Click here to close
Hello! We notice that you are using Internet Explorer, which is not supported by Xenbase and may cause the site to display incorrectly.
We suggest using a current version of Chrome,
FireFox, or Safari.
???displayArticle.abstract???
Circadian rhythms regulate many physiological, behavioral and reproductive processes. These rhythms are often controlled by light, and daily cycles of solar illumination entrain many clock regulated processes. In scleractinian corals a number of different processes and behaviors are associated with specific periods of solar illumination or non-illumination-for example, skeletal deposition, feeding and both brooding and broadcast spawning.We have undertaken an analysis of diurnal expression of the whole transcriptome and more focused studies on a number of candidate circadian genes in the coral Acropora millepora using deep RNA sequencing and quantitative PCR. Many examples of diurnal cycles of RNA abundance were identified, some of which are light responsive and damped quickly under constant darkness, for example, cryptochrome 1 and timeless, but others that continue to cycle in a robust manner when kept in constant darkness, for example, clock, cryptochrome 2, cycle and eyes absent, indicating that their transcription is regulated by an endogenous clock entrained to the light-dark cycle. Many other biological processes that varied between day and night were also identified by a clustering analysis of gene ontology annotations.Corals exhibit diurnal patterns of gene expression that may participate in the regulation of circadian biological processes. Rhythmic cycles of gene expression occur under constant darkness in both populations of coral larvae that lack zooxanthellae and in individual adult tissue containing zooxanthellae, indicating that transcription is under the control of a biological clock. In addition to genes potentially involved in regulating circadian processes, many other pathways were found to display diel cycles of transcription.
???displayArticle.pubmedLink???
21949855 ???displayArticle.pmcLink???PMC3176305 ???displayArticle.link???PLoS One
Figure 1. Solexa sequencing data processing pipeline.Detailed steps involved in Solexa deep sequencing of coral larvae samples for both day and night (12 hour difference). Preparation of cDNA library, sequencing and generation of output were performed by the BC Genome Sciences Centre, while all other components were performed by authors.
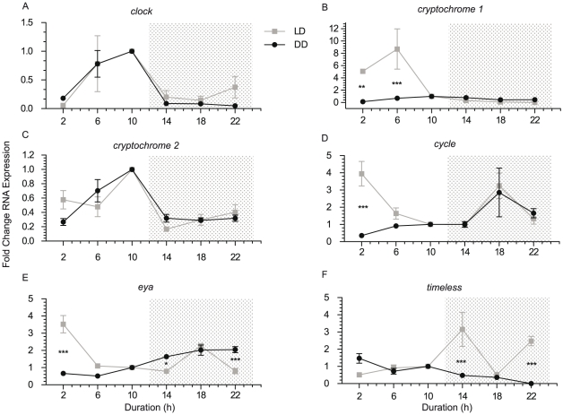
Figure 2. QPCR analysis of candidate circadian gene expression in larvae.Larvae were exposed to either a 12∶12 LD treatment or 12∶12 DD treatment for 24 hours, and were analyzed with QPCR for rhythmicity in candidate circadian genes (a. clock, b. cryptochrome 1, c. cryptochrome 2, d. cycle, e. eyes absent, f. timeless). Relative fold changes (mean ± SEM of triplicate QPCR reactions) in RNA expression levels are presented based on QPCR analysis of the 2009 larval sample. Shaded areas represent periods of darkness, with the exception of DD samples, which were darkened for 24 hours. Bonferroni post-tests were performed to confirm statistical significant differences at each time point. * represents P<0.05, ** represents P<0.01, and *** represents P<0.001.
