Click here to close
Hello! We notice that you are using Internet Explorer, which is not supported by Xenbase and may cause the site to display incorrectly.
We suggest using a current version of Chrome,
FireFox, or Safari.
J Biomed Biotechnol
2007 Jan 01;2007:76514. doi: 10.1155/2007/76514.
Show Gene links
Show Anatomy links
Imaging GABAc receptors with ligand-conjugated quantum dots.
Tomlinson ID, Gussin HA, Little DM, Warnement MR, Qian H, Pepperberg DR, Rosenthal SJ.
???displayArticle.abstract???
We report a methodology for labeling the GABAc receptor on the surface membrane of intact cells. This work builds upon our earlier work with serotonin-conjugated quantum dots and our studies with PEGylated quantum dots to reduce nonspecific binding. In the current approach, a PEGylated derivative of muscimol was synthesized and attached via an amide linkage to quantum dots coated in an amphiphilic polymer derivative of a modified polyacrylamide. These conjugates were used to image GABA(C) receptors heterologously expressed in Xenopus laevis oocytes.
Figure 1. A comparison of nonspecific adsorption of AMP-coated qdots to the surfaces
of 6 different cell types. These
experiments employed AMP-coated qdots that were either unconjugated (upper row)
or conjugated to PEG2000 (lower row).
Figure 2. Serotonin-coated qdots used to label SERT-expressing cells.
Figure 3. Muscimol, a GABAC and GABAA receptor agonist.
Scheme 1. Synthesis of Muscimol: (i) DBU, (ii) NH3, and (iii) BH3.
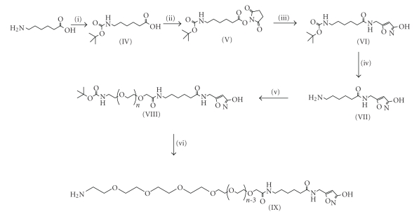
Scheme 2. Synthesis of muscimol ligand: (i) BOC anhydride, (ii) NHS, DCC, (iii)
Muscimol, (iv) TFA,(v) BOC-PEG3400-NHS, and (vi) TFA.
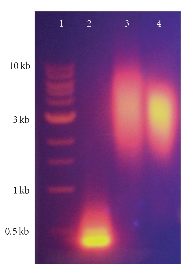
Figure 4. Agarose gel electrophoresis of qdots conjugates (1% agarose gel;
Tris-acetate-EDTA buffer containing ethidium bromide for DNA visualization; 80 V potential difference). A 1-kb DNA
ladder (Lane 1; New England Biolabs, Ipswich, Mass, USA), with DNA fragments ranging
from 0.5–10 kilobases (kb) as indicated, was utilized to illustrate relative
electrophoretic mobility of the qdot conjugates. Unconjugated AMP-coated
qdots (Lane 2) have an increased mobility by comparison with both
muscimol-conjugated qdots (Lane 3) and qdots conjugated with methoxy terminated
PEG2000 (Lane 4), indicating successful functionalization of the qdot surface.
Figure 5. Fluorescence images (top row) and
bright-field images (bottom row) of oocytes incubated with qdot-containing
compounds for 10 minutes. The
bright-field images illustrate the plane of focus of the opaque oocyte. Panels
A and B show results from a human ρ1 GABAC-expressing oocyte incubated with 34 nM muscimol-conjugated AMP-coated qdots. Panels C and D show a human ρ1 GABAC-expressing oocyte incubated with a 34 nM solution of unconjugated AMP-coated qdots. Panels
E and F show a nonexpressing oocyte incubated with 34 nM muscimol-conjugated
AMP-coated qdots. Adapted from Gussin et al. [65].
Agostiano,
Synthesis and structural characterisation of CdS nanoparticles prepared in a four-components "water-in-oil" microemulsion.
2000, Pubmed
Agostiano,
Synthesis and structural characterisation of CdS nanoparticles prepared in a four-components "water-in-oil" microemulsion.
2000,
Pubmed Akerman,
Nanocrystal targeting in vivo.
2002,
Pubmed Alivisatos,
The use of nanocrystals in biological detection.
2004,
Pubmed Ballou,
Noninvasive imaging of quantum dots in mice.
2004,
Pubmed Bäumle,
Highly fluorescent streptavidin-coated CdSe nanoparticles: preparation in water, characterization, and micropatterning.
2004,
Pubmed Bentzen,
Surface modification to reduce nonspecific binding of quantum dots in live cell assays.
2005,
Pubmed Bouzigues,
Asymmetric redistribution of GABA receptors during GABA gradient sensing by nerve growth cones analyzed by single quantum dot imaging.
2007,
Pubmed Bruchez,
Semiconductor nanocrystals as fluorescent biological labels.
1998,
Pubmed Bryde,
Tumor necrosis factor (TNF)-functionalized nanostructured particles for the stimulation of membrane TNF-specific cell responses.
2005,
Pubmed Cai,
Peptide-labeled near-infrared quantum dots for imaging tumor vasculature in living subjects.
2006,
Pubmed Chakrabarti,
Nanocrystals modified with peptide nucleic acids (PNAs) for selective self-assembly and DNA detection.
2003,
Pubmed Chan,
Quantum dot bioconjugates for ultrasensitive nonisotopic detection.
