XB-ART-41619
Mar Drugs
2010 Mar 16;83:658-77. doi: 10.3390/md8030658.
Show Gene links
Show Anatomy links
Targets and effects of yessotoxin, okadaic acid and palytoxin: a differential review.
Franchini A, Malagoli D, Ottaviani E.
???displayArticle.abstract???
In this review, we focus on processes, organs and systems targeted by the marine toxins yessotoxin (YTX), okadaic acid (OA) and palytoxin (PTX). The effects of YTX and their basis are analyzed from data collected in the mollusc Mytilus galloprovincialis, the annelid Enchytraeus crypticus, Swiss CD1 mice and invertebrate and vertebrate cell cultures. OA and PTX, two toxins with a better established mode of action, are analyzed with regard to their effects on development. The amphibian Xenopus laevis is used as a model, and the Frog Embryo Teratogenesis Assay-Xenopus (FETAX) as the experimental protocol.
???displayArticle.pubmedLink??? 20411120
???displayArticle.pmcLink??? PMC2857362
???displayArticle.link??? Mar Drugs
Species referenced: Xenopus laevis
Genes referenced: actl6a bmp4 calb1 il6 krt12.4 myf5
???attribute.lit??? ???displayArticles.show???
References [+] :
Aasen,
Yessotoxins in Norwegian blue mussels (Mytilus edulis): uptake from Protoceratium reticulatum, metabolism and depuration.
2005, Pubmed
Aasen, Yessotoxins in Norwegian blue mussels (Mytilus edulis): uptake from Protoceratium reticulatum, metabolism and depuration. 2005, Pubmed
Ade, [Risk to human health associated with marine toxic algae]. 2003, Pubmed
Alfonso, Yessotoxin, a novel phycotoxin, activates phosphodiesterase activity. Effect of yessotoxin on cAMP levels in human lymphocytes. 2003, Pubmed
Amzil, First report on azaspiracid and yessotoxin groups detection in French shellfish. 2008, Pubmed
Aune, Effect of mouse strain and gender on LD(50) of yessotoxin. 2008, Pubmed
Aune, Comparison of oral and intraperitoneal toxicity of yessotoxin towards mice. 2002, Pubmed
Berven, Effects of the diarrhetic shellfish toxin, okadaic acid, on cytoskeletal elements, viability and functionality of rat liver and intestinal cells. 2001, Pubmed
Bialojan, Inhibitory effect of a marine-sponge toxin, okadaic acid, on protein phosphatases. Specificity and kinetics. 1988, Pubmed
Bianchi, Yessotoxin, a shellfish biotoxin, is a potent inducer of the permeability transition in isolated mitochondria and intact cells. 2004, Pubmed
Borello, The Wnt/beta-catenin pathway regulates Gli-mediated Myf5 expression during somitogenesis. 2006, Pubmed
Brannon, Activation of Siamois by the Wnt pathway. 1996, Pubmed , Xenbase
Cancio, Lysosomal origin of the chloragosomes in the chloragogenous tissue of the earthworm Eisenia foetida: cytochemical demonstration of acid phosphatase activity. 1995, Pubmed
Casarini, Evaluation of the effects of the marine toxin okadaic acid by using FETAX assay. 2007, Pubmed , Xenbase
Chanoine, Xenopus muscle development: from primary to secondary myogenesis. 2003, Pubmed , Xenbase
Dale, A gradient of BMP activity specifies dorsal-ventral fates in early Xenopus embryos. 1999, Pubmed , Xenbase
Deeds, Human risk associated with palytoxin exposure. 2010, Pubmed
de la Rosa, Modulation of cytosolic calcium levels of human lymphocytes by yessotoxin, a novel marine phycotoxin. 2001, Pubmed
Didden, Enchytraeids as indicator organisms for chemical stress in terrestrial ecosystems. 2001, Pubmed
Dounay, Okadaic acid: the archetypal serine/threonine protein phosphatase inhibitor. 2002, Pubmed
