Click here to close
Hello! We notice that you are using Internet Explorer, which is not supported by Xenbase and may cause the site to display incorrectly.
We suggest using a current version of Chrome,
FireFox, or Safari.
BMC Neurosci
2012 Jun 22;13:73. doi: 10.1186/1471-2202-13-73.
Show Gene links
Show Anatomy links
The Drosophila nicotinic acetylcholine receptor subunits Dα5 and Dα7 form functional homomeric and heteromeric ion channels.
Lansdell SJ, Collins T, Goodchild J, Millar NS.
???displayArticle.abstract???
Nicotinic acetylcholine receptors (nAChRs) play an important role as excitatory neurotransmitters in vertebrate and invertebrate species. In insects, nAChRs are the site of action of commercially important insecticides and, as a consequence, there is considerable interest in examining their functional properties. However, problems have been encountered in the successful functional expression of insect nAChRs, although a number of strategies have been developed in an attempt to overcome such difficulties. Ten nAChR subunits have been identified in the model insect Drosophila melanogaster (Dα1-Dα7 and Dβ1-Dβ3) and a similar number have been identified in other insect species. The focus of the present study is the Dα5, Dα6 and Dα7 subunits, which are distinguished by their sequence similarity to one another and also by their close similarity to the vertebrate α7 nAChR subunit. A full-length cDNA clone encoding the Drosophila nAChR Dα5 subunit has been isolated and the properties of Dα5-, Dα6- and Dα7-containing nAChRs examined in a variety of cell expression systems. We have demonstrated the functional expression, as homomeric nAChRs, of the Dα5 and Dα7 subunits in Xenopus oocytes by their co-expression with the molecular chaperone RIC-3. Also, using a similar approach, we have demonstrated the functional expression of a heteromeric 'triplet' nAChR (Dα5 + Dα6 + Dα7) with substantially higher apparent affinity for acetylcholine than is seen with other subunit combinations. In addition, specific cell-surface binding of [125I]-α-bungarotoxin was detected in both Drosophila and mammalian cell lines when Dα5 was co-expressed with Dα6 and RIC-3. In contrast, co-expression of additional subunits (including Dα7) with Dα5 and Dα6 prevented specific binding of [125I]-α-bungarotoxin in cell lines, suggesting that co-assembly with other nAChR subunits can block maturation of correctly folded nAChRs in some cellular environments. Data are presented demonstrating the ability of the Drosophila Dα5 and Dα7 subunits to generate functional homomeric and also heteromeric nAChRs.
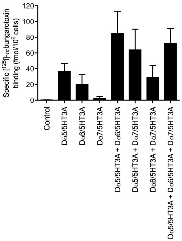
Figure 1. Radioligand binding to nAChR subunit chimeras expressed in Drosophila S2 cells. Cell surface [125I]-α-bungarotoxin binding to transiently transfected Drosophila S2 cells with subunit chimeras (Dα5/5HT3A, Dα6/5HT3A and Dα7/5HT3A). Experiments were performed in triplicate and are means ± SEM of 4–14 independent experiments.
Figure 2. Radioligand binding to Drosophila nAChR subunit combinations in cultured cell lines. Cell surface [125I]-α-bungarotoxin binding to cell lines transiently transfected with combinations of Dα5, Dα6 and Dα7 subunits. In all cases, subunit combinations were co-transfected with either CeRIC-3 (filled bars) or DmRIC-3 (open bars). No specific binding was detected for any subunit combination in the absence of RIC-3 (not shown). Data are presented for Drosophila S2 cells (A) and for human tsA201 cells cultured at 25 °C (B). Controls represent mock-transfected cells. Experiments were performed in triplicate and are means ± SEM of 5–8 independent experiments.
