Click here to close
Hello! We notice that you are using Internet Explorer, which is not supported by Xenbase and may cause the site to display incorrectly.
We suggest using a current version of Chrome,
FireFox, or Safari.
Korean J Physiol Pharmacol
2013 Apr 01;172:127-32. doi: 10.4196/kjpp.2013.17.2.127.
Show Gene links
Show Anatomy links
Inhibitory Effects of Ginsenoside Metabolites, Compound K and Protopanaxatriol, on GABAC Receptor-Mediated Ion Currents.
Lee BH, Hwang SH, Choi SH, Kim HJ, Lee JH, Lee SM, Ahn YG, Nah SY.
???displayArticle.abstract???
Ginsenosides, one of the active ingredients of Panax ginseng, show various pharmacological and physiological effects, and they are converted into compound K (CK) or protopanaxatriol (M4) by intestinal microorganisms. CK is a metabolite derived from protopanaxadiol (PD) ginsenosides, whereas M4 is a metabolite derived from protopanaxatriol (PT) ginsenosides. The γ-aminobutyric acid receptorC (GABAC) is primarily expressed in retinal bipolar cells and several regions of the brain. However, little is known of the effects of ginsenoside metabolites on GABAC receptor channel activity. In the present study, we examined the effects of CK and M4 on the activity of human recombinant GABAC receptor (ρ1) channels expressed in Xenopus oocytes by using a 2-electrode voltage clamp technique. In oocytes expressing GABAC receptor cRNA, we found that CK or M4 alone had no effect in oocytes. However, co-application of either CK or M4 with GABA inhibited the GABA-induced inward peak current (IGABA ). Interestingly, pre-application of M4 inhibited IGABA more potently than CK in a dose-dependent and reversible manner. The half-inhibitory concentration (IC50) values of CK and M4 were 52.1±2.3 and 45.7±3.9 µM, respectively. Inhibition of IGABA by CK and M4 was voltage-independent and non-competitive. This study implies that ginsenoside metabolites may regulate GABAC receptor channel activity in the brain, including in the eyes.
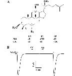
Fig. 1. Chemical structure of the ginsenoside metabolites CK and M4 (A) and their effect on oocytes expressing GABAC receptors (B). CK and M4 had no effect on IGABA in oocytes expressing GABAC receptors.
Fig. 2. Effect of CK and M4 on IGABA in oocytes expressing the ρ1 GABAC receptor. (A) GABA (2 µM) was first applied and then was co- or pre-treated with CK (100 µM). Co-treatment of CK with GABA and pre-treatment of CK before GABA application inhibited IGABA in oocytes expressing ρ1 GABAC receptors. (B) GABA (2 µM) was first applied and then co- or pre-treated with M4 (100 µM). Co-treatment of M4 with GABA and pre-treatment of M4 before GABA application inhibited IGABA in oocytes expressing ρ1 GABAC receptors. The resting membrane potential of oocytes was approximately -35 mV and oocytes were voltage clamped at a holding potential of -80 mV prior to drug application. Traces are representative of 8~12 separate oocytes from 3 different frogs. (C) Summary of percent inhibition by CK and M4 of IGABA calculated from the average of the peak inward current elicited by GABA alone before CK and M4 and the peak inward current elicited by GABA alone after co- and pre-treatment of CK and M4 with GABA. Each point represents the mean±S.E.M. (n=9~12 from 3 different frogs). *p <0.05 as compared to co-treatment of CK and M4, and #p<0.05 as compared to CK.
Fig. 3. Concentration-dependent effects of CK and M4 on IGABA in oocytes expressing ρ1 GABAC receptors. (A, B) The trace shows that CK and M4 inhibited the currents elicited by GABA (GABA; 2 µM) in a dose-dependent manner. (C) Percent inhibition by CK and M4 of IGABA was calculated from the average of the peak inward current elicited by GABA alone before CK and M4 and the peak inward current elicited by GABA alone after pre-treatment of CK and M4 before GABA. The continuous line shows the curve fitted according to the equation. Each point represents the mean±S.E.M. (n=9~12 from 3 different frogs). *p<0.005 as compared to CK.
Fig. 4. Voltage-independent inhibition by CK and M4. (A) GABA (2 µM) was first applied and pre-treatment of CK (100 µM) or M4 (100 µM) before GABA application inhibited IGABA in oocytes expressing ρ1 GABAC receptors. The inhibitory degrees were very similar at -30 mV and -120 mV of membrane potential. (B) Voltage-independent inhibition of IGABA in GABAC receptors by CK and M4. Values were obtained from the receptors in the absence or presence of 100 µM CK and M4 at the indicated membrane holding potentials. The observed effects of CK and M4 were correlated with membrane potential. No significant effects were noted for CK (r2=0.28, p>0.31) and M4 (r2=0.10, p>0.44).