Draisci, High levels of yessotoxin in mussels and presence of yessotoxin and homoyessotoxin in dinoflagellates of the Adriatic Sea. 1999, Pubmed
Edebo, Toxic mussels and okadaic acid induce rapid hypersecretion in the rat small intestine. 1988, Pubmed
Fernández, The marine toxin okadaic acid is a potent neurotoxin for cultured cerebellar neurons. 1991, Pubmed
Flewelling, Brevetoxicosis: red tides and marine mammal mortalities. 2005, Pubmed
Franchini, Lethal and sub-lethal yessotoxin dose-induced morpho-functional alterations in intraperitoneal injected Swiss CD1 mice. 2004, Pubmed
Franchini, Immunolocalization of yessotoxins in the mussel Mytilus galloprovincialis. 2003, Pubmed
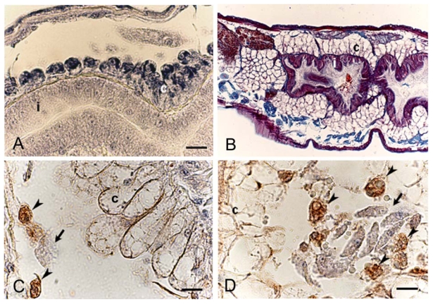
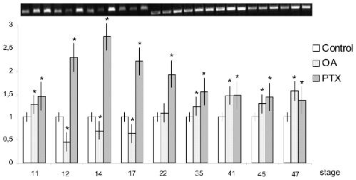
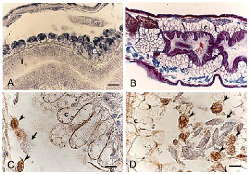
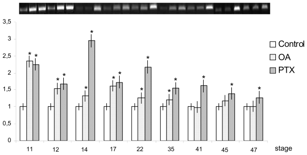
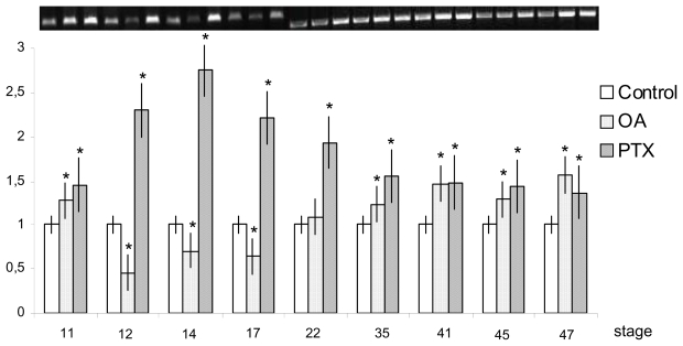
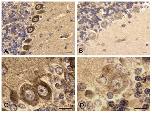
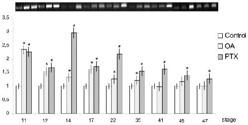
Franchini, Expression of the genes siamois, engrailed-2, bmp4 and myf5 during Xenopus development in presence of the marine toxins okadaic acid and palytoxin. 2009, Pubmed , Xenbase
Franchini, Age-related toxic effects and recovery from okadaic acid treatment in Enchytraeus crypticus (Annelida: Oligochaeta). 2008, Pubmed
Franchini, Toxicological effects of marine palytoxin evaluated by FETAX assay. 2008, Pubmed , Xenbase
Franchini, Acute toxic effect of the algal yessotoxin on Purkinje cells from the cerebellum of Swiss CD1 mice. 2004, Pubmed
Franchinia, Swiss mice CD1 fed on mussels contaminated by okadaic acid and yessotoxins: effects on thymus and spleen. 2005, Pubmed
Fujiki, Tumor promotion by inhibitors of protein phosphatases 1 and 2A: the okadaic acid class of compounds. 1993, Pubmed
Fujiki, Unique features of the okadaic acid activity class of tumor promoters. 1999, Pubmed
Fujiki, Carcinogenic aspects of protein phosphatase 1 and 2A inhibitors. 2009, Pubmed
Fukai, Cytokeratins in normal thymus and thymic epithelial tumors. 1993, Pubmed
Garber, Low levels of sodium and potassium in the water from wetlands in Minnesota that contained malformed frogs affect the rate of Xenopus development. 2004, Pubmed , Xenbase
Gleibs, Distribution and sequestration of palytoxin in coral reef animals. 1999, Pubmed
Hemmati-Brivanlou, Cephalic expression and molecular characterization of Xenopus En-2. 1991, Pubmed , Xenbase
Ishibashi, Expression of Siamois and Twin in the blastula Chordin/Noggin signaling center is required for brain formation in Xenopus laevis embryos. 2008, Pubmed , Xenbase
Ito, Investigation of the distribution and excretion of okadaic acid in mice using immunostaining method. 2002, Pubmed
Ito, Injury and recovery process of intestine caused by okadaic acid and related compounds. 1994, Pubmed
Kodama, Clinical and laboratory findings implicating palytoxin as cause of ciguatera poisoning due to Decapterus macrosoma (mackerel). 1989, Pubmed
Korsnes, Apoptotic events induced by yessotoxin in myoblast cell lines from rat and mouse. 2006, Pubmed
Kuo, Cytokeratin profiles of the thymus and thymomas: histogenetic correlations and proposal for a histological classification of thymomas. 2000, Pubmed
Leira, Characterization of distinct apoptotic changes induced by okadaic acid and yessotoxin in the BE(2)-M17 neuroblastoma cell line. 2002, Pubmed
Louzao, Marine toxins and the cytoskeleton: a new view of palytoxin toxicity. 2008, Pubmed
