Click here to close
Hello! We notice that you are using Internet Explorer, which is not supported by Xenbase and may cause the site to display incorrectly.
We suggest using a current version of Chrome,
FireFox, or Safari.
???displayArticle.abstract???
T-box family transcription factors play many roles in Metazoan development. Here we characterise Tbx6r, a unique Tbx6 paralogue isolated from the amphibian Xenopus. The evolution and developmental integration of this divergent T-box gene within the vertebrates reveals an unexpected level of plasticity within this conserved family of developmental regulators. We show that despite their co-expression, Tbx6 and Tbx6r have dissimilar transcriptional responses to ligand treatment, and their ability to activate ligand expression is also very different. The two paralogues have distinct inductive properties: Tbx6 induces mesoderm whereas Tbx6r induces anterior neural markers. We use hybrid proteins in an effort to understand this difference, and implicate the C-terminal regions of the proteins in their inductive specificities. Through loss-of-function analyses using antisense morpholino oligonucleotides we show that both Tbx6 paralogues perform essential functions in the development of the paraxial and intermediate mesoderm and the neural crest in Xenopus. We demonstrate that Tbx6 and Tbx6r both induce FGF8 expression as well as that of pre-placodal markers, and that Tbx6 can also induce neural crest markers via a ligand-dependent mechanism involving FGF8 and Wnt8. Our data thus identify an important new function for this key developmental regulator.
Fig. 5. Tbx6r depletion using antisense morpholino oligonucleotides causes developmental defects in X. laevis. (A) Diagram illustrating positions of the various morpholinos used relative to the Tbx6r mRNA. The translational initiation site is underlined and the T-domain is highlighted in red. MO3 is an exact match to the RNA sequence because it was designed as a translation blocking morpholino although it acts as a splice-blocker, whereas MO4 is an inexact match because the 3â² region targets intronic sequence. (B) RT-PCR analysis of splicing morpholino efficacy and specificity in stage 19 embryos injected with 50Â ng morpholino. Gene-specific primers span the indicated introns (Int). Asterisks indicate unspliced products. pTbx6 and pTbx6R are positive control PCR products generated from plasmid DNA. (CâE) Embryos injected with 90Â ng of indicated morpholino. (F, G) Embryos injected with 30Â ng morpholino.
Fig. 6. Phenotypic defects resulting from depletion of Tbx6r and Tbx6 in X. tropicalis. (A) Efficacy of splicing morpholino in siblings of embryos pictured in BâE. The upper band is of a size consistent with an unspliced product and may represent pre-mRNA since it is present in all samples. XtTbx6r MO inhibits splicing significantly but incompletely. Tbx6r splicing is not affected in Tbx6 morphants. Embryos were injected at the one-cell stage with the following morpholinos: 30 ng GeneTools control (B), 15 ng XtTbx6r (C), 30 ng XtTbx6r (D), 30 ng XtTbx6 (E). Tail lengths were measured from the proctodeal opening to the tail tip at stage 41. Mean values ± the standard error of the mean are shown in (F). Measurements were subjected to ANOVA followed by Scheffe's Test of Least Significant Difference. The annotations a, b and c above the bars on the graphs represent statistically significant differences between groups at p < 0.05.
Fig. 7. Mesoderm patterning in Tbx6r-depleted embryos. Embryos were injected unilaterally at the 2-cell stage with 25Â ng of the indicated morpholino. The probes used are indicated on the images. All images are of in situ hybridisations except J and K, which are antibody stains. Asterisks indicate injected sides. (AâF) vegetal views of gastrulae; (GâI) dorsal views of neurula; (JâK) dorsal views of tailbud embryos, anterior to left. (LâO) are lateral views of hemi-injected tailbud embryos.
Fig. 8. Neural patterning in Tbx6r-depleted embryos. All embryos were unilaterally injected at the 2-cell stage with 25Â ng indicated morpholino except AâC, which were injected with 50Â ng at the 1-cell stage. The morpholinos were lissamine-labelled to allow determination of injected side marked by an asterisk (MâO are fluorescent images of the embryos in JâL). In situ probes used are indicated on the figures. (AâC) dorsal views of neurula, anterior at bottom; (DâR) anterior views of neurula; (SâV) lateral views of tailbud embryos; T, V are injected sides of embryos in S, U respectively.