Figure 3. Functional expression of Drosophila nAChR subunit combinations in Xenopus oocytes. A) Dose–response curves for acetylcholine are shown for homomeric Dα5 nAChRs (open circles) homomeric Dα7 nAChRs (open squares) and for triplet Dα5 + Dα6 + Dα7 nAChRs (closed circles). B) Dose–response curves for acetylcholine are shown for heteromeric Dα5 + Dα6 nAChRs (open circles) and Dα5 + Dα7 nAChRs (closed circles) In all cases, nAChR subunits were co-expressed with CeRIC-3. Data are means ± SEM of 3–8 independent experiments.
Figure 4. Antagonism of Dα5 nAChRs by α-bungarotoxin. A) Representative responses to acetylcholine (100 μM; black bar) are shown (left), together with block after a 10 min pre-incubation with α-bungarotoxin (100 nM; grey bar) (middle). Recovery from α-bungarotoxin block after 10 minutes is also illustrated (right). Data shown are for homomeric Dα5 nAChRs (co-expressed with CeRIC-3) but the results (complete block with full recovery) were observed for all subunit combinations that generated functional nAChRs (see Table 2). B) Data indicating the time course for recovery after a 10 min incubation with α-bungarotoxin (100 nM; illustrated by the grey bar). Data points are normalised to the maximum response prior to block by α-bungarotoxin and are means ± SEM of 3 independent experiments.
Albuquerque,
Mammalian nicotinic acetylcholine receptors: from structure to function.
2009, Pubmed
Albuquerque,
Mammalian nicotinic acetylcholine receptors: from structure to function.
2009,
Pubmed Arias,
Localization of agonist and competitive antagonist binding sites on nicotinic acetylcholine receptors.
2000,
Pubmed Bass,
Molecular characterisation of nicotinic acetylcholine receptor subunits from the cat flea, Ctenocephalides felis (Siphonaptera: Pulicidae).
2006,
Pubmed Baxter,
Mis-spliced transcripts of nicotinic acetylcholine receptor alpha6 are associated with field evolved spinosad resistance in Plutella xylostella (L.).
2010,
Pubmed Bertrand,
Physiological properties of neuronal nicotinic receptors reconstituted from the vertebrate beta 2 subunit and Drosophila alpha subunits.
1994,
Pubmed
,
Xenbase Boulin,
Eight genes are required for functional reconstitution of the Caenorhabditis elegans levamisole-sensitive acetylcholine receptor.
2008,
Pubmed
,
Xenbase Brejc,
Crystal structure of an ACh-binding protein reveals the ligand-binding domain of nicotinic receptors.
2001,
Pubmed Cooper,
Host cell-specific folding and assembly of the neuronal nicotinic acetylcholine receptor alpha7 subunit.
1997,
Pubmed Cooper,
Host cell-specific folding of the neuronal nicotinic receptor alpha8 subunit.
1998,
Pubmed
,
Xenbase Couturier,
A neuronal nicotinic acetylcholine receptor subunit (alpha 7) is developmentally regulated and forms a homo-oligomeric channel blocked by alpha-BTX.
1990,
Pubmed
,
Xenbase Dellisanti,
Crystal structure of the extracellular domain of nAChR alpha1 bound to alpha-bungarotoxin at 1.94 A resolution.
2007,
Pubmed Eastham,
Characterization of a nicotinic acetylcholine receptor from the insect Manduca sexta.
1998,
Pubmed Eiselé,
Chimaeric nicotinic-serotonergic receptor combines distinct ligand binding and channel specificities.
1993,
Pubmed
,
Xenbase Fayyazuddin,
The nicotinic acetylcholine receptor Dalpha7 is required for an escape behavior in Drosophila.
2006,
Pubmed Gao,
The nicotinic acetylcholine receptor subunits Mdalpha5 and Mdbeta3 on autosome 1 of Musca domestica are not involved in spinosad resistance.
2007,
Pubmed Gao,
Characterization of the nicotinic acetylcholine receptor subunit gene Mdalpha2 from the house fly, Musca domestica.
