Click here to close
Hello! We notice that you are using Internet Explorer, which is not supported by Xenbase and may cause the site to display incorrectly.
We suggest using a current version of Chrome,
FireFox, or Safari.
Gen Comp Endocrinol
2010 Aug 01;1681:149-59. doi: 10.1016/j.ygcen.2010.04.015.
Show Gene links
Show Anatomy links
Characterization of thyroid hormone transporter expression during tissue-specific metamorphic events in Xenopus tropicalis.
Connors KA, Korte JJ, Anderson GW, Degitz SJ.
???displayArticle.abstract??? Thyroid hormone (TH) induces the dramatic morphological and physiological changes that together comprise amphibian metamorphosis. TH-responsive tissues vary widely with developmental timing of TH-induced changes. How larval tadpole tissues are able to employ distinct metamorphic programs in a developmental stage- and TH-dependent manner is still unknown. Recently, several proteins capable of transporting TH have been identified. TH action and metabolism occurs primarily intracellularly, highlighting the importance of TH transporters. We examined the hypothesis that TH transporter expression and tissue distribution play an important role in mediating TH-induced metamorphic events. Xenopus tropicalis homologs for known TH transporting OATP, MCT and LAT family proteins were identified and gene specific qRT-PCR primers were developed. Total RNA was extracted from tissues representing three unique developmental fates including: growth/differentiation (hind limb), death/resorption (gill, tail) and remodeling (brain, liver, kidney). For growing and resorbing tissues, results showed the general trend of low initial expression levels of MCT8 and MCT10 transporters, followed by a several-fold increase of expression as the tissue undergoes TH-dependent metamorphic changes. The expression pattern in remodeling tissues was less uniform: a general decrease in transporter expression was observed in the liver, while the kidney and brain exhibited a range of expression patterns for several TH transporters. Collectively, these developmental expression patterns are consistent with TH transporting proteins playing a role in the effects of TH in peripheral tissues.
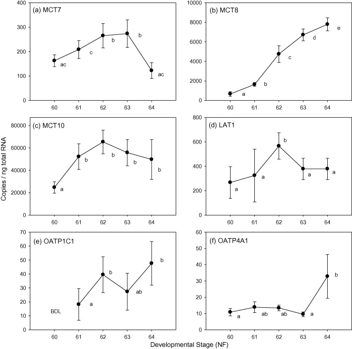
Fig. 1.
Survey of TH transporter expression in the metamorphosing Xenopus tropicalis hind limb. Gene expression was quantified using qRT-PCR and normalized to ng of total RNA. Values are reported as mean ± SD with a sample size of n = 5, unless otherwise noted (n). Letters differentiate expression levels that are significantly different (p < 0.05). Results of OATP4A1 were not shown do to its stable expression (see text). BDL; below detection limit.
Fig. 2.
Survey of TH transporter expression in the metamorphosing Xenopus tropicalis kidney. Gene expression was quantified using qRT-PCR and normalized to ng of total RNA. Values are reported as mean ± SD with a sample size of n = 5, unless otherwise noted (n). Letters differentiate expression levels that are significantly different (p < 0.05). Results of OATP4A1 were not shown do to its stable expression (see text). Transporters OATP1C1 and OATP1B3 were expressed at or below limit of detection.
Fig. 3.
Survey of TH transporter expression in the metamorphosing Xenopus tropicalis liver. Gene expression was quantified using qRT-PCR and normalized to ng of total RNA. Values are reported as mean ± SD with a sample size of n = 5, unless otherwise noted (n). Letters differentiate expression levels that are significantly different (p < 0.05). Transporters OATP4C1, OATP1C1 and OATP1B3 were expressed at or below limit of detection. BDL; below detection limit.
Fig. 4.
Survey of TH transporter expression in the metamorphosing Xenopus tropicalis brain. Gene expression was quantified using qRT-PCR and normalized to ng of total RNA. Values are reported as mean ± SD with a sample size of n = 5. Letters differentiate expression levels that are significantly different (p < 0.05). Results of MCT7, MCT10, LAT1, OATP4A1 and OATP1B3 were not shown do to their stable expression (see text). Transporter OATP4C1 was expressed at or below limit of detection.
