Click here to close
Hello! We notice that you are using Internet Explorer, which is not supported by Xenbase and may cause the site to display incorrectly.
We suggest using a current version of Chrome,
FireFox, or Safari.
J Ginseng Res
2013 Jul 01;373:324-31. doi: 10.5142/jgr.2013.37.324.
Show Gene links
Show Anatomy links
Differential effects of ginsenoside metabolites on slowly activating delayed rectifier K(+) and KCNQ1 K(+) channel currents.
Choi SH, Lee BH, Kim HJ, Jung SW, Hwang SH, Nah SY.
???displayArticle.abstract???
Channels formed by the co-assembly of the KCNQ1 subunit and the mink (KCNE1) subunit underline the slowly activating delayed rectifier K(+) channels (IKs ) in the heart. This K(+) channel is one of the main pharmacological targets for the development of drugs against cardiovascular disease. Panax ginseng has been shown to exhibit beneficial cardiovascular effects. In a previous study, we showed that ginsenoside Rg3 activates human KCNQ1 K(+) channel currents through interactions with the K318 and V319 residues. However, little is known about the effects of ginsenoside metabolites on KCNQ1 K(+) alone or the KCNQ1 + KCNE1 K(+) (IKs ) channels. In the present study, we examined the effect of protopanaxatriol (PPT) and compound K (CK) on KCNQ1 K(+) and IKs channel activity expressed in Xenopus oocytes. PPT more strongly inhibited the IKs channel currents than the currents of KCNQ1 K(+) alone in concentration- and voltage-dependent manners. The IC50 values on IKs and KCNQ1 alone currents for PPT were 5.18±0.13 and 10.04±0.17 μM, respectively. PPT caused a leftward shift in the activation curve of IKs channel activity, but minimally affected KCNQ1 alone. CK exhibited slight inhibition on IKs and KCNQ1 alone K(+) channel currents. These results indicate that ginsenoside metabolites show limited effects on IKs channel activity, depending on the structure of the ginsenoside metabolites.
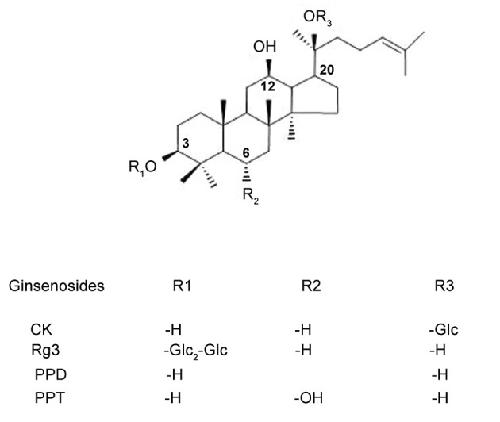
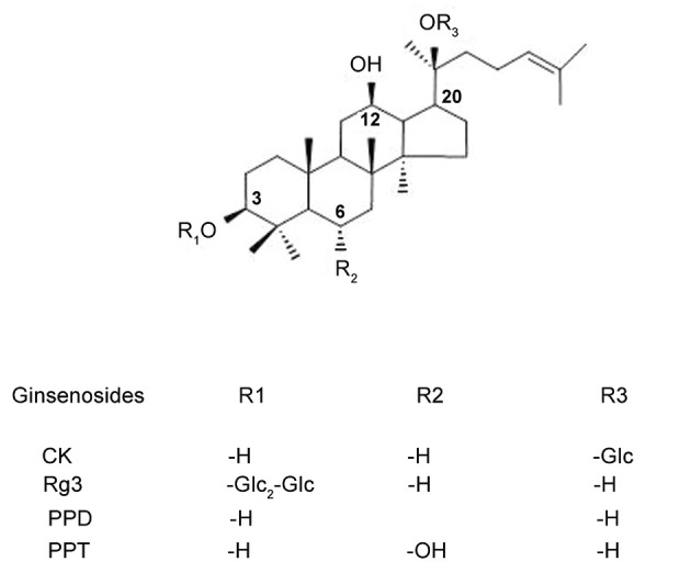
Fig. 1. Chemical structures of ginsenoside Rg3 and ginsenoside metabolites used in this study. CK, compound K; PPD, protopanaxadiol; PPT, protopanaxatriol; Glc, glucopyranoside.
