Click here to close
Hello! We notice that you are using Internet Explorer, which is not supported by Xenbase and may cause the site to display incorrectly.
We suggest using a current version of Chrome,
FireFox, or Safari.
PLoS One
2013 Apr 04;84:e62098. doi: 10.1371/journal.pone.0062098.
Show Gene links
Show Anatomy links
Identification and characterization of pheromone receptors and interplay between receptors and pheromone binding proteins in the diamondback moth, Plutella xyllostella.
Sun M, Liu Y, Walker WB, Liu C, Lin K, Gu S, Zhang Y, Zhou J, Wang G.
???displayArticle.abstract???
Moths depend on olfactory cues such as sex pheromones to find and recognize mating partners. Pheromone receptors (PRs) and Pheromone binding proteins (PBPs) are thought to be associated with olfactory signal transduction of pheromonal compounds in peripheral olfactory reception. Here six candidate pheromone receptor genes in the diamondback moth, Plutella xyllostella were identified and cloned. All of the six candidate PR genes display male-biased expression, which is a typical characteristic of pheromone receptors. In the Xenopus-based functional study and in situ hybridization, PxylOR4 is defined as another pheromone receptor in addition to the previously characterized PxylOR1. In the study of interaction between PRs and PBPs, PxylPBPs could increase the sensitivity of the complex expressing oocyte cells to the ligand pheromone component while decreasing the sensitivity to pheromone analogs. We deduce that activating pheromone receptors in olfactory receptor neurons requires some role of PBPs to pheromone/PBP complex. If the chemical signal is not the pheromone component, but instead, a pheromone analog with a similar structure, the complex would have a decreased ability to activate downstream pheromone receptors.
???displayArticle.pubmedLink???
23626773 ???displayArticle.pmcLink???PMC3633919 ???displayArticle.link???PLoS One ???displayArticle.grants???[+]
Figure 2. Phylogenetic analysis of six candidate pheromone receptors.The branch colored in purple represents the sub-grouping of pheromone receptors. GenBank accession numbers are listed in Material S1.
Figure 3. Tissue specificity and expression pattern of six candidate pheromone receptors amplified in male and female moth.(A) tissue specificity of PxylOR1 and 3–7; M is D2000 marker (Tiangen), 1 is antennae, 2 is heads (without antennae), 3 is proboscis, 4 is labial palps, 5 is genitals, 6 is throats, 7 is abdomens, 8 is legs and 9 is wings, 10 is negative control. (B) Relative expression quantity of six candidate pheromone receptors amplified in male and female antennae. The x-axis shows the candidate pheromone receptors in male and female moths, the Y-axis indicates relative expression quantity (mean+standard error of mean). The expression of female PxylOR3 is taken as the reference standard.
Figure 4. Responses of Xenopus oocytes with co-expressed PxylOR1/PxylOrco or PxylOR4/PxylOrco to stimulation with pheromone compounds.(A) (Upper left) Inward current responses of PxylOR1/PxylOrco Xenopus oocytes in response to 10−4 M of pheromone compounds and analogs. (Upper right) Response profile of PxylOR1/PxylOrco Xenopus oocytes. Error bars indicate SEM (n = 6). (Lower left) PxylOR1/PxylOrco Xenopus oocytes stimulated with a range of Z11-16: Ald concentrations. (Lower right) Dose–response curve of PxylOR1/PxylOrco Xenopus oocytes to Z11-16:Ald. Responses are normalized by defining the maximal response as 100%. Z11-16: Ald EC50 = 2.39×10−5 (n = 5). Error bar indicates SEM. (B) (Upper left) Inward current responses of PxylOR4/PxylOrco Xenopus oocytes in response to 10−4 M of pheromone compounds and analogs. (Upper right) Response profile of PxylOR4/PxylOrco Xenopus oocytes. Error bars indicate SEM (n = 7). (Lower left) PxylOR4/PxylOrco Xenopus oocytes stimulated with a range of pheromone Z9-14: Ac and analog Z9, E12-14: Ac concentrations, respectively. (Lower right) Dose–response curve of PxylOR4/PxylOrco Xenopus oocytes to Z9-14: Ac and Z9, E12-14: Ac. Responses are normalized by defining the maximal response as 100%. Z9-14: Ac EC50 = 2.43×10−7 (n = 7) and Z9, E12-14: Ac EC50 = 1.94×10−6 (n = 5). Error bar indicates SEM.
