Click here to close
Hello! We notice that you are using Internet Explorer, which is not supported by Xenbase and may cause the site to display incorrectly.
We suggest using a current version of Chrome,
FireFox, or Safari.
???displayArticle.abstract???
Mutations in the zinc finger transcription factor ZIC3 cause X-linked heterotaxy and have also been identified in patients with isolated congenital heart disease (CHD). To determine the relative contribution of ZIC3 mutations to both heterotaxy and isolated CHD, we screened the coding region of ZIC3 in 194 unrelated patients, including 61 patients with classic heterotaxy, 93 patients with heart defects characteristic of heterotaxy, and 11 patients with situs inversus totalis. Five novel ZIC3 mutations in three classic heterotaxy kindreds and two sporadic CHD cases were identified. None of these alleles was found in 97 ethnically matched control samples. On the basis of these analyses, we conclude that the phenotypic spectrum of ZIC3 mutations should be expanded to include affected females and CHD not typical for heterotaxy. This screening of a cohort of patients with sporadic heterotaxy indicates that ZIC3 mutations account for approximately 1% of affected individuals. Missense and nonsense mutations were found in the highly conserved zinc finger-binding domain and in the N-terminal protein domain. Functional analysis of all currently known ZIC3 point mutations indicates that mutations in the putative zinc finger DNA binding domain and in the N-terminal domain result in loss of reporter gene transactivation. It is surprising that transfection studies demonstrate aberrant cytoplasmic localization resulting from mutations between amino acids 253-323 of the ZIC3 protein, indicating that the pathogenesis of a subset of ZIC3 mutations results at least in part from failure of appropriate nuclear localization. These results further expand the phenotypic and genotypic spectrum of ZIC3 mutations and provide initial mechanistic insight into their functional consequences.
Figure 1. Conservation of ZIC3 sequence and location of all known mutations. The five C2H2 zinc finger domains are shaded. The amino acid position for each mutation is boxed. Symbols above each box signify the type of mutation: circle (•) = missense; star (★) = nonsense; downward arrowhead (▾) = insertion.
Figure 2. ZIC3 mutations in familial heterotaxy. Sequence traces for the hemizygous proband are shown below each pedigree. Sequences shown for LAT 129 and LAT 138 represent the reverse complement. The phenotypes of affected individuals for whom data are available are shown in table 3.
Figure 3. ZIC3 mutations alter transactivation of an SV40 luciferase reporter gene. The luciferase activity of an SV40-luciferase construct cotransfected with HA-ZIC3 wild-type (WT) or mutant constructs is indicated. The specific HA-ZIC3 construct used for cotransfection is shown below each bar. Luciferase activities were measured relative to a promoterless control plasmid and the mean fold-activation as compared with that of the wild type is expressed as a percentage. Each bar represents a minimum of four separate experiments. Vertical lines indicate the standard deviation for each set of experiments.
