Click here to close Hello! We notice that you are using Internet Explorer, which is not supported by Xenbase and may cause the site to display incorrectly. We suggest using a current version of Chrome, FireFox, or Safari.
XB-ART-46663
J Biol Chem 2013 Mar 29;28813:9092-101. doi: 10.1074/jbc.M112.436790.
Show Gene links Show Anatomy links

Intestinal dehydroascorbic acid (DHA) transport mediated by the facilitative sugar transporters, GLUT2 and GLUT8.

Corpe CP, Eck P, Wang J, Al-Hasani H, Levine M.


???displayArticle.abstract???
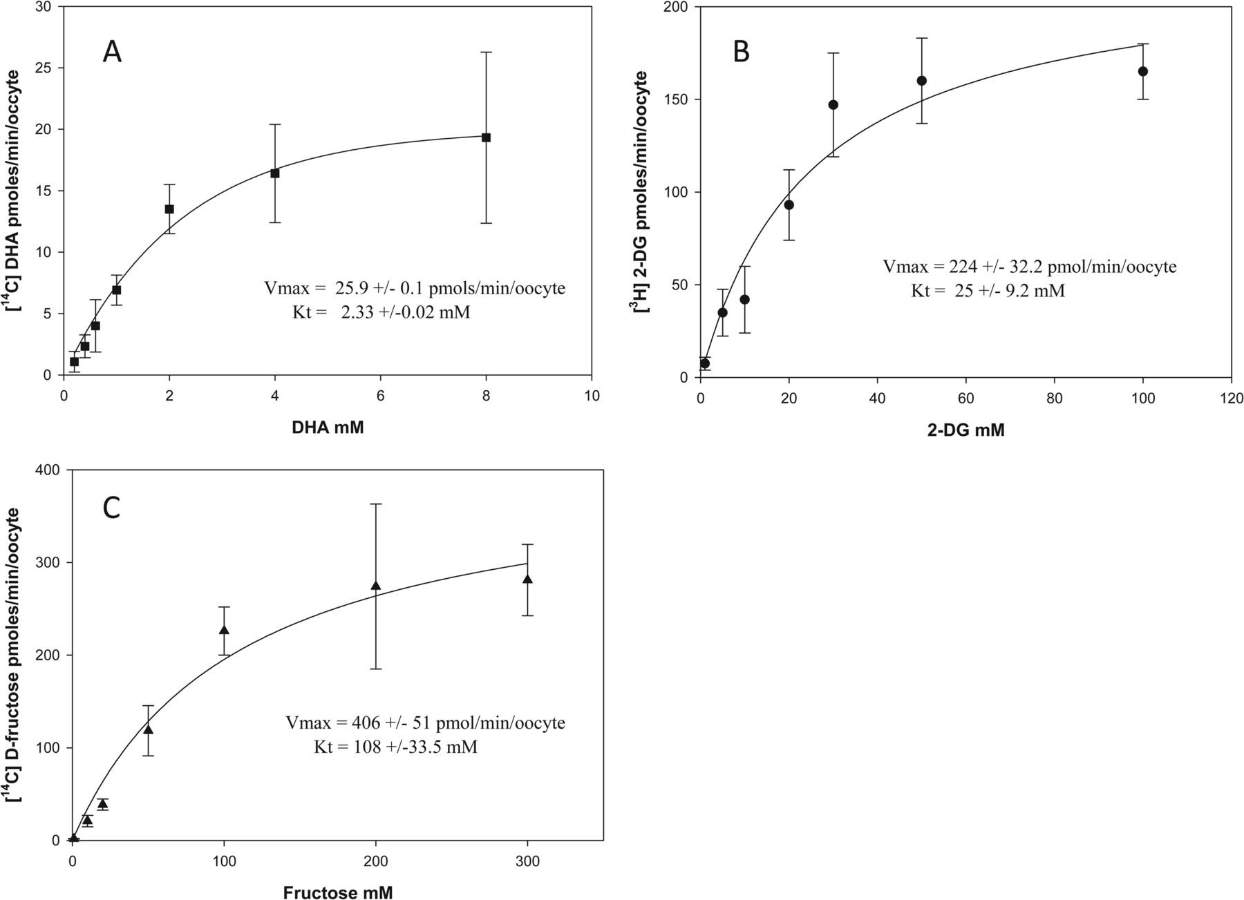
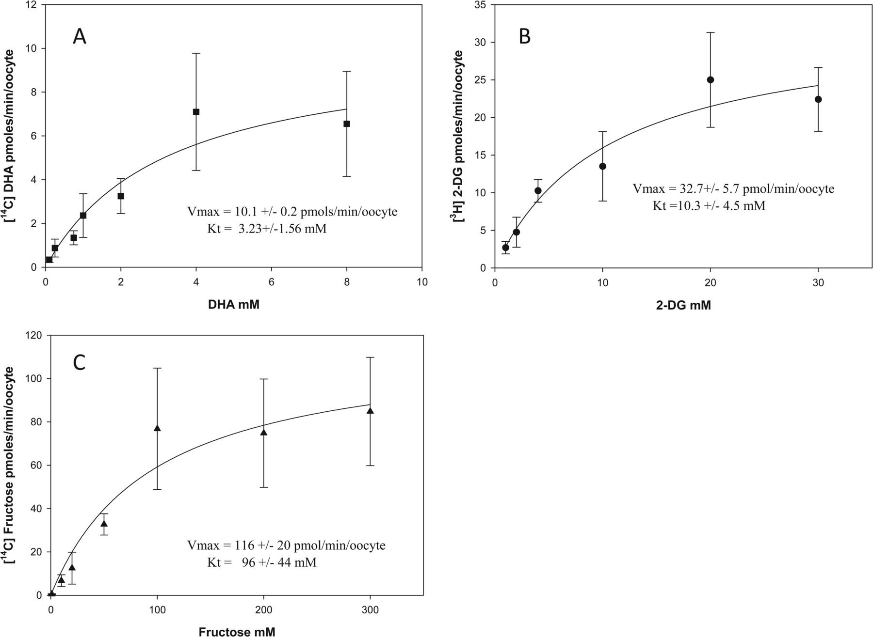
Intestinal vitamin C (Asc) absorption was believed to be mediated by the Na(+)-dependent ascorbic acid transporter SVCT1. However, Asc transport across the intestines of SVCT1 knock-out mice is normal indicating that alternative ascorbic acid transport mechanisms exist. To investigate these mechanisms, rodents were gavaged with Asc or its oxidized form dehydroascorbic acid (DHA), and plasma Asc concentrations were measured. Asc concentrations doubled following DHA but not Asc gavage. We hypothesized that the transporters responsible were facilitated glucose transporters (GLUTs). Using Xenopus oocyte expression, we investigated whether facilitative glucose transporters GLUT2 and GLUT5-12 transported DHA. Only GLUT2 and GLUT8, known to be expressed in