2007,
Pubmed Gao,
The nicotinic acetylcholine receptor subunit Mdalpha6 from Musca domestica is diversified via post-transcriptional modification.
2007,
Pubmed Gill,
Agonist activation of alpha7 nicotinic acetylcholine receptors via an allosteric transmembrane site.
2011,
Pubmed
,
Xenbase Gotti,
Alpha7 and alpha8 nicotinic receptor subtypes immunopurified from chick retina have different immunological, pharmacological and functional properties.
1997,
Pubmed Grauso,
Novel putative nicotinic acetylcholine receptor subunit genes, Dalpha5, Dalpha6 and Dalpha7, in Drosophila melanogaster identify a new and highly conserved target of adenosine deaminase acting on RNA-mediated A-to-I pre-mRNA editing.
2002,
Pubmed Halevi,
The C. elegans ric-3 gene is required for maturation of nicotinic acetylcholine receptors.
2002,
Pubmed
,
Xenbase Hermsen,
Neuronal nicotinic receptors in the locust Locusta migratoria. Cloning and expression.
1998,
Pubmed
,
Xenbase Huang,
Molecular characterization and imidacloprid selectivity of nicotinic acetylcholine receptor subunits from the peach-potato aphid Myzus persicae.
1999,
Pubmed Huang,
Cloning, heterologous expression and co-assembly of Mpbeta1, a nicotinic acetylcholine receptor subunit from the aphid Myzus persicae.
2000,
Pubmed Jin,
RNA editing and alternative splicing of the insect nAChR subunit alpha6 transcript: evolutionary conservation, divergence and regulation.
2007,
Pubmed Jones,
Diversity of insect nicotinic acetylcholine receptor subunits.
2010,
Pubmed Jones,
Insect nicotinic acetylcholine receptor gene families: from genetic model organism to vector, pest and beneficial species.
2007,
Pubmed Khiroug,
Rat nicotinic ACh receptor alpha7 and beta2 subunits co-assemble to form functional heteromeric nicotinic receptor channels.
2002,
Pubmed
,
Xenbase Lansdell,
RIC-3 enhances functional expression of multiple nicotinic acetylcholine receptor subtypes in mammalian cells.
2005,
Pubmed
,
Xenbase Lansdell,
Molecular characterization of Dalpha6 and Dalpha7 nicotinic acetylcholine receptor subunits from Drosophila: formation of a high-affinity alpha-bungarotoxin binding site revealed by expression of subunit chimeras.
2004,
Pubmed Lansdell,
Dbeta3, an atypical nicotinic acetylcholine receptor subunit from Drosophila : molecular cloning, heterologous expression and coassembly.
2002,
Pubmed Lansdell,
Cloning and heterologous expression of Dalpha4, a Drosophila neuronal nicotinic acetylcholine receptor subunit: identification of an alternative exon influencing the efficiency of subunit assembly.
2000,
Pubmed Lansdell,
Temperature-sensitive expression of Drosophila neuronal nicotinic acetylcholine receptors.
1997,
Pubmed
,
Xenbase Lansdell,
Host-cell specific effects of the nicotinic acetylcholine receptor chaperone RIC-3 revealed by a comparison of human and Drosophila RIC-3 homologues.
2008,
Pubmed Lansdell,
The influence of nicotinic receptor subunit composition upon agonist, alpha-bungarotoxin and insecticide (imidacloprid) binding affinity.
2000,
Pubmed Lewis,
The ion channel properties of a rat recombinant neuronal nicotinic receptor are dependent on the host cell type.
1997,
Pubmed
,
Xenbase Liman,
Subunit stoichiometry of a mammalian K+ channel determined by construction of multimeric cDNAs.
1992,
Pubmed
,
Xenbase Littleton,
Ion channels and synaptic organization: analysis of the Drosophila genome.
