Click here to close
Hello! We notice that you are using Internet Explorer, which is not supported by Xenbase and may cause the site to display incorrectly.
We suggest using a current version of Chrome,
FireFox, or Safari.
J Gen Physiol
2003 Nov 01;1225:583-603. doi: 10.1085/jgp.200308809.
Show Gene links
Show Anatomy links
Spontaneous channel activity of the inositol 1,4,5-trisphosphate (InsP3) receptor (InsP3R). Application of allosteric modeling to calcium and InsP3 regulation of InsP3R single-channel gating.
Mak DO, McBride SM, Foskett JK.
???displayArticle.abstract???
The InsP3R Ca2+ release channel has a biphasic dependence on cytoplasmic free Ca2+ concentration ([Ca2+]i). InsP3 activates gating primarily by reducing the sensitivity of the channel to inhibition by high [Ca2+]i. To determine if relieving Ca2+ inhibition is sufficient for channel activation, we examined single-channel activities in low [Ca2+]i in the absence of InsP3, by patch clamping isolated Xenopus oocyte nuclei. For both endogenous Xenopus type 1 and recombinant rat type 3 InsP3R channels, spontaneous InsP3-independent channel activities with low open probability Po ( approximately 0.03) were observed in [Ca2+]i < 5 nM with the same frequency as in the presence of InsP3, whereas no activities were observed in 25 nM Ca2+. These results establish the half-maximal inhibitory [Ca2+]i of the channel to be 1.2-4.0 nM in the absence of InsP3, and demonstrate that the channel can be active when all of its ligand-binding sites (including InsP3) are unoccupied. In the simplest allosteric model that fits all observations in nuclear patch-clamp studies of [Ca2+]i and InsP3 regulation of steady-state channel gating behavior of types 1 and 3 InsP3R isoforms, including spontaneous InsP3-independent channel activities, the tetrameric channel can adopt six different conformations, the equilibria among which are controlled by two inhibitory and one activating Ca2+-binding and one InsP3-binding sites in a manner outlined in the Monod-Wyman-Changeux model. InsP3 binding activates gating by affecting the Ca2+ affinities of the high-affinity inhibitory sites in different conformations, transforming it into an activating site. Ca2+ inhibition of InsP3-liganded channels is mediated by an InsP3-independent low-affinity inhibitory site. The model also suggests that besides the ligand-regulated gating mechanism, the channel has a ligand-independent gating mechanism responsible for maximum channel Po being less than unity. The validity of this model was established by its successful quantitative prediction of channel behavior after it had been exposed to ultra-low bath [Ca2+].
???displayArticle.pubmedLink???
14581584 ???displayArticle.pmcLink???PMC2229577 ???displayArticle.link???J Gen Physiol ???displayArticle.grants???[+]
Figure 1. . Typical single-channel current traces of X-InsP3R-1 channels in various [Ca2+]i, [ATP] and [InsP3], as labeled. Arrows indicate closed channel current levels. 100 μg/ml heparin was used in +heparin experiments.
Figure 2. . (A) Channel current versus applied transmembrane potential curve for InsP3R channels (n = 4) observed in symmetric 140 mM KCl in the presence of [Ca2+]i < 5 nM, 0.5 mM ATP and no InsP3. (B and C) Current traces with InsP3R channel observed under an applied potential ramp in 140 mM KCl bath and 14 mM KCl pipette solutions. For B, pipette solution contained [Ca2+]i < 5 nM, 0.5 mM ATP and no InsP3, whereas for C, pipette solution contained 1 μM [Ca2+]i, 0.5 mM ATP and 10 μM InsP3. The slope conductances of the channels were evaluated as the difference between the slopes of the open (dashed line) and closed (solid line) channel current levels. The positive reversal potentials (as tabulated in the graphs) indicate that the InsP3R channels observed are cation selective.
Figure 3. . (A) Pd and (B) Po histograms of the X-InsP3R-1 channel in various experimental conditions. In the Pd graph, numbers above each bar represent the fraction of nuclear membrane patches obtained that exhibited X-InsP3R-1 channel activities. In the Po graph, the number above each bar is the number of single-channel current records used to evaluate Po. Given the variance of the channel Po in experiments performed under the same experimental conditions, the channel Po observed under the various set of experimental conditions are not statistically different (P > 0.05 from t test) from Po observed under control conditions (0 InsP3, 0.5 mM ATP, [Ca2+]i < 5 nM).