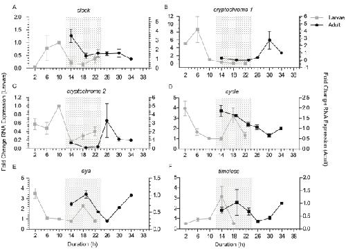
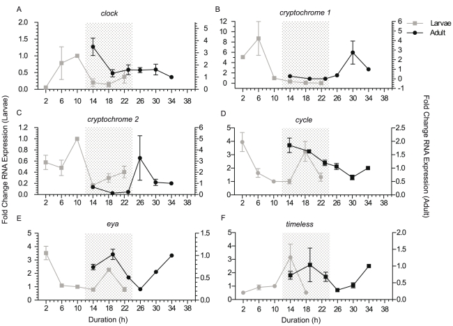
Figure 3. Comparison of larvae and adult diurnal gene expression. QPCR analysis of candidate circadian gene expression in larvae.Larvae and adult tissues were compared using QPCR, to determine similar patterns of gene expression over a 12∶12 LD treatment (a. clock, b. cryptochrome 1, c. cryptochrome 2, d. cycle, e. eyes absent, f. timeless). Relative fold changes in RNA expression levels (mean ± SEM of triplicate QPCR reactions) are presented for both 2009 larvae (primary y-axis) and adult tissue (secondary y-axis). Shaded areas represent the 12 hours of darkness for larvae (12∶12 LD) and 11 hours of darkness for adult tissue (13∶11 LD).
Anctil,
Sequence and expression of four coral G protein-coupled receptors distinct from all classifiable members of the rhodopsin family.
2007, Pubmed
Anctil,
Sequence and expression of four coral G protein-coupled receptors distinct from all classifiable members of the rhodopsin family.
2007,
Pubmed Antle,
Neural basis of timing and anticipatory behaviors.
2009,
Pubmed Bae,
Circadian regulation of a Drosophila homolog of the mammalian Clock gene: PER and TIM function as positive regulators.
1998,
Pubmed Blau,
Cycling vrille expression is required for a functional Drosophila clock.
1999,
Pubmed Dardente,
A molecular switch for photoperiod responsiveness in mammals.
2010,
Pubmed Dibner,
The mammalian circadian timing system: organization and coordination of central and peripheral clocks.
2010,
Pubmed Grima,
The F-box protein slimb controls the levels of clock proteins period and timeless.
2002,
Pubmed Hoadley,
Circadian clock gene expression in the coral Favia fragum over diel and lunar reproductive cycles.
2011,
Pubmed Levy,
Complex diel cycles of gene expression in coral-algal symbiosis.
2011,
Pubmed Levy,
Light-responsive cryptochromes from a simple multicellular animal, the coral Acropora millepora.
2007,
Pubmed Livak,
Analysis of relative gene expression data using real-time quantitative PCR and the 2(-Delta Delta C(T)) Method.
2001,
Pubmed Masumoto,
Acute induction of Eya3 by late-night light stimulation triggers TSHβ expression in photoperiodism.
2010,
Pubmed Meyer,
Sequencing and de novo analysis of a coral larval transcriptome using 454 GSFlx.
2009,
Pubmed Mistlberger,
Food-anticipatory circadian rhythms: concepts and methods.
2009,
Pubmed Mootha,
PGC-1alpha-responsive genes involved in oxidative phosphorylation are coordinately downregulated in human diabetes.
2003,
Pubmed Reitzel,
Light entrained rhythmic gene expression in the sea anemone Nematostella vectensis: the evolution of the animal circadian clock.
2010,
Pubmed Rozen,
Primer3 on the WWW for general users and for biologist programmers.
2000,
Pubmed Sehgal,
Rhythmic expression of timeless: a basis for promoting circadian cycles in period gene autoregulation.
1995,
Pubmed Subramanian,
Gene set enrichment analysis: a knowledge-based approach for interpreting genome-wide expression profiles.
2005,
Pubmed Sweeney,
Circadian rhythms in corals, particularly fungiidae.
1976,
Pubmed Tamai,
Time-of-day-dependent enhancement of adult neurogenesis in the hippocampus.
2008,
Pubmed Taylor,
Transcriptional regulation by a circadian rhythm.
1989,
Pubmed Toyama,
Transcriptome analysis of the zebrafish pineal gland.
2009,
Pubmed Urban,
FGF is essential for both condensation and mesenchymal-epithelial transition stages of pronephric kidney tubule development.
2006,
Pubmed
,
Xenbase Van Gelder,
Tales from the crypt(ochromes).
2002,
Pubmed Vize,
Transcriptome analysis of the circadian regulatory network in the coral Acropora millepora.
2009,
Pubmed
,
Xenbase Zhang,
A greedy algorithm for aligning DNA sequences.
2000,
Pubmed