Click here to close
Hello! We notice that you are using Internet Explorer, which is not supported by Xenbase and may cause the site to display incorrectly.
We suggest using a current version of Chrome,
FireFox, or Safari.
Theoretical basis of the community effect in development.
Saka Y, Lhoussaine C, Kuttler C, Ullner E, Thiel M.
???displayArticle.abstract???
BACKGROUND: Genetically identical cells often show significant variation in gene expression profile and behaviour even in the same physiological condition. Notably, embryonic cells destined to the same tissue maintain a uniform transcriptional regulatory state and form a homogeneous cell group. One mechanism to keep the homogeneity within embryonic tissues is the so-called community effect in animal development. The community effect is an interaction among a group of many nearby precursor cells, and is necessary for them to maintain tissue-specific gene expression and differentiate in a coordinated manner. Although it has been shown that the cell-cell communication by a diffusible factor plays a crucial role, it is not immediately obvious why a community effect needs many cells.
RESULTS: In this work, we propose a model of the community effect in development, which consists in a linear gene cascade and cell-cell communication. We examined the properties of the model theoretically using a combination of stochastic and deterministic modelling methods. We have derived the analytical formula for the threshold size of a cell population that is necessary for a community effect, which is in good agreement with stochastic simulation results.
CONCLUSIONS: Our theoretical analysis indicates that a simple model with a linear gene cascade and cell-cell communication is sufficient to reproduce the community effect in development. The model explains why a community needs many cells. It suggests that the community's long-term behaviour is independent of the initial induction level, although the initiation of a community effect requires a sufficient amount of inducing signal. The mechanism of the community effect revealed by our theoretical analysis is analogous to that of quorum sensing in bacteria. The community effect may underlie the size control in animal development and also the genesis of autosomal dominant diseases including tumorigenesis.
Figure 1. Diagram depicting the community effect in development. This figure illustrates the concept of the community effect in an abstract manner. See Introduction for a description of the community effect in muscle development.
Figure 2. A minimal model of a community effect. (A) A schematic depiction of the model. Each molecule or state is indicated in red, and arrows indicate reactions/transitions between those states with reaction rate parameters as indicated. See text for details. (B) Steady state of [x] plotted as a function of community size n. Parameter values used for the plot are: k1, k2, k3 = 0.02; δ1, δ 2, δ 3 = 0.01; Vc = 1; Vs = 800.
Figure 3. A model for the community effect in development. See main text for details. Each molecule or state is indicated in red, and arrows indicate reactions/transitions between those states with reaction rate parameters as indicated.
Figure 4. Simulation results of the community effect model. (A, B) Numerical simulations of the deterministic rate equations Eqs.7-14. (A) is the plot for [Ap] and (B) for [Bpout]. Simulation results for different community size are shown. With 100 cells, very little gene expression occurs at steady state (not shown) as 100 cells are close to nc ≈ 97. (C) Average number of Ap at steady state (10000 min) as a function of community size (solid lines). Dotted curves indicate number of Ap at steady state ([Ap]*) obtained by Eqs.35 in additional file 1. Plots are shown for ε = 2.31 × 10-6 and 5.78 × 10-7. (D, E) Time series of [Ap] and [Bpout] as overlays of 100 stochastic simulation results (temperature map) for community size of 300 cells and ε = 5.78 × 10 -7. Solid lines show a typical simulation result. (F) Probability distributions of [Ap] at steady state (t = 10000 min in stochastic simulations) for community size n = 140, 200, and 500 cells. ε = 5.78 × 10 -7. All simulations in this figure are with one gene copy each for gene A and gene B.
Figure 5. Community effect observed in stochastic simulations. Distributions of percentage of active cells in the community for a range of community size as indicated. 100 simulations were performed for each community size. Percentage of active cells ([Ap]> 0) at the end of simulation was calculated for each simulation, plotted as a histogram, which are combined as 3D plots. (A) The histogram for ε = 5.78 × 10 -7, a (copy number of gene A) = 1, b (copy number of gene B) = 1. (B) ε = 2.31 × 10 -6, a = 1, b = 1. (C, D) ε = 5.78 × 10 -7, a = 2, b = 2. (E, F) ε = 5.78 × 10 -7, a = 1, b = 2. (A, B, C, E) are the histograms at t = 3000 min in the simulations and (D, F) at t = 10000 min. Note that (C) and (D) are obtained at different time points from the same set of simulations, so are (E) and (F). Histograms for a = 2, b = 1 are similar to Fig. 5E and F (data not shown).
Figure 6. Influence of gene copy number on gene expressions at steady state. (A) Probability distribution of [Ap] at the end of stochastic simulations for the community size n = 100 (t = 10000 min). Plots for different combinations of gene copy numbers are shown as indicated. (B) [Ap] at steady state ([Ap]*) is plotted as a function of community size for different gene copy numbers as indicated. [Ap]* is calculated according to Eqs.35 in additional file 1 with parameter values in Table 1, ε = 5.78 × 10 -7. Dotted lines are the theoretical maxima . (C) [Bpout] at steady state ([Bpout]*) is plotted as a function of community size for different gene copy numbers. Parameter values are the same as in (B). [Bpout]* also approaches to the theoretical upper limit (not shown; ≈ 358000 for a = 2, b = 2; 308000 for a = 1, b = 2; 172000 for a = 2, b = 1; 143000 for a = 1, b = 1).