Figure 4. . Typical single-channel current traces of r-InsP3R-3 channels in various [Ca2+]i, [ATP] and [InsP3], as labeled. Arrows indicate closed channel current levels. 100 μg/ml heparin was used in +heparin experiments.
Figure 5. . (A) Pd and (B) Po histograms of the r-InsP3R-3 channel in various experimental conditions. Numbers tabulated in the graphs have the same meanings as in Fig. 3. Given the variance of the channel Po in experiments performed under the same experimental conditions, the channel Po observed under the various set of experimental conditions are not statistically different (P > 0.05 from t test) from Po observed under control conditions (0 InsP3, 0.5 mM ATP, [Ca2+]i < 5 nM).
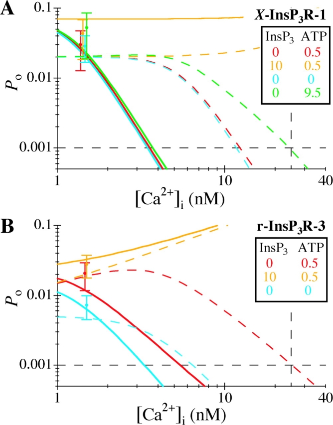
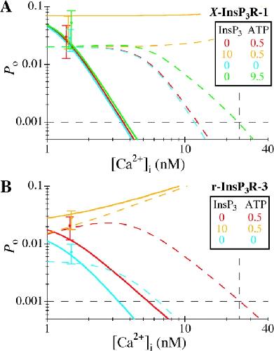
Figure 6. . Estimating Kinh0 and Pmax0 from channel activities at low [Ca2+]i for (A) X-InsP3R-1 and (B) r-InsP3R-3. Different colors correspond to different InsP3 and ATP concentrations as tabulated in the graphs. InsP3R channel Po observed in calculated [Ca2+]i of 0.9–1.5 nM are plotted as data points at [Ca2+]i = 1.5 nM (c.f. Figs. 3 B and 5 B). InsP3R channel Po at various [Ca2+]i can be calculated with Eq. 4 using the values of Pmax∞, Kact, Hact, and Hinh obtained in our previous studies for X-InsP3R-1 (Mak et al., 1998, 1999) and r-InsP3R-3 (Mak et al., 2001a,b). The values of parameters Kinh0 and Pmax0 in Eq. 4, which were not determined in previous experiments, must be constrained so that: (a) the calculated channel Po at various InsP3 and ATP concentrations agree with experimental observations (i.e., lie within the error limits of the data points at 1.5 nM [Ca2+]i), and (b) the calculated channel Po in the absence of InsP3 is <0.001 at 25 nM [Ca2+]i, so that no channel activity was detected at 25 nM [Ca2+]i. The continuous and dashed curves represent channel Po calculated using two extreme sets of values for Kinh0 and Pmax0 that satisfy those requirements. For X-InsP3R-1, the continuous curves are calculated with Pmax0 = 0.07 and Kinh0 = 1.2 nM; and the dashed curves are calculated with Pmax0 = 0.02 and Kinh0 = 5.5 nM. For r-InsP3R-3, the continuous curves are calculated with Pmax0 = 0.018 and Kinh0 = 1.2 nM; and the dashed curves are calculated with Pmax0 = 0.005 and Kinh0 = 3.8 nM. The observed channel Po data points in both graphs and the continuous curves in A are slightly offset along the [Ca2+]i axis for easier visualization.
Figure 7. . The MWC-based four-plus-two-conformation model for InsP3R channel gating. Only conformation transitions are represented in the schemes. Reactions involving binding of InsP3 and Ca2+ to the InsP3R channel and the state of occupation of the various ligand-binding sites of the channel are omitted from the schemes for clarity. The green boxes represent the grouping of the open A* and closed A′ conformations into the active A conformation, and the grouping of the C* and C′ conformations into the active C conformation.