Fig. 9. Embryos lacking Tbx6 have defects in neural crest and paraxial mesoderm formation. (A) Test of Tbx6 splicing morpholino (T6sp1) efficacy and specificity by RT-PCR. The 226Â bp amplicon indicating correct splicing of Tbx6 is greatly reduced in stage 16 embryos injected with 50Â ng T6sp1 MO but unaffected in siblings injected with 50Â ng Tbx6r MO4. (BâE) Morphant phenotypes of Tbx6 translation-blocker (T6 ATG MO) and splice-blocker (T6sp1 MO) morpholinos. (FâR) In situ analysis of embryos unilaterally injected (*) with 25Â ng T6sp1 MO at the 2-cell stage. F, J, L, N were injected with control morpholino; G, K, M, O were injected with T6sp1 MO. H and I are fluorescent images of the anterior views of the neurula depicted in F and G respectively, showing distribution of the lissamine-labelled morpholino. P and Q show uninjected and T6sp1 MO-injected sides of the same tailbudembryo; R and S are the equivalent images of a control-injected morphant. J, K: dorsal views; LâO anterior views.
Fig. 10. Tbx6 and Tbx6r induce FGF8 and neural plate border markers. (A) Tbx6 expression and (B) Tbx6r expression in the mesoderm of parasagittally bisected stage 15 embryos co-stained with the neurectodermal marker Krox20. (C) Differential ligand-inducing activities of Tbx6, Tbx6r and the hybrid constructs in gastrula-stage caps. 500Â pg of each RNA was injected. (D) FGF8 is induced by 500Â pg Tbx6râMT in stage 23 caps. (E) Neural plate border induction in stage 23 animal caps. (F) Inhibition of Tbx6-mediated neural plate border induction by 500Â pg Tbx6âMT RNA in stage 23 animal caps by 50Â ng morpholino targeting either FGF8 or Wnt8. Experiments were independently duplicated (C, D, F) or triplicated (E); representative results of individual experiments are shown. Control caps in (C) to (F) were derived from uninjected embryos.
Supplementary Fig. 1. Comparative spatiotemporal expression analysis of Tbx6r, Tbx6 and VegT/apod. (A) Temporal analysis of the expression of the three genes during X. laevis development measured by quantitative RT-PCR. (B-P) Spatial analysis of gene expression by in situ hybridisation. B, G, L: side view; C, H, M: vegetal view; D, E, I, J, N, O: dorsal view, anterior to left; F, K, P: lateral view, anterior to left.
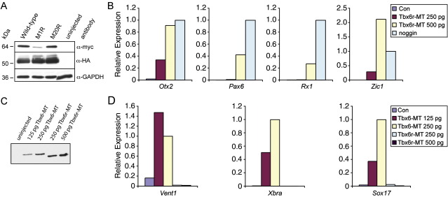
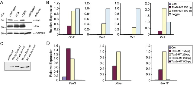
Supplementary Fig. 2. The biological activity of Tbx6r is atypical of the Tbx6 sub-family. (A) Determination of translational start codon by western analysis. Lanes contain lysates from early gastrula stage 10 embryos injected at the 1-cell stage with 500 pg RNA made from the wild-type myc-tagged Tbx6r-MT construct or from derivatives in which either of the first two methionines were mutated (M1R and M20R). All injected samples were spiked with 500 pg Xbra-HA as translation control and the blot was probed sequentially with anti-myc, anti-HA and anti-GAPDH antibodies, the last of these acting as a loading control. (B) Expression of anterior neural markers in animal caps cultured to stage 23 with the RNA amount injected into the 1-cell embryo specified in picograms. Expression in all samples was normalised to that of ornithine decarboxylase (ODC) as was the case for all subsequent experiments. The animal cap assay was performed three times and results of a representative experiment are shown. Here, the level of induction depicted is relative to that caused by 400 pg noggin RNA. (C) Comparison of translation efficiency of the Tbx6r-MT and Tbx6-MT constructs in NF10 embryos; siblings to those shown in D. (D) Expression of mesodermal and endodermal markers in NF 11.5 animal caps. Induction is depicted relative to that caused by 250 pg Tbx6. Control caps in (B) and (D) were derived from uninjected embryos.