Fig. 5. Current-voltage relationships and concentration-dependent effects of GABA on CK- and M4-mediated inhibition of IGABA. (A) Current-voltage relationships of IGABA inhibition by CK and M4 in GABAC receptors. Representative current-voltage relationships were obtained using voltage ramps of -100 to +40 mV for 300 ms at a holding potential of -80 mV. Voltage steps were applied before and after application of 2 µM GABA in the absence or presence of 100 µM CK and M4. (B) Concentration-response relationships for GABA in GABAC receptors with GABA applied (0.3~30 µM) alone or with GABA plus pre-treatment of 100 µM CK and M4 before GABA application. IGABA of oocytes expressing the GABAC receptors was measured using the indicated concentration of GABA in the absence (□) or presence (○) of 100 µM CK or presence (△) of 100 µM M4. Oocytes were voltage-clamped at a holding potential of -80 mV. Each point represents the mean±S.E.M. (n=8~12/group).
Attele,
Ginseng pharmacology: multiple constituents and multiple actions.
1999, Pubmed
Attele,
Ginseng pharmacology: multiple constituents and multiple actions.
1999,
Pubmed Bormann,
The 'ABC' of GABA receptors.
2000,
Pubmed Chebib,
GABA-Activated ligand gated ion channels: medicinal chemistry and molecular biology.
2000,
Pubmed Cheung,
Enhanced survival and regeneration of axotomized retinal ganglion cells by a mixture of herbal extracts.
2002,
Pubmed Choi,
Effects of ginsenosides on GABA(A) receptor channels expressed in Xenopus oocytes.
2003,
Pubmed
,
Xenbase Choi,
Ginsenoside Rg(3) decelerates hERG K(+) channel deactivation through Ser631 residue interaction.
2011,
Pubmed
,
Xenbase Drew,
Bicuculline-insensitive GABA receptors: studies on the binding of (-)-baclofen to rat cerebellar membranes.
1984,
Pubmed Feigenspan,
Modulation of GABAC receptors in rat retinal bipolar cells by protein kinase C.
1994,
Pubmed Goutman,
Studies on the mechanisms of action of picrotoxin, quercetin and pregnanolone at the GABA rho 1 receptor.
2004,
Pubmed
,
Xenbase Hasegawa,
Prevention of growth and metastasis of murine melanoma through enhanced natural-killer cytotoxicity by fatty acid-conjugate of protopanaxatriol.
2002,
Pubmed Hasegawa,
Main ginseng saponin metabolites formed by intestinal bacteria.
1996,
Pubmed Johnston,
GABAc receptors: relatively simple transmitter -gated ion channels?
1996,
Pubmed Johnston,
GABA(C) receptors as drug targets.
2003,
Pubmed Karikura,
Studies on absorption, distribution, excretion and metabolism of ginseng saponins. VI. The decomposition products of ginsenoside Rb2 in the stomach of rats.
1991,
Pubmed Kim,
A role for the carbohydrate portion of ginsenoside Rg3 in Na+ channel inhibition.
2005,
Pubmed
,
Xenbase Lee,
Quercetin Inhibits α3β4 Nicotinic Acetylcholine Receptor-Mediated Ion Currents Expressed in Xenopus Oocytes.
2011,
Pubmed
,
Xenbase Lee,
Inhibitory Effects of Quercetin on Muscle-type of Nicotinic Acetylcholine Receptor-Mediated Ion Currents Expressed in Xenopus Oocytes.
2011,
Pubmed
,
Xenbase Lee,
Differential effect of ginsenoside metabolites on the 5-HT3A receptor-mediated ion current in Xenopus oocytes.
2004,
Pubmed
,
Xenbase Lee,
Effects of Ginsenoside Metabolites on GABAA Receptor-Mediated Ion Currents.
2012,
Pubmed
,
Xenbase McCall,
Elimination of the rho1 subunit abolishes GABA(C) receptor expression and alters visual processing in the mouse retina.
2002,
Pubmed Nah,
Ginsenosides: are any of them candidates for drugs acting on the central nervous system?
2007,
Pubmed Sen,
Preventive effects of North American ginseng (Panax quinquefolius) on diabetic retinopathy and cardiomyopathy.
2013,
Pubmed Shimada,
gamma-Aminobutyric acid A or C receptor? gamma-Aminobutyric acid rho 1 receptor RNA induces bicuculline-, barbiturate-, and benzodiazepine-insensitive gamma-aminobutyric acid responses in Xenopus oocytes.
1992,
Pubmed
,
Xenbase Shin,
Effects of protopanaxatriol-ginsenoside metabolites on rat N-methyl-d-aspartic Acid receptor-mediated ion currents.
2012,
Pubmed Sine,
Local anesthetics and histrionicotoxin are allosteric inhibitors of the acetylcholine receptor. Studies of clonal muscle cells.
1982,
Pubmed Strata,
Transient expression of a novel type of GABA response in rat CA3 hippocampal neurones during development.
1994,
Pubmed Wahid,
Effects of red ginseng extract on visual sensitivity and ERG b-wave of bullfrog's eye.
2010,
Pubmed Wakabayashi,
An intestinal bacterial metabolite of ginseng protopanaxadiol saponins has the ability to induce apoptosis in tumor cells.
1998,
Pubmed Wässle,
Glycine and GABA receptors in the mammalian retina.
1998,
Pubmed Zhang,
Structure and function of GABA(C) receptors: a comparison of native versus recombinant receptors.
2001,
Pubmed