1998,
Pubmed Dahan,
Diffusion dynamics of glycine receptors revealed by single-quantum dot tracking.
2003,
Pubmed Dubertret,
In vivo imaging of quantum dots encapsulated in phospholipid micelles.
2002,
Pubmed
,
Xenbase Dyadyusha,
Quenching of CdSe quantum dot emission, a new approach for biosensing.
2005,
Pubmed Ehrensperger,
Multiple association states between glycine receptors and gephyrin identified by SPT analysis.
2007,
Pubmed Fu,
Discrete nanostructures of quantum dots/Au with DNA.
2004,
Pubmed Gao,
In vivo molecular and cellular imaging with quantum dots.
2005,
Pubmed Gao,
In vivo cancer targeting and imaging with semiconductor quantum dots.
2004,
Pubmed Gerion,
Sorting fluorescent nanocrystals with DNA.
2002,
Pubmed Goldman,
Conjugation of luminescent quantum dots with antibodies using an engineered adaptor protein to provide new reagents for fluoroimmunoassays.
2002,
Pubmed Goldman,
Multiplexed toxin analysis using four colors of quantum dot fluororeagents.
2004,
Pubmed Gussin,
Binding of muscimol-conjugated quantum dots to GABAC receptors.
2006,
Pubmed
,
Xenbase Howarth,
A monovalent streptavidin with a single femtomolar biotin binding site.
2006,
Pubmed Howarth,
Targeting quantum dots to surface proteins in living cells with biotin ligase.
2005,
Pubmed Jovin,
Quantum dots finally come of age.
2003,
Pubmed Kim,
Near-infrared fluorescent type II quantum dots for sentinel lymph node mapping.
2004,
Pubmed Le Gac,
Quantum dots based probes conjugated to annexin V for photostable apoptosis detection and imaging.
2006,
Pubmed Lidke,
Quantum dot ligands provide new insights into erbB/HER receptor-mediated signal transduction.
2004,
Pubmed Manchester,
Virus-based nanoparticles (VNPs): platform technologies for diagnostic imaging.
2006,
Pubmed Månsson,
In vitro sliding of actin filaments labelled with single quantum dots.
2004,
Pubmed Mason,
Labeling cell-surface proteins via antibody quantum dot streptavidin conjugates.
2005,
Pubmed Mason,
Novel fluorescence-based approaches for the study of biogenic amine transporter localization, activity, and regulation.
2005,
Pubmed McBride,
Structural basis for near unity quantum yield core/shell nanostructures.
2006,
Pubmed Medintz,
Maltose-binding protein: a versatile platform for prototyping biosensing.
2006,
Pubmed Minet,
Heat stress induced redistribution of fluorescent quantum dots in breast tumor cells.
2004,
Pubmed Patolsky,
Lighting-up the dynamics of telomerization and DNA replication by CdSe-ZnS quantum dots.
2003,
Pubmed Qian,
Molecular and pharmacological properties of GABA-rho subunits from white perch retina.
1998,
Pubmed
,
Xenbase Rosenthal,
Targeting cell surface receptors with ligand-conjugated nanocrystals.
2002,
Pubmed
,
Xenbase Srinivasan,
Labeling and intracellular tracking of functionally active plasmid DNA with semiconductor quantum dots.
2006,
Pubmed Tan,
Quantum-dot based nanoparticles for targeted silencing of HER2/neu gene via RNA interference.
2007,
Pubmed Tholouli,
Imaging of multiple mRNA targets using quantum dot based in situ hybridization and spectral deconvolution in clinical biopsies.
2006,
Pubmed Tomlinson,
High affinity inhibitors of the dopamine transporter (DAT): novel biotinylated ligands for conjugation to quantum dots.
2006,
Pubmed Tomlinson,
Inhibitors of the serotonin transporter protein (SERT): the design and synthesis of biotinylated derivatives of 3-(1,2,3,6-tetrahydro-pyridin-4-yl)-1H-indoles. High-affinity serotonergic ligands for conjugation with quantum dots.
2005,
Pubmed Tomlinson,
Peptide-conjugated quantum dots: imaging the angiotensin type 1 receptor in living cells.
2005,
Pubmed Tomlinson,
Universal polyethylene glycol linkers for attaching receptor ligands to quantum dots.
2006,
Pubmed Tsay,
Hybrid approach to the synthesis of highly luminescent CdTe/ZnS and CdHgTe/ZnS nanocrystals.
2004,
Pubmed Vu,
Activation of membrane receptors by a neurotransmitter conjugate designed for surface attachment.
2005,
Pubmed
,
Xenbase Watson,
Lighting up cells with quantum dots.
2003,
Pubmed Wolcott,
Silica-coated CdTe quantum dots functionalized with thiols for bioconjugation to IgG proteins.
2006,
Pubmed Wu,
Immunofluorescent labeling of cancer marker Her2 and other cellular targets with semiconductor quantum dots.
2003,
Pubmed Xiao,
Semiconductor nanocrystal probes for human metaphase chromosomes.
2004,
Pubmed Zhang,
Single-quantum-dot-based DNA nanosensor.
2005,
Pubmed Zheng,
High quantum yield blue emission from water-soluble Au8 nanodots.
2003,
Pubmed