Figure 8. . Fitting of the InsP3R channel Po in various [Ca2+]i and [InsP3] by the MWC-based four-plus-two-conformation model. (A) InsP3R-1 in regular bath (300 nM [Ca2+]), (B) InsP3R-3 in regular bath (300 nM [Ca2+]), and (C) InsP3R-1 in bath containing <5 nM Ca2+. The symbols represent the experimental Po in the tabulated [InsP3]. The continuous curves are the theoretical Po calculated from the model. The dashed curves indicate the range of calculated Po for ± 10% of the tabulated [InsP3]. Parameters used for the Po calculations are tabulated in Table I.
Adkins,
Lateral inhibition of inositol 1,4,5-trisphosphate receptors by cytosolic Ca(2+).
1999, Pubmed
Adkins,
Lateral inhibition of inositol 1,4,5-trisphosphate receptors by cytosolic Ca(2+).
1999,
Pubmed Berridge,
Inositol trisphosphate and calcium signalling.
1993,
Pubmed Bezprozvanny,
Bell-shaped calcium-response curves of Ins(1,4,5)P3- and calcium-gated channels from endoplasmic reticulum of cerebellum.
1991,
Pubmed Boehning,
Single-channel recordings of recombinant inositol trisphosphate receptors in mammalian nuclear envelope.
2001,
Pubmed Changeux,
Allosteric receptors after 30 years.
1998,
Pubmed Cullen,
Heparin inhibits the inositol 1,4,5-trisphosphate-induced Ca2+ release from rat liver microsomes.
1988,
Pubmed De Young,
A single-pool inositol 1,4,5-trisphosphate-receptor-based model for agonist-stimulated oscillations in Ca2+ concentration.
1992,
Pubmed Iino,
Biphasic Ca2+ dependence of inositol 1,4,5-trisphosphate-induced Ca release in smooth muscle cells of the guinea pig taenia caeci.
1990,
Pubmed Jackson,
Spontaneous openings of the acetylcholine receptor channel.
1984,
Pubmed Jiang,
Cystic fibrosis transmembrane conductance regulator-associated ATP release is controlled by a chloride sensor.
1998,
Pubmed
,
Xenbase Jones,
Commentary: a plausible model.
1999,
Pubmed Joseph,
Heteroligomers of type-I and type-III inositol trisphosphate receptors in WB rat liver epithelial cells.
1995,
Pubmed Kaftan,
Inositol 1,4,5-trisphosphate (InsP3) and calcium interact to increase the dynamic range of InsP3 receptor-dependent calcium signaling.
1997,
Pubmed Liu,
Constraining ligand-binding site stoichiometry suggests that a cyclic nucleotide-gated channel is composed of two functional dimers.
1998,
Pubmed Magleby,
Kinetic gating mechanisms for BK channels: when complexity leads to simplicity.
2001,
Pubmed Mak,
Novel regulation of calcium inhibition of the inositol 1,4,5-trisphosphate receptor calcium-release channel.
2003,
Pubmed
,
Xenbase Mak,
Single-channel properties in endoplasmic reticulum membrane of recombinant type 3 inositol trisphosphate receptor.
2000,
Pubmed
,
Xenbase Mak,
ATP-dependent adenophostin activation of inositol 1,4,5-trisphosphate receptor channel gating: kinetic implications for the durations of calcium puffs in cells.
2001,
Pubmed
,
Xenbase Mak,
Effects of divalent cations on single-channel conduction properties of Xenopus IP3 receptor.
1998,
Pubmed
,
Xenbase Mak,
Inositol 1,4,5-trisphosphate [correction of tris-phosphate] activation of inositol trisphosphate [correction of tris-phosphate] receptor Ca2+ channel by ligand tuning of Ca2+ inhibition.
1998,
Pubmed
,
Xenbase Mak,
ATP regulation of type 1 inositol 1,4,5-trisphosphate receptor channel gating by allosteric tuning of Ca(2+) activation.
1999,
Pubmed
,
Xenbase Mak,
Regulation by Ca2+ and inositol 1,4,5-trisphosphate (InsP3) of single recombinant type 3 InsP3 receptor channels. Ca2+ activation uniquely distinguishes types 1 and 3 insp3 receptors.