Fig. 2. Effects of protopanaxatriol (PPT) on IKs channel currents. (A) The representative traces on IKs channel current blocks by different concentrations of PPT. Currents were in response to 2.5-s voltage steps up to +30 mV from a holding potential of –80 mV. (B) Concentration-response curves of PPT on IKs and KCNQ1 alone channel currents. Solid lines have been fitted to the Hill equation as described in Materials and Methods. Oocytes were clamped at the same as described for (A), and evoked every 10 s. (C) Current-voltage (I-V) relationships of IKs channel in the absence (●) or presence (○) of 10 μM PPT. Voltage pulses of 3-second duration were applied in 10-mV increments and at 10-second intervals from a holding potential of –80 mV. The peaks of the evoked currents, normalized to the peak current evoked by the voltage step to +30 mV in the absence of PPT, were used in the I-V plot. (D) An example of IKs channel currents recorded before (control) and after modification by 10 and 30 μM PPT. Currents recorded during 3-second depolarizing pulses to membrane potentials of –60 to +50 mV, applied from a holding potential of –80 mV. Tail currents were measured at –70 mV. Voltage-dependent activation curves were determined from the normalized amplitudes of tail currents. Data were fitted to a Boltzmann function. Data represent the mean±SEM (n= 6–7).
Fig. 3. Effects of compound K (CK) on IKs channel currents. (A) Representative current traces on IKs channel inhibitions by different concentrations of CK. (B) Concentration-response curves of CK on IKs channel currents. (C) I-V relationships for KCNQ1 plus KCNE1 channel currents measurement at the end of the 3-second test pulse before and after application of 30 μM CK. (D) The steady-state activation curve for IKs channel currents by 30 μM CK. Protocols were the same as described for Fig. 2. Data are represented by the mean±SEM (n=7).
Fig. 4. Effects of protopanaxatriol (PPT) on KCNQ1 alone channel. (A) The representative traces on KCNQ1 alone channel current inhibition by different concentrations of PPT. Protocols were the same as described for Fig. 2. (B) Concentration-response curves of PPT on KCNQ1 alone channel currents. (C) Current-voltage (I-V) relationships of KCNQ1 alone channels in the absence (●) or presence (○) of 30 μM PPT. (D) Example of KCNQ1 channel currents recorded before (control) and after modification by 30 μM PPT. Protocols were the same as described for Fig. 2. Data represent the mean±SEM (n=5–7).
Fig. 5. Effects of compound K (CK) on KCNQ1 alone channel currents. (A) Representative current traces on KCNQ1 alone channel inhibition by different concentrations of CK. (B) Concentration-response curves of CK on KCNQ1 alone channel currents. (C) I-V relationships for KCNQ1 alone channel currents measurement at the end of the 3-second test pulse before and after application of 30 μM CK. (D) The steady-state activation curve for KCNQ1 alone channel currents by 30 μM CK. Protocols were the same as described for Fig. 2. Data are represented by the mean±SEM (n=6).
Akao,
Appearance of compound K, a major metabolite of ginsenoside Rb1 by intestinal bacteria, in rat plasma after oral administration--measurement of compound K by enzyme immunoassay.
1998, Pubmed
Akao,
Appearance of compound K, a major metabolite of ginsenoside Rb1 by intestinal bacteria, in rat plasma after oral administration--measurement of compound K by enzyme immunoassay.
1998,
Pubmed Attele,
Ginseng pharmacology: multiple constituents and multiple actions.
1999,
Pubmed Bae,
Constitutive beta-glucosidases hydrolyzing ginsenoside Rb1 and Rb2 from human intestinal bacteria.
2000,
Pubmed Bai,
Electrophysiological effects of ginseng and ginsenoside Re in guinea pig ventricular myocytes.
2003,
Pubmed Barhanin,
K(V)LQT1 and lsK (minK) proteins associate to form the I(Ks) cardiac potassium current.