Malagoli, Effects of the marine toxins okadaic acid and palytoxin on mussel phagocytosis. 2008, Pubmed
Malagoli, Algal toxin yessotoxin signalling pathways involve immunocyte mussel calcium channels. 2006, Pubmed
Malagoli, Lysosomes as the target of yessotoxin in invertebrate and vertebrate cell lines. 2006, Pubmed
Malagoli, Yessotoxin affects fMLP-induced cell shape changes inMytilus galloprovincialis immunocytes. 2004, Pubmed
Malagoli, Effects of 50-Hz magnetic fields on the signalling pathways of fMLP-induced shape changes in invertebrate immunocytes: the activation of an alternative "stress pathway". 2003, Pubmed
Malagoli, Cell death in the IPLB-LdFB insect cell line: facts and implications. 2008, Pubmed
Malaguti, Caspase activation and death induced by yessotoxin in HeLa cells. 2002, Pubmed
Mann, Application of the FETAX protocol to assess the developmental toxicity of nonylphenol ethoxylate to Xenopus laevis and two Australian frogs. 2000, Pubmed , Xenbase
McGrew, Direct regulation of the Xenopus engrailed-2 promoter by the Wnt signaling pathway, and a molecular screen for Wnt-responsive genes, confirm a role for Wnt signaling during neural patterning in Xenopus. 1999, Pubmed , Xenbase
Moore, Palytoxin: a new marine toxin from a coelenterate. 1971, Pubmed
Morton, Identification of yessotoxin in mussels from the Caucasian Black Sea Coast of the Russian Federation. 2007, Pubmed
Ogino, Toxicologic evaluation of yessotoxin. 1997, Pubmed
Okano, Rhabdomyolysis and myocardial damage induced by palytoxin, a toxin of blue humphead parrotfish. 1998, Pubmed
Orsi, Yessotoxin inhibits phagocytic activity of macrophages. 2010, Pubmed
Pérez-Gómez, Potent neurotoxic action of the shellfish biotoxin yessotoxin on cultured cerebellar neurons. 2006, Pubmed
Prati, Ecotoxicological soil evaluation by FETAX. 2000, Pubmed , Xenbase
Ring, Thymoma: an integrated clinicopathological and immunohistochemical study. 1986, Pubmed
Rossini, The toxic responses induced by okadaic acid involve processing of multiple caspase isoforms. 2001, Pubmed
Scholin, Mortality of sea lions along the central California coast linked to a toxic diatom bloom. 2000, Pubmed
Sosa, Palytoxin toxicity after acute oral administration in mice. 2009, Pubmed
Taniyama, Occurrence of a food poisoning incident by palytoxin from a serranid Epinephelus sp. in Japan. 2002, Pubmed
Terao, Histopathological studies on experimental marine toxin poisoning--5. The effects in mice of yessotoxin isolated from Patinopecten yessoensis and of a desulfated derivative. 1990, Pubmed
Tubaro, Yessotoxins: a toxicological overview. 2010, Pubmed
Tubaro, Oral and intraperitoneal acute toxicity studies of yessotoxin and homoyessotoxins in mice. 2003, Pubmed
Vale, Mitogen-activated protein kinases regulate palytoxin-induced calcium influx and cytotoxicity in cultured neurons. 2007, Pubmed
Vale, Modulation of calcium entry and glutamate release in cultured cerebellar granule cells by palytoxin. 2006, Pubmed
Vale, Marine toxins and the cytoskeleton: okadaic acid and dinophysistoxins. 2008, Pubmed
Wang, Neurotoxins from marine dinoflagellates: a brief review. 2008, Pubmed
Wattenberg, Palytoxin: exploiting a novel skin tumor promoter to explore signal transduction and carcinogenesis. 2007, Pubmed
Wolf, A behavioral study of the development of hereditary cerebellar ataxia in the shaker rat mutant. 1996, Pubmed
