Click here to close Hello! We notice that you are using Internet Explorer, which is not supported by Xenbase and may cause the site to display incorrectly. We suggest using a current version of Chrome, FireFox, or Safari.
XB-ART-47136
J Ginseng Res 2012 Jan 01;361:55-60. doi: 10.5142/jgr.2012.36.1.55.
Show Gene links Show Anatomy links

Effects of Ginsenoside Metabolites on GABAA Receptor-Mediated Ion Currents.

Lee BH, Choi SH, Shin TJ, Hwang SH, Kang J, Kim HJ, Kim BJ, Nah SY.


???displayArticle.abstract???
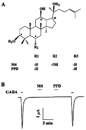
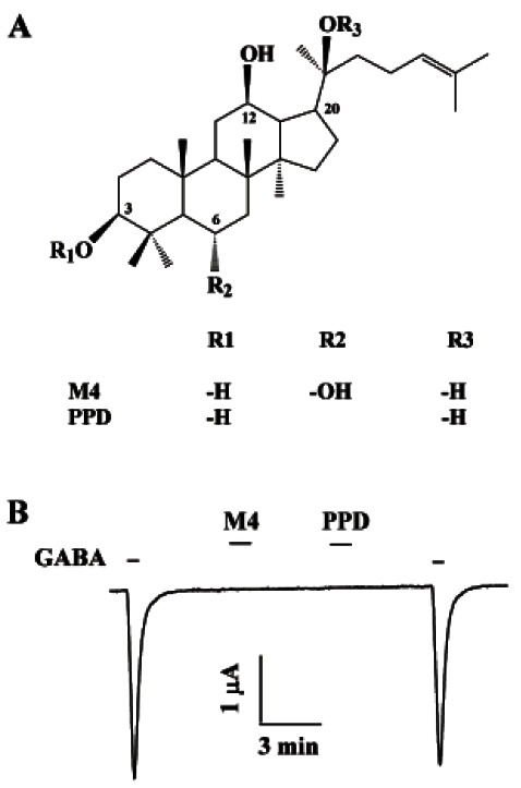
In a previous report, we demonstrated that ginsenoside Rc, one of major ginsenosides from Panax ginseng, enhances γ-aminobutyric acid (GABA) receptorA (GABAA)-mediated ion channel currents. However, little is known about the effects of ginsenoside metabolites on GABAA receptor channel activity. The present study investigated the effects of ginsenoside metabolites on human recombinant GABAA receptor (α1β1γ2s) channel activity expressed in Xenopus oocytes using a two-electrode voltage clamp technique. M4, a metabolite of protopanaxatriol ginsenosides, more potently inhibited the GABA-induced inward peak current (IGABA ) than protopanaxadiol (PPD), a metabolite of PPD ginsenosides. The effect of M4 and PPD on IGABA was both concentration-dependent and reversible. The half-inhibitory concentration (IC50) values of M4 and PPD were 17.1±2.2 and 23.1±8.6 μM, respectively. The inhibition of IGABA by M4 and PPD was voltage-independent and non-competitive. This study implies that the regulation of GABAA receptor channel activity by ginsenoside metabolites differs from that of ginsenosides.

???displayArticle.pubmedLink??? 23717104
???displayArticle.pmcLink??? PMC3659565
???displayArticle.link??? J Ginseng Res


Species referenced: Xenopus
Genes referenced: ccn6 gabarap vsx1


???attribute.lit??? ???displayArticles.show???
References [+] :
Bloom, Localizing 3H-GABA in nerve terminals of rat cerebral cortex by electron microscopic autoradiography. 1971, Pubmed