, Pubmed
Morgan, FLASH, a component of the FAS-CAPSASE8 apoptotic pathway, is directly regulated by Hoxb4 in the notochord. 2004, Pubmed , Xenbase
Mori, Programmed cell death in the interdigital tissue of the fetal mouse limb is apoptosis with DNA fragmentation. 1995, Pubmed
Moriyoshi, Labeling neural cells using adenoviral gene transfer of membrane-targeted GFP. 1996, Pubmed
Münsterberg, Combinatorial signals from the neural tube, floor plate and notochord induce myogenic bHLH gene expression in the somite. 1995, Pubmed
Nakajima, Structure, expression, and function of the Xenopus laevis caspase family. 2000, Pubmed , Xenbase
Odenthal, Mutations affecting the formation of the notochord in the zebrafish, Danio rerio. 1996, Pubmed
Parsons, Zebrafish mutants identify an essential role for laminins in notochord formation. 2002, Pubmed
Peng, Xenopus laevis: Practical uses in cell and molecular biology. Solutions and protocols. 1991, Pubmed , Xenbase
Perrimon, Specificities of heparan sulphate proteoglycans in developmental processes. 2000, Pubmed
Pourquié, Control of dorsoventral patterning of somitic derivatives by notochord and floor plate. 1993, Pubmed
Raff, Programmed cell death and the control of cell survival: lessons from the nervous system. 1993, Pubmed
Rufai, The development of fibrocartilage in the rat intervertebral disc. 1995, Pubmed
Ruiz i Altaba, Planar and vertical signals in the induction and patterning of the Xenopus nervous system. 1992, Pubmed , Xenbase
Sater, Induction of neuronal differentiation by planar signals in Xenopus embryos. 1993, Pubmed , Xenbase
Smith, Biochemical specificity of Xenopus notochord. 1985, Pubmed , Xenbase
Smits, Sox5 and Sox6 are required for notochord extracellular matrix sheath formation, notochord cell survival and development of the nucleus pulposus of intervertebral discs. 2003, Pubmed
Stemple, Structure and function of the notochord: an essential organ for chordate development. 2005, Pubmed
Stemple, Mutations affecting development of the notochord in zebrafish. 1996, Pubmed
Su, Expression of two nonallelic type II procollagen genes during Xenopus laevis embryogenesis is characterized by stage-specific production of alternatively spliced transcripts. 1991, Pubmed , Xenbase
Tahinci, Distinct functions of Rho and Rac are required for convergent extension during Xenopus gastrulation. 2003, Pubmed , Xenbase
Theiler, Vertebral malformations. 1988, Pubmed
Van Stry, The mitochondrial-apoptotic pathway is triggered in Xenopus mesoderm cells deprived of PDGF receptor signaling during gastrulation. 2004, Pubmed , Xenbase
Wallingford, Calcium signaling during convergent extension in Xenopus. 2001, Pubmed , Xenbase
Wilson, Cell rearrangement and segmentation in Xenopus: direct observation of cultured explants. 1989, Pubmed , Xenbase
Wilson, The mechanisms of dorsoventral patterning in the vertebrate neural tube. 2005, Pubmed
Yamada, Control of cell pattern in the neural tube: motor neuron induction by diffusible factors from notochord and floor plate. 1993, Pubmed
Yamada, Control of cell pattern in the developing nervous system: polarizing activity of the floor plate and notochord. 1991, Pubmed
Yeo, A role for programmed cell death during early neurogenesis in xenopus. 2003, Pubmed , Xenbase
Youn, Axial structure development in ultraviolet-irradiated (notochord-defective) amphibian embryos. 1981, Pubmed , Xenbase
Zuzarte-Luis, Programmed cell death in the embryonic vertebrate limb. 2005, Pubmed