Figure 5. Expression of PxylOR1 and PxylOR4 genes in male antenna of P. xylostella.In situ hybridizations were performed with digoxigenin-labelled antisense RNA probes on longitudinal tissue sections of male antennae. Signals were visualized using an anti-DIG antibody. (A) Hybridization signals in one segment of the P. xylostella antenna are shown. (B) Negative control with a DIG-labeled sense probe. (C) Higher magnification of long trichoid sensilla with hybridization signals. (D) to (G) No hybridization signal was detected under short trichoid sensilla, basiconi sensilla, coeloconic sensilla and chaetica sensilla. Scale bars: 5 µm in A–B and 2 µm in C–G.
Figure 6. PBP-mediated responses of PxylOR1/PxylOrco Xenopus oocytes.(A) Inward current responses of PxylOR1/PxylOrco Xenopus oocytes in response to 10−5 M of Z11-16: Ald solubilized by DMSO, 1XRinger, or each of three PxylPBPs, respectively. (B) Response profile of PxylOR1/PxylOrco Xenopus oocytes. Error bars indicate SEM (n = 5). Statistical comparison of responses of oocytes was assessed using one-way analysis of variance (ANOVA). (C) Dose–response profile of PxylOR1/PxylOR2Xenopus oocytes upon stimulation with different Z11-16: Ald concentrations solubilized by DMSO (n = 5), 1 µM PxylPBP1 (n = 4) and 1 µM PxylPBP3 (n = 4), respectively. Responses are normalized by defining the maximal response as 100%. Error bar indicates SEM.
Figure 7. PBP-mediated responses of PxylOR4/PxylOrco Xenopus oocytes to Z9-14: Ac.(A) Inward current responses of PxylOR4/PxylOrco Xenopus oocytes in response to 10−5 M of Z9-14: Ac solubilized by 1XRinger, or each of three PxylPBPs, respectively. (B) Response profile of PxylOR4/PxylOrco Xenopus oocytes. Error bars indicate SEM (n = 5). Statistical comparison of responses of oocytes was assessed using one-way analysis of variance (ANOVA). (C) Dose–response profile of PxylOR4/PxylOrco Xenopus oocytes upon stimulation with different Z9-14: Ac concentrations solubilized by 1XRinger (n = 7), 1 µM PxylPBP1 (n = 4), 1 µM PxylPBP2 (n = 4), 1 µM PxylPBP3 (n = 4), respectively. Responses are normalized by defining the maximal response as 100%. Error bar indicates SEM.
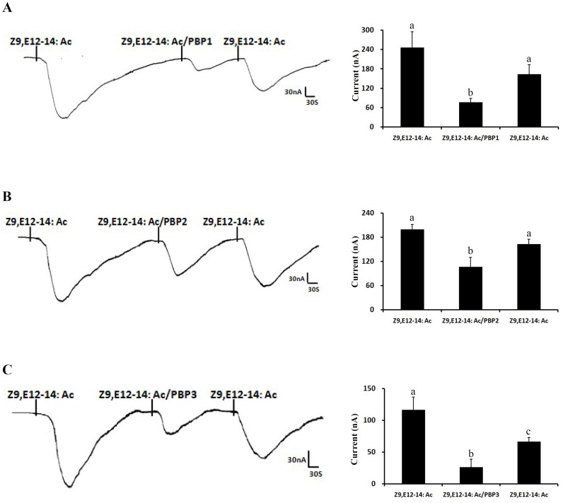
Figure 8. PxylOR4/PxylOrco Xenopus oocytes to Z9, E12-14: Ac of PxylPBP1-mediated (A), PxylPBP2-mediated (B), PxylPBP3-mediated (C)response, respectively.(Left)Inward current responses of PxylOR4/PxylOrco Xenopus oocytes in response to 10−5 M of Z9, E12-14: Ac solubilized by 1XRinger, PxylPBP and 1XRinger successively. (Right) Response profile of PxylOR4/PxylOrco Xenopus oocytes. Error bars indicate SEM (n = 3). Statistical comparison of responses of oocytes was assessed using one-way analysis of variance (ANOVA).