2001,
Pubmed
,
Xenbase Mak,
ATP regulation of recombinant type 3 inositol 1,4,5-trisphosphate receptor gating.
2001,
Pubmed
,
Xenbase Mak,
Spontaneous channel activity of the inositol 1,4,5-trisphosphate (InsP3) receptor (InsP3R). Application of allosteric modeling to calcium and InsP3 regulation of InsP3R single-channel gating.
2003,
Pubmed
,
Xenbase Mak,
Single-channel inositol 1,4,5-trisphosphate receptor currents revealed by patch clamp of isolated Xenopus oocyte nuclei.
1994,
Pubmed
,
Xenbase Mak,
Single-channel kinetics, inactivation, and spatial distribution of inositol trisphosphate (IP3) receptors in Xenopus oocyte nucleus.
1997,
Pubmed
,
Xenbase Marchant,
Cooperative activation of IP3 receptors by sequential binding of IP3 and Ca2+ safeguards against spontaneous activity.
1997,
Pubmed Marchant,
Disaccharide polyphosphates based upon adenophostin A activate hepatic D-myo-inositol 1,4,5-trisphosphate receptors.
1997,
Pubmed Meyer,
Highly cooperative opening of calcium channels by inositol 1,4,5-trisphosphate.
1988,
Pubmed Meyer,
Calcium spiking.
1991,
Pubmed Mikoshiba,
Inositol trisphosphate receptor and Ca2+ signalling.
1993,
Pubmed MONOD,
ON THE NATURE OF ALLOSTERIC TRANSITIONS: A PLAUSIBLE MODEL.
1965,
Pubmed Moraru,
Regulation of type 1 inositol 1,4,5-trisphosphate-gated calcium channels by InsP3 and calcium: Simulation of single channel kinetics based on ligand binding and electrophysiological analysis.
1999,
Pubmed Patel,
Molecular properties of inositol 1,4,5-trisphosphate receptors.
1999,
Pubmed Picones,
Spontaneous, ligand-independent activity of the cGMP-gated ion channels in cone photoreceptors of fish.
1995,
Pubmed Ramos-Franco,
Single-channel function of recombinant type 2 inositol 1,4, 5-trisphosphate receptor.
2000,
Pubmed Richards,
Cooperativity and cooperation in cyclic nucleotide-gated ion channels.
2000,
Pubmed Sienaert,
Molecular and functional evidence for multiple Ca2+-binding domains in the type 1 inositol 1,4,5-trisphosphate receptor.
1997,
Pubmed Sienaert,
Characterization of a cytosolic and a luminal Ca2+ binding site in the type I inositol 1,4,5-trisphosphate receptor.
1996,
Pubmed Swillens,
Transient inositol 1,4,5-trisphosphate-induced Ca2+ release: a model based on regulatory Ca(2+)-binding sites along the permeation pathway.
1994,
Pubmed Swillens,
Stochastic simulation of a single inositol 1,4,5-trisphosphate-sensitive Ca2+ channel reveals repetitive openings during 'blip-like' Ca2+ transients.
1998,
Pubmed
,
Xenbase Takahashi,
Adenophostins, newly discovered metabolites of Penicillium brevicompactum, act as potent agonists of the inositol 1,4,5-trisphosphate receptor.
1994,
Pubmed Toescu,
Temporal and spatial heterogeneities of Ca2+ signaling: mechanisms and physiological roles.
1995,
Pubmed Tu,
Functional and biochemical analysis of the type 1 inositol (1,4,5)-trisphosphate receptor calcium sensor.
2003,
Pubmed Worley,
Characterization of inositol trisphosphate receptor binding in brain. Regulation by pH and calcium.
1987,
Pubmed Yang,
Identification of a family of calcium sensors as protein ligands of inositol trisphosphate receptor Ca(2+) release channels.
2002,
Pubmed
,
Xenbase Yoshikawa,
Mutational analysis of the ligand binding site of the inositol 1,4,5-trisphosphate receptor.
1996,
Pubmed