Adell,
Isolation and characterization of two T-box genes from sponges, the phylogenetically oldest metazoan taxon.
2003, Pubmed
Adell,
Isolation and characterization of two T-box genes from sponges, the phylogenetically oldest metazoan taxon.
2003,
Pubmed Agulnik,
Evolution of mouse T-box genes by tandem duplication and cluster dispersion.
1996,
Pubmed Agulnik,
Conservation of the T-box gene family from Mus musculus to Caenorhabditis elegans.
1995,
Pubmed
,
Xenbase Andachi,
Caenorhabditis elegans T-box genes tbx-9 and tbx-8 are required for formation of hypodermis and body-wall muscle in embryogenesis.
2004,
Pubmed Bielen,
Divergent functions of two ancient Hydra Brachyury paralogues suggest specific roles for their C-terminal domains in tissue fate induction.
2007,
Pubmed
,
Xenbase Bongers,
Mutations in the human TBX4 gene cause small patella syndrome.
2004,
Pubmed Bonstein,
Paraxial-fated mesoderm is required for neural crest induction in Xenopus embryos.
1998,
Pubmed
,
Xenbase Campbell,
Genomic structure of TBX2 indicates conservation with distantly related T-box genes.
1998,
Pubmed Chapman,
Tbx6, a mouse T-Box gene implicated in paraxial mesoderm formation at gastrulation.
1996,
Pubmed Chapman,
Critical role for Tbx6 in mesoderm specification in the mouse embryo.
2003,
Pubmed Chapman,
Three neural tubes in mouse embryos with mutations in the T-box gene Tbx6.
1998,
Pubmed Conlon,
Determinants of T box protein specificity.
2001,
Pubmed
,
Xenbase Cunliffe,
Ectopic mesoderm formation in Xenopus embryos caused by widespread expression of a Brachyury homologue.
1992,
Pubmed
,
Xenbase Eisen,
Controlling morpholino experiments: don't stop making antisense.
2008,
Pubmed
,
Xenbase Evans,
A mitochondrial DNA phylogeny of African clawed frogs: phylogeography and implications for polyploid evolution.
2004,
Pubmed
,
Xenbase Fang,
Multiple signaling pathways control Tbx6 expression during Xenopus myogenesis.
2004,
Pubmed
,
Xenbase Fletcher,
FGF8 spliceforms mediate early mesoderm and posterior neural tissue formation in Xenopus.
2006,
Pubmed
,
Xenbase Force,
Preservation of duplicate genes by complementary, degenerative mutations.
1999,
Pubmed Guindon,
A simple, fast, and accurate algorithm to estimate large phylogenies by maximum likelihood.
2003,
Pubmed Hall,
The neural crest as a fourth germ layer and vertebrates as quadroblastic not triploblastic.
2000,
Pubmed Hayata,
Expression of Brachyury-like T-box transcription factor, Xbra3 in Xenopus embryo.
1999,
Pubmed
,
Xenbase Holland,
Conservation of Brachyury (T) genes in amphioxus and vertebrates: developmental and evolutionary implications.
1995,
Pubmed Hong,
The activity of Pax3 and Zic1 regulates three distinct cell fates at the neural plate border.
2007,
Pubmed
,
Xenbase Hong,
Fgf8a induces neural crest indirectly through the activation of Wnt8 in the paraxial mesoderm.
2008,
Pubmed
,
Xenbase Kispert,
The Brachyury gene encodes a novel DNA binding protein.
1993,
Pubmed
,
Xenbase Lardelli,
The evolutionary relationships of zebrafish genes tbx6, tbx16/spadetail and mga.
2003,
Pubmed Larroux,
Genesis and expansion of metazoan transcription factor gene classes.
2008,
Pubmed Lewis,
Evidence for the widespread coupling of alternative splicing and nonsense-mediated mRNA decay in humans.
2003,
Pubmed Li,
FGF8, Wnt8 and Myf5 are target genes of Tbx6 during anteroposterior specification in Xenopus embryo.