intestines, transported DHA with apparent transport affinities (Km) of 2.33 and 3.23 mm and maximal transport rates (Vmax) of 25.9 and 10.1 pmol/min/oocyte, respectively. Maximal rates for DHA transport mediated by GLUT2 and GLUT8 in oocytes were lower than maximal rates for 2-deoxy-d-glucose (Vmax of 224 and 32 pmol/min/oocyte for GLUT2 and GLUT8, respectively) and fructose (Vmax of 406 and 116 pmol/min/oocyte for GLUT2 and GLUT8, respectively). These findings may be explained by differences in the exofacial binding of substrates, as shown by inhibition studies with ethylidine glucose. DHA transport activity in GLUT2- and GLUT8-expressing oocytes was inhibited by glucose, fructose, and by the flavonoids phloretin and quercetin. These studies indicate intestinal DHA transport may be mediated by the facilitative sugar transporters GLUT2 and GLUT8. Furthermore, dietary sugars and flavonoids in fruits and vegetables may modulate Asc bioavailability via inhibition of small intestinal GLUT2 and GLUT8.

???displayArticle.pubmedLink??? 23396969
???displayArticle.pmcLink??? PMC3610982
???displayArticle.link??? J Biol Chem
???displayArticle.grants??? [+]

Species referenced: Xenopus
Genes referenced: slc23a1 slc2a1 slc2a2 slc2a5 slc2a8 sts


???attribute.lit??? ???displayArticles.show???
References [+] :
Anderson, Recent advances in intestinal iron transport. 2005, Pubmed