Figure 1. Sequence analysis of six candidate pheromone receptors.Seven putative trans-membrane domains are indicated with red bar and “TMH ‘n’” designation, where ‘n’ designates sequential order of the putative transmembrane domain. Trans-membrane domains were predicted by TMHMM Server v. 2.0 (http://www.cbs.dtu.dk/services/TMHMM/).
Bohbot,
Antennal expressed genes of the yellow fever mosquito (Aedes aegypti L.); characterization of odorant-binding protein 10 and takeout.
2005, Pubmed
Bohbot,
Antennal expressed genes of the yellow fever mosquito (Aedes aegypti L.); characterization of odorant-binding protein 10 and takeout.
2005,
Pubmed Chisholm,
Field trapping of diamondback mothPlutella xylostella using an improved four-component sex attractant blend.
1983,
Pubmed Clyne,
A novel family of divergent seven-transmembrane proteins: candidate odorant receptors in Drosophila.
1999,
Pubmed Forstner,
A receptor and binding protein interplay in the detection of a distinct pheromone component in the silkmoth Antheraea polyphemus.
2009,
Pubmed Grosse-Wilde,
Candidate pheromone receptors provide the basis for the response of distinct antennal neurons to pheromonal compounds.
2007,
Pubmed Grosse-Wilde,
A pheromone-binding protein mediates the bombykol-induced activation of a pheromone receptor in vitro.
2006,
Pubmed Große-Wilde,
Sex-specific odorant receptors of the tobacco hornworm manduca sexta.
2010,
Pubmed Hallem,
The molecular basis of odor coding in the Drosophila antenna.
2004,
Pubmed Hildebrand,
Analysis of chemical signals by nervous systems.
1995,
Pubmed Ishida,
Rapid inactivation of a moth pheromone.
2005,
Pubmed Jordan,
Odorant receptors from the light brown apple moth (Epiphyas postvittana) recognize important volatile compounds produced by plants.
2009,
Pubmed Krieger,
A divergent gene family encoding candidate olfactory receptors of the moth Heliothis virescens.
2002,
Pubmed Krieger,
Genes encoding candidate pheromone receptors in a moth (Heliothis virescens).
2004,
Pubmed Leal,
Odorant reception in insects: roles of receptors, binding proteins, and degrading enzymes.
2013,
Pubmed Liu,
Candidate olfaction genes identified within the Helicoverpa armigera Antennal Transcriptome.
2012,
Pubmed Livak,
Analysis of relative gene expression data using real-time quantitative PCR and the 2(-Delta Delta C(T)) Method.
2001,
Pubmed Lu,
Odor coding in the maxillary palp of the malaria vector mosquito Anopheles gambiae.
2007,
Pubmed Mitsuno,
Identification of receptors of main sex-pheromone components of three Lepidopteran species.
2008,
Pubmed
,
Xenbase Montagné,
Functional characterization of a sex pheromone receptor in the pest moth Spodoptera littoralis by heterologous expression in Drosophila.
2012,
Pubmed Mustaparta,
Chemical information processing in the olfactory system of insects.
1990,
Pubmed Regnier,
Insect pheromones.
1968,
Pubmed Rützler,
Molecular biology of insect olfaction: recent progress and conceptual models.
2005,
Pubmed Sakurai,
A single sex pheromone receptor determines chemical response specificity of sexual behavior in the silkmoth Bombyx mori.
2011,
Pubmed Sengul,
Characterization and expression of the odorant-binding protein 7 gene in Anopheles stephensi and comparative analysis among five mosquito species.
2008,
Pubmed Smith,
Odor and pheromone detection in Drosophila melanogaster.
2007,
Pubmed Sun,
Expression patterns and binding properties of three pheromone binding proteins in the diamondback moth, Plutella xyllotella.
2013,
Pubmed Syed,
Pheromone reception in fruit flies expressing a moth's odorant receptor.
2006,
Pubmed Wang,
Molecular basis of odor coding in the malaria vector mosquito Anopheles gambiae.
2010,
Pubmed
,
Xenbase Wicher,
Drosophila odorant receptors are both ligand-gated and cyclic-nucleotide-activated cation channels.
2008,
Pubmed Yang,
The olfactory co-receptor Orco from the migratory locust (Locusta migratoria) and the desert locust (Schistocerca gregaria): identification and expression pattern.
2012,
Pubmed