2006,
Pubmed
,
Xenbase Lustig,
Expression cloning of a Xenopus T-related gene (Xombi) involved in mesodermal patterning and blastopore lip formation.
1996,
Pubmed
,
Xenbase Marcellini,
Evolution of Brachyury proteins: identification of a novel regulatory domain conserved within Bilateria.
2003,
Pubmed
,
Xenbase Martin,
Regulation of canonical Wnt signaling by Brachyury is essential for posterior mesoderm formation.
2008,
Pubmed Mauch,
Signals from trunk paraxial mesoderm induce pronephros formation in chick intermediate mesoderm.
2000,
Pubmed McEwen,
Ancient duplicated conserved noncoding elements in vertebrates: a genomic and functional analysis.
2006,
Pubmed Messenger,
Functional specificity of the Xenopus T-domain protein Brachyury is conferred by its ability to interact with Smad1.
2005,
Pubmed
,
Xenbase Monsoro-Burq,
Neural crest induction by paraxial mesoderm in Xenopus embryos requires FGF signals.
2003,
Pubmed
,
Xenbase Monsoro-Burq,
Msx1 and Pax3 cooperate to mediate FGF8 and WNT signals during Xenopus neural crest induction.
2005,
Pubmed
,
Xenbase Naiche,
T-box genes in vertebrate development.
2005,
Pubmed Pflugfelder,
A homology domain shared between Drosophila optomotor-blind and mouse Brachyury is involved in DNA binding.
1992,
Pubmed Phillips,
A direct role for Fgf but not Wnt in otic placode induction.
2004,
Pubmed Piotrowski,
The zebrafish van gogh mutation disrupts tbx1, which is involved in the DiGeorge deletion syndrome in humans.
2003,
Pubmed Postlethwait,
Subfunction partitioning, the teleost radiation and the annotation of the human genome.
2004,
Pubmed Rao,
Conversion of a mesodermalizing molecule, the Xenopus Brachyury gene, into a neuralizing factor.
1994,
Pubmed
,
Xenbase Reim,
The T-box-encoding Dorsocross genes function in amnioserosa development and the patterning of the dorsolateral germ band downstream of Dpp.
2003,
Pubmed Ryan,
Eomesodermin, a key early gene in Xenopus mesoderm differentiation.
1996,
Pubmed
,
Xenbase Smith,
Expression of a Xenopus homolog of Brachyury (T) is an immediate-early response to mesoderm induction.
1991,
Pubmed
,
Xenbase Stennard,
Differential expression of VegT and Antipodean protein isoforms in Xenopus.
1999,
Pubmed
,
Xenbase Strong,
Xbra3 induces mesoderm and neural tissue in Xenopus laevis.
2000,
Pubmed
,
Xenbase Takahashi,
Both the functional specificity and autoregulative activity of two ascidian T-box genes HrBra and HrTbx6 are likely to be mediated by the DNA-binding domain.
2005,
Pubmed Tazumi,
PMesogenin1 and 2 function directly downstream of Xtbx6 in Xenopus somitogenesis and myogenesis.
2008,
Pubmed
,
Xenbase Turner,
Expression of achaete-scute homolog 3 in Xenopus embryos converts ectodermal cells to a neural fate.
1994,
Pubmed
,
Xenbase Uchiyama,
Cloning and characterization of the T-box gene Tbx6 in Xenopus laevis.
2001,
Pubmed
,
Xenbase Urban,
FGF is essential for both condensation and mesenchymal-epithelial transition stages of pronephric kidney tubule development.
2006,
Pubmed
,
Xenbase Wattler,
A combined analysis of genomic and primary protein structure defines the phylogenetic relationship of new members if the T-box family.
1998,
Pubmed Yabe,
Xtbx6r, a novel T-box gene expressed in the paraxial mesoderm, has anterior neural-inducing activity.
2006,
Pubmed
,
Xenbase Yamada,
Surprisingly complex T-box gene complement in diploblastic metazoans.
2007,
Pubmed Zhang,
Xenopus VegT RNA is localized to the vegetal cortex during oogenesis and encodes a novel T-box transcription factor involved in mesodermal patterning.
1996,
Pubmed
,
Xenbase