Figure 4. Immunofluorescent subcellular localization of ZIC3. For each construct, anti-HA (panels A, D, G, J, and M) and DAPI (panels B, E, H, K, and N) staining are shown individually and merged (panels C, F, I, L, and O). The wild-type construct is located in the nucleus (panels A–C); the missense mutation construct P217A is primarily nuclear (panels D–F), whereas H286R is located in the cytoplasm (panels G–I). T323M (panels J–L) and K408X (panels M–O) show evidence of cytoplasmic stippling.
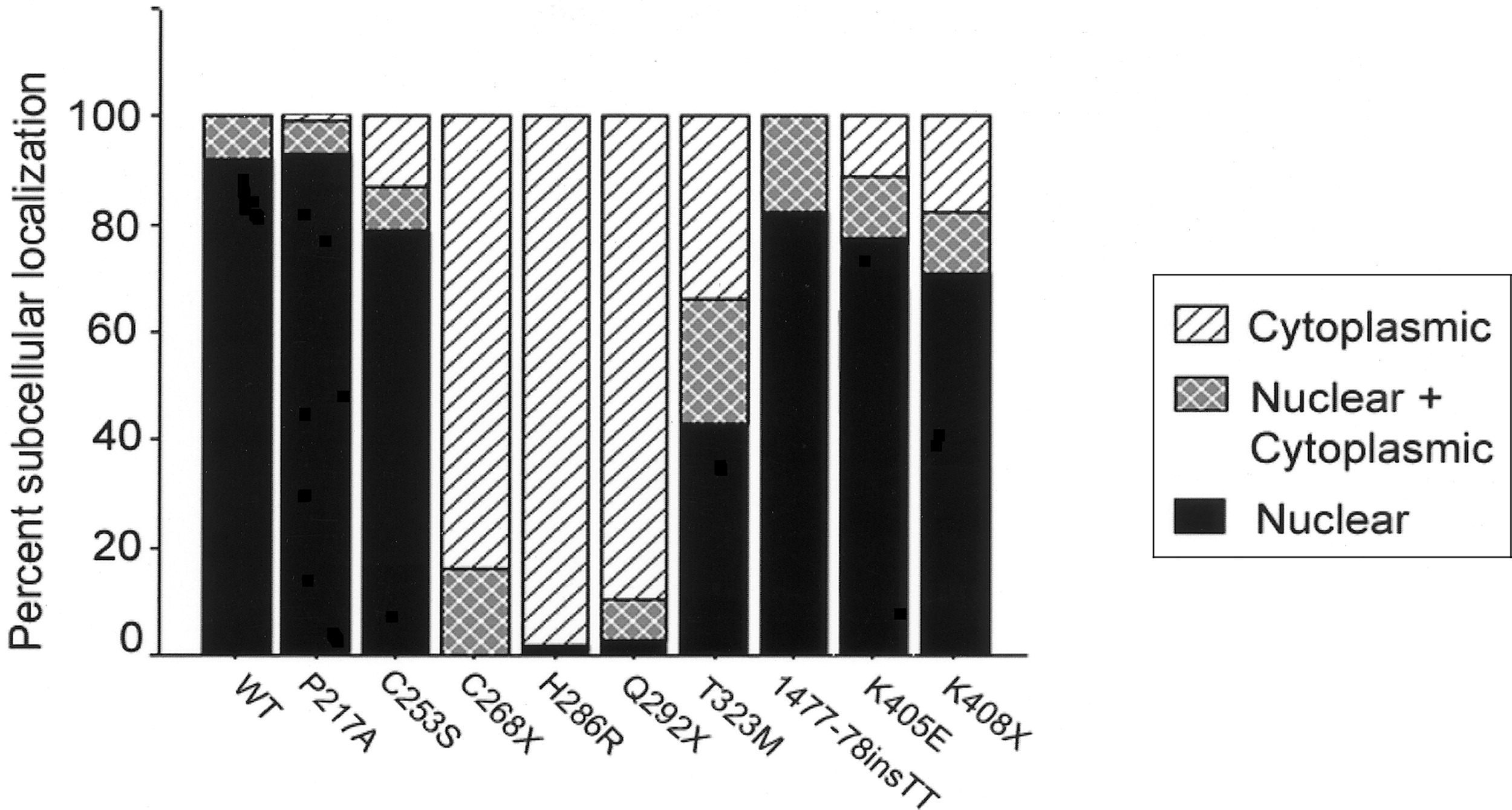
Figure 5. Mutations in ZIC3 alter subcellular localization. The subcellular localization of anti-HA staining is shown graphically for each construct. Nuclear, nuclear and cytoplasmic, and cytoplasmic staining are indicated as percentages.
Aylsworth,
Clinical aspects of defects in the determination of laterality.
2001, Pubmed
Aylsworth,
Clinical aspects of defects in the determination of laterality.
2001,
Pubmed Bamford,
Loss-of-function mutations in the EGF-CFC gene CFC1 are associated with human left-right laterality defects.
2000,
Pubmed Bisgrove,
Genetics of human laterality disorders: insights from vertebrate model systems.
2003,
Pubmed Burdine,
Conserved and divergent mechanisms in left-right axis formation.
2000,
Pubmed Casey,
Mapping a gene for familial situs abnormalities to human chromosome Xq24-q27.1.
1993,
Pubmed Ferrero,
A submicroscopic deletion in Xq26 associated with familial situs ambiguus.
1997,
Pubmed Gebbia,
X-linked situs abnormalities result from mutations in ZIC3.
1997,
Pubmed Goldmuntz,
CFC1 mutations in patients with transposition of the great arteries and double-outlet right ventricle.
2002,
Pubmed Hamada,
Establishment of vertebrate left-right asymmetry.
2002,
Pubmed Kitaguchi,
Zic3 is involved in the left-right specification of the Xenopus embryo.
2000,
Pubmed
,
Xenbase Kosaki,
Left-right axis malformations associated with mutations in ACVR2B, the gene for human activin receptor type IIB.
1999,
Pubmed
,
Xenbase Kosaki,
Characterization and mutation analysis of human LEFTY A and LEFTY B, homologues of murine genes implicated in left-right axis development.
1999,
Pubmed Koyabu,
Physical and functional interactions between Zic and Gli proteins.
2001,
Pubmed Lin,
Heterotaxy: associated conditions and hospital-based prevalence in newborns.
2000,
Pubmed Mégarbané,
X-linked transposition of the great arteries and incomplete penetrance among males with a nonsense mutation in ZIC3.
2000,
Pubmed Mercola,
Left-right asymmetry determination in vertebrates.
2001,
Pubmed Mercola,
Embryological basis for cardiac left-right asymmetry.
1999,
Pubmed
,
Xenbase Mizugishi,
Molecular properties of Zic proteins as transcriptional regulators and their relationship to GLI proteins.
2001,
Pubmed
,
Xenbase Peoples,
Polysplenia: a review of 146 cases.
1983,
Pubmed Phoon,
Asplenia syndrome: insight into embryology through an analysis of cardiac and extracardiac anomalies.
1994,
Pubmed Purandare,
A complex syndrome of left-right axis, central nervous system and axial skeleton defects in Zic3 mutant mice.
2002,
Pubmed Robinson,
Missense mutations in CRELD1 are associated with cardiac atrioventricular septal defects.
2003,
Pubmed Ticho,
Extracardiac anomalies in the heterotaxy syndromes with focus on anomalies of midline-associated structures.
2000,
Pubmed Uemura,
Analysis of visceral heterotaxy according to splenic status, appendage morphology, or both.
1995,
Pubmed Watanabe,
Two novel frameshift mutations in NKX2.5 result in novel features including visceral inversus and sinus venosus type ASD.
2002,
Pubmed
,
Xenbase