1996,
Pubmed
,
Xenbase Chen,
Vascular effects of ginsenosides in vitro.
1984,
Pubmed Chen,
Cardiovascular protection by ginsenosides and their nitric oxide releasing action.
1996,
Pubmed Cheng,
Two components of delayed rectifier K+ current in heart: molecular basis, functional diversity, and contribution to repolarization.
2004,
Pubmed Choi,
Ginsenoside Rg3 activates human KCNQ1 K+ channel currents through interacting with the K318 and V319 residues: a role of KCNE1 subunit.
2010,
Pubmed
,
Xenbase Choi,
Differential effects of ginsenoside metabolites on HERG k channel currents.
2011,
Pubmed
,
Xenbase Furukawa,
Ginsenoside Re, a main phytosterol of Panax ginseng, activates cardiac potassium channels via a nongenomic pathway of sex hormones.
2006,
Pubmed Grahammer,
The cardiac K+ channel KCNQ1 is essential for gastric acid secretion.
2001,
Pubmed Hasegawa,
Prevention of growth and metastasis of murine melanoma through enhanced natural-killer cytotoxicity by fatty acid-conjugate of protopanaxatriol.
2002,
Pubmed Kim,
A role for the carbohydrate portion of ginsenoside Rg3 in Na+ channel inhibition.
2005,
Pubmed
,
Xenbase Lee,
Effects of ginsenosides and their metabolites on voltage-dependent Ca(2+) channel subtypes.
2006,
Pubmed
,
Xenbase Lee,
Characteristics of ginsenoside Rg3-mediated brain Na+ current inhibition.
2005,
Pubmed
,
Xenbase Mall,
Cholinergic ion secretion in human colon requires coactivation by cAMP.
1998,
Pubmed Neyroud,
A novel mutation in the potassium channel gene KVLQT1 causes the Jervell and Lange-Nielsen cardioauditory syndrome.
1997,
Pubmed Pusch,
Activation and inactivation of homomeric KvLQT1 potassium channels.
1998,
Pubmed
,
Xenbase Robbins,
KCNQ potassium channels: physiology, pathophysiology, and pharmacology.
2001,
Pubmed Roden,
Cardiac ion channels.
2002,
Pubmed Salata,
A novel benzodiazepine that activates cardiac slow delayed rectifier K+ currents.
1998,
Pubmed
,
Xenbase Sanguinetti,
Dysfunction of delayed rectifier potassium channels in an inherited cardiac arrhythmia.
1999,
Pubmed Sanguinetti,
Coassembly of K(V)LQT1 and minK (IsK) proteins to form cardiac I(Ks) potassium channel.
1996,
Pubmed
,
Xenbase Seebohm,
Identification of specific pore residues mediating KCNQ1 inactivation. A novel mechanism for long QT syndrome.
2001,
Pubmed
,
Xenbase Seebohm,
Pharmacological activation of normal and arrhythmia-associated mutant KCNQ1 potassium channels.
2003,
Pubmed
,
Xenbase Shin,
Effects of protopanaxatriol-ginsenoside metabolites on rat N-methyl-d-aspartic Acid receptor-mediated ion currents.
2012,
Pubmed Snyders,
Structure and function of cardiac potassium channels.
1999,
Pubmed Splawski,
Mutations in the hminK gene cause long QT syndrome and suppress IKs function.
1997,
Pubmed
,
Xenbase Tawab,
Degradation of ginsenosides in humans after oral administration.
2003,
Pubmed Tristani-Firouzi,
Structural determinants and biophysical properties of HERG and KCNQ1 channel gating.
2003,
Pubmed Wakabayashi,
In vivo antimetastatic action of ginseng protopanaxadiol saponins is based on their intestinal bacterial metabolites after oral administration.
1997,
Pubmed Wang,
Positional cloning of a novel potassium channel gene: KVLQT1 mutations cause cardiac arrhythmias.
1996,
Pubmed Wang,
Ginsenoside compound K, not Rb1, possesses potential chemopreventive activities in human colorectal cancer.
2012,
Pubmed