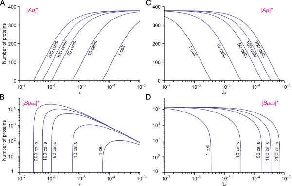
Figure 7. Influence of the cell-cell communication rate ε and the decay rate of extracellular factor δd on gene expressions. Protein number of Ap and Bpout at steady state for different communitysizes are plotted as a function of ε (A, B) and δd (C, D). These plots are with gene copy numbers a = 1, b = 1, but qualitatively similar plots can be obtained with different gene copy numbers.
Agur,
Disruption of a Quorum Sensing mechanism triggers tumorigenesis: a simple discrete model corroborated by experiments in mammary cancer stem cells.
2010, Pubmed
Agur,
Disruption of a Quorum Sensing mechanism triggers tumorigenesis: a simple discrete model corroborated by experiments in mammary cancer stem cells.
2010,
Pubmed Arava,
Genome-wide analysis of mRNA translation profiles in Saccharomyces cerevisiae.
2003,
Pubmed Belle,
Quantification of protein half-lives in the budding yeast proteome.
2006,
Pubmed Beyer,
Post-transcriptional expression regulation in the yeast Saccharomyces cerevisiae on a genomic scale.
2004,
Pubmed Blossey,
Compositionality, stochasticity, and cooperativity in dynamic models of gene regulation.
2008,
Pubmed Blossey,
Mean-field versus stochastic models for transcriptional regulation.
2008,
Pubmed Bolouri,
The gene regulatory network basis of the "community effect," and analysis of a sea urchin embryo example.
2010,
Pubmed Bosl,
The role of noise and positive feedback in the onset of autosomal dominant diseases.
2010,
Pubmed Casey,
The T-box transcription factor Brachyury regulates expression of eFGF through binding to a non-palindromic response element.
1998,
Pubmed
,
Xenbase Chen,
Artificial cell-cell communication in yeast Saccharomyces cerevisiae using signaling elements from Arabidopsis thaliana.
2005,
Pubmed Conlon,
Size control in animal development.
1999,
Pubmed Cook,
Modeling stochastic gene expression: implications for haploinsufficiency.
1998,
Pubmed Dessaud,
Dynamic assignment and maintenance of positional identity in the ventral neural tube by the morphogen sonic hedgehog.
2010,
Pubmed Duboc,
Lefty acts as an essential modulator of Nodal activity during sea urchin oral-aboral axis formation.
2008,
Pubmed Elf,
Probing transcription factor dynamics at the single-molecule level in a living cell.
2007,
Pubmed Ghaemmaghami,
Global analysis of protein expression in yeast.
2003,
Pubmed Goryachev,
Systems analysis of a quorum sensing network: design constraints imposed by the functional requirements, network topology and kinetic constants.
2006,
Pubmed Gotoh,
Involvement of the MAP kinase cascade in Xenopus mesoderm induction.
1995,
Pubmed
,
Xenbase Gurdon,
A community effect in animal development.
,
Pubmed
,
Xenbase Gurdon,
Community effects and related phenomena in development.
1993,
Pubmed Gurdon,
A community effect in muscle development.
1993,
Pubmed
,
Xenbase Hense,
Does efficiency sensing unify diffusion and quorum sensing?
2007,
Pubmed Isaacs,
eFGF regulates Xbra expression during Xenopus gastrulation.
1994,
Pubmed
,
Xenbase Kaern,
Stochasticity in gene expression: from theories to phenotypes.
2005,
Pubmed Karpova,
Concurrent fast and slow cycling of a transcriptional activator at an endogenous promoter.
2008,
Pubmed Kobayashi,
Programmable cells: interfacing natural and engineered gene networks.
2004,
Pubmed Kroll,
Transgenic Xenopus embryos from sperm nuclear transplantations reveal FGF signaling requirements during gastrulation.
1996,
Pubmed
,
Xenbase LaBonne,
Role of MAP kinase in mesoderm induction and axial patterning during Xenopus development.
1995,
Pubmed
,
Xenbase Nentwich,
Downstream of FGF during mesoderm formation in Xenopus: the roles of Elk-1 and Egr-1.
2009,
Pubmed
,
Xenbase Ng,
Bacterial quorum-sensing network architectures.
2009,
Pubmed Regev,
Representation and simulation of biochemical processes using the pi-calculus process algebra.
2001,
Pubmed Saka,
A mechanism for the sharp transition of morphogen gradient interpretation in Xenopus.
2007,
Pubmed
,
Xenbase Shahrezaei,
Analytical distributions for stochastic gene expression.
2008,
Pubmed Smilenov,
Tumor development: haploinsufficiency and local network assembly.
2006,
Pubmed Standley,
eFGF and its mode of action in the community effect during Xenopus myogenesis.
2001,
Pubmed
,
Xenbase Standley,
A dynamic requirement for community interactions during Xenopus myogenesis.
2002,
Pubmed
,
Xenbase Umbhauer,
Mesoderm induction in Xenopus caused by activation of MAP kinase.
1995,
Pubmed
,
Xenbase Wen,
Following translation by single ribosomes one codon at a time.
2008,
Pubmed Yu,
Fgf8 morphogen gradient forms by a source-sink mechanism with freely diffusing molecules.
2009,
Pubmed