XB-ART-47975
Gene
2013 Oct 25;5292:269-75. doi: 10.1016/j.gene.2013.07.064.
Show Gene links
Show Anatomy links
Dehydration mediated microRNA response in the African clawed frog Xenopus laevis.
???displayArticle.abstract???
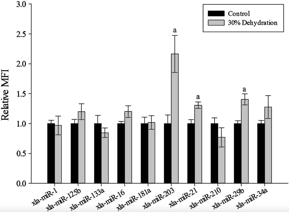
Exposure to various environmental stresses induces metabolic rate depression in many animal species, an adaptation that conserves energy until the environment is again conducive to normal life. The African clawed frog, Xenopus laevis, is periodically subjected to arid summers in South Africa, and utilizes entry into the hypometabolic state of estivation as a mechanism of long term survival. During estivation, frogs must typically deal with substantial dehydration as their ponds dry out and X. laevis can endure >30% loss of its body water. We hypothesize that microRNAs play a vital role in establishing a reversible hypometabolic state and responding to dehydration stress that is associated with amphibian estivation. The present study analyzes the effects of whole body dehydration on microRNA expression in three tissues of X. laevis. Compared to controls, levels of miR-1, miR-125b, and miR-16-1 decreased to 37±6, 64±8, and 80±4% of control levels during dehydration in liver. By contrast, miR-210, miR-34a and miR-21 were significantly elevated by 3.05±0.45, 2.11±0.08, and 1.36±0.05-fold, respectively, in the liver. In kidney tissue, miR-29b, miR-21, and miR-203 were elevated by 1.40±0.09, 1.31±0.05, and 2.17±0.31-fold, respectively, in response to dehydration whereas miR-203 and miR-34a were elevated in ventral skin by 1.35±0.05 and 1.74±0.12-fold, respectively. Bioinformatic analysis of the differentially expressed microRNAs suggests that these are mainly involved in two processes: (1) expression of solute carrier proteins, and (2) regulation of mitogen-activated protein kinase signaling. This study is the first report that shows a tissue specific mode of microRNA expression during amphibian dehydration, providing evidence for microRNAs as crucial regulators of metabolic depression.
???displayArticle.pubmedLink??? 23958654
???displayArticle.link??? Gene
Species referenced: Xenopus laevis
Genes referenced: mapk1
???attribute.lit??? ???displayArticles.show???