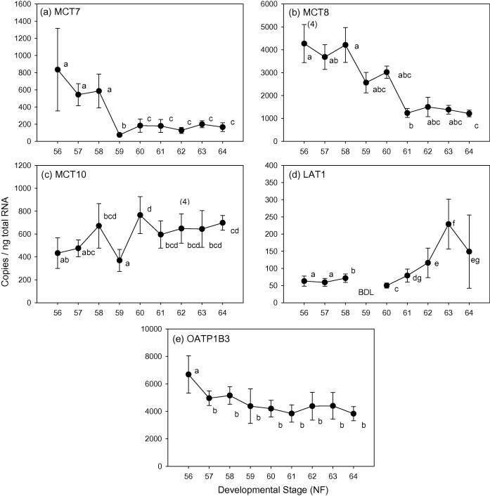
Fig. 5.
Survey of TH transporter expression in the metamorphosing Xenopus tropicalis gill. Gene expression of MCT7, MCT8, MCT10, LAT1, OATP1C1 and OATP4A1 were quantified using qRT-PCR and normalized to ng of total RNA. Values are reported as mean ± SD with a sample size of n = 5, unless otherwise noted (n). Letters differentiate expression levels that are significantly different (p < 0.05).
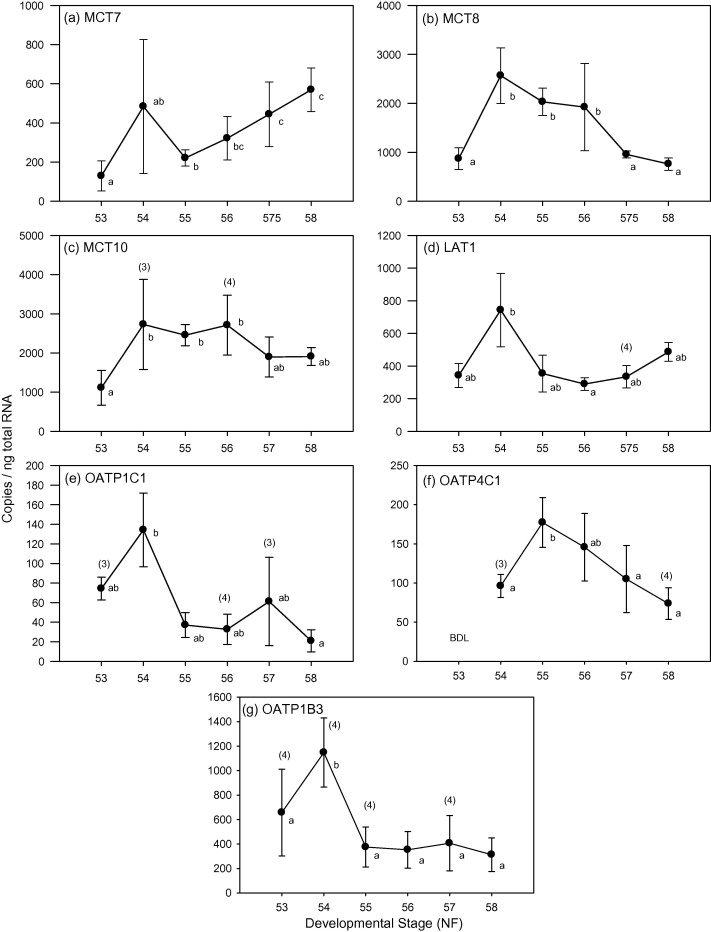
Fig. 6.
Survey of TH transporter expression in the metamorphosing Xenopus tropicalis tail. Gene expression was quantified using qRT-PCR and normalized to ng of total RNA. Values are reported as mean ± SD with a sample size of n = 5. Letters differentiate expression levels that are significantly different (p < 0.05). Results of OATP4C1 were not shown do to its stable expression (see text). Transporter OATP1B3 was expressed at or below limit of detection. BDL; below detection limit.