2000,
Pubmed Liu,
A nicotinic acetylcholine receptor mutation conferring target-site resistance to imidacloprid in Nilaparvata lugens (brown planthopper).
2005,
Pubmed Liu,
A novel nicotinic acetylcholine receptor subtype in basal forebrain cholinergic neurons with high sensitivity to amyloid peptides.
2009,
Pubmed
,
Xenbase Margolskee,
Panning transfected cells for electrophysiological studies.
1993,
Pubmed Maricq,
Primary structure and functional expression of the 5HT3 receptor, a serotonin-gated ion channel.
1991,
Pubmed
,
Xenbase Marshall,
Sequence and functional expression of a single alpha subunit of an insect nicotinic acetylcholine receptor.
1990,
Pubmed
,
Xenbase Millar,
Nicotinic acetylcholine receptors: targets for commercially important insecticides.
2007,
Pubmed Millar,
A review of experimental techniques used for the heterologous expression of nicotinic acetylcholine receptors.
2009,
Pubmed Millar,
Heterologous expression of mammalian and insect neuronal nicotinic acetylcholine receptors in cultured cell lines.
1999,
Pubmed Millar,
Stable expression of a functional homo-oligomeric Drosophila GABA receptor in a Drosophila cell line.
1994,
Pubmed Millar,
RIC-3: a nicotinic acetylcholine receptor chaperone.
2008,
Pubmed Paulson,
Temperature-sensitive expression of all-Torpedo and Torpedo-rat hybrid AChR in mammalian muscle cells.
1990,
Pubmed Perry,
A Dalpha6 knockout strain of Drosophila melanogaster confers a high level of resistance to spinosad.
2007,
Pubmed Rinkevich,
Transcriptional diversity and allelic variation in nicotinic acetylcholine receptor subunits of the red flour beetle, Tribolium castaneum.
2009,
Pubmed Rinkevich,
Transcripts of the nicotinic acetylcholine receptor subunit gene Pxylα6 with premature stop codons are associated with spinosad resistance in diamondback moth, Plutella xylostella.
2010,
Pubmed Sattelle,
Edit, cut and paste in the nicotinic acetylcholine receptor gene family of Drosophila melanogaster.
2005,
Pubmed Sawruk,
Heterogeneity of Drosophila nicotinic acetylcholine receptors: SAD, a novel developmentally regulated alpha-subunit.
1990,
Pubmed
,
Xenbase Schneider,
Cell lines derived from late embryonic stages of Drosophila melanogaster.
1972,
Pubmed Schulz,
D alpha3, a new functional alpha subunit of nicotinic acetylcholine receptors from Drosophila.
1998,
Pubmed
,
Xenbase Shao,
The nicotinic acetylcholine receptor gene family of the silkworm, Bombyx mori.
2007,
Pubmed Taly,
Nicotinic receptors: allosteric transitions and therapeutic targets in the nervous system.
2009,
Pubmed Thany,
Identification and localization of the nicotinic acetylcholine receptor alpha3 mRNA in the brain of the honeybee, Apis mellifera.
2003,
Pubmed Thany,
Apisalpha2, Apisalpha7-1 and Apisalpha7-2: three new neuronal nicotinic acetylcholine receptor alpha-subunits in the honeybee brain.
2005,
Pubmed Unwin,
Refined structure of the nicotinic acetylcholine receptor at 4A resolution.
2005,
Pubmed Williams,
Ric-3 promotes functional expression of the nicotinic acetylcholine receptor alpha7 subunit in mammalian cells.
2005,
Pubmed
,
Xenbase Wu,
The Drosophila acetylcholine receptor subunit D alpha5 is part of an alpha-bungarotoxin binding acetylcholine receptor.
2005,
Pubmed Young,
Species selectivity of a nicotinic acetylcholine receptor agonist is conferred by two adjacent extracellular beta4 amino acids that are implicated in the coupling of binding to channel gating.
2007,
Pubmed