|
Figure 1. Acidic residues in the voltage sensor of EAG superfamily channels. (A) A single subunit of a tetrameric EAG superfamily K+ channel is diagrammed with transmembrane domains S1–S6 depicted as rectangles. S1–S4 form the voltage sensor, and S5–S6 constitute the conduction pathway. Acidic residues of the voltage sensor are marked in red. Basic gating charges in the S4 helix are depicted with + symbols, and an Elk-specific histidine residue at the outer edge of S4 is marked in green. Acidic residues 1–3 are highly conserved across voltage-gated cation channels, and acidic residues 4–6 are specific to the EAG superfamily (among K+ channels). Residue positions for the three S2/S3 acidics that are accessible from the extracellular side (D1, D/E5, and D6) are given for mouse Kv10.2, human Kv11.1, and mouse Kv12.1. (B) Schematic structural drawing of a single subunit of an Elk family K+ channel. Side chains of four residues participating in binding of divalent cations are depicted with oxygens and nitrogens highlighted in red and green, respectively. These residues (D1, E5, D6, and the Elk-specific histidine in S4) are predicted to lie in close proximity within an aqueous cleft in the outer voltage sensor. (C) Amino acid alignments of the transmembrane voltage sensor helices S2–S4 are shown for various EAG superfamily K+ channels, the olfactory CNG channel α subunit (CNGA2), a sea urchin HCN channel (SPIH), and Drosophila Shaker. Species prefixes m and h in the channel names refer to mouse and human, respectively. Conserved residues are shaded. Acidic residues are labeled in red and marked with the position numbers defined in A. Asterisks mark the EAG-specific acidic residue positions in S2 and S3. Basic residues and Elk-specific histidine in S4 are highlighted in blue and green, respectively. |
|
Figure 2. Effect of extracellular pH on voltage activation of Kv12.1. (A) Kv12.1 current traces elicited by 4-s depolarization steps from −100 to 20 mV (in 20-mV increments from a holding potential of −100 mV) are shown for bath solutions of pH 6, 7, and 8. Tail step voltage was −40 mV. Recordings were made from a single Xenopus oocyte using TEVC. Scale bar: 2.5 µA, 1 s. (B) Normalized GV relations for Kv12.1 at pH 6 (black), 7 (red), and 8 (blue). Conductance values were taken from isochronal tail currents recorded at −40 mV after 4-s depolarization steps to the indicated voltages. Error bars show SEM (n = 3–8), and lines show single Boltzmann distribution fits. The gray line at −60 mV indicates the voltage used in Fig. 4 to examine pH-dependent changes in holding current for Kv12.1. (C) Plot of V50 versus pH for Kv12.1. V50 values were determined as in B, and the curve shows a three-parameter dose–response fit yielding a pKa value of 6.5. Error bars show SEM (n = 3–8). (D) Current traces from the 20-mV voltage step in A are normalized and superimposed to highlight changes of activation time course; bath pH is encoded by color as in A. The graph shows the time necessary for Kv12.1 to reach 80% activation (t80) during steps to 20 mV (from a holding potential of −100 mV) at pH 6, 7, and 8. A log10 scale was applied to the t80 axis to better visualize the entire range of values, and statistical significance was judged using a two-tailed nonequal variance Student’s t test. (E) Data are analyzed and presented as in D, but normalized for V50 shift: the voltages selected for each pH were −30 mV for pH 8, −20 mV for pH 7, and 10 mV for pH 6 and corresponded as closely as possible to the same open probability, ∼V98. Data in D and E are mean ± SEM (n = 8). (F) Comparison of Zn2+-dependent shifts in Kv12.1 GV relationships at pH 6 and 8; data (mean ± SEM; n = 3–5) are shown for controls (squares), 100 µM Zn2+, and 1 mM Zn2+, and curves show single Boltzmann distribution fits. |
|
Figure 3. Effect of extracellular pH on voltage activation of Kv12.2. (A) Normalized GV curves determined in bath solutions of pH 6, 7, and 8 for Kv12.2; experiments were performed as described for Fig. 2 B, except depolarizing steps were limited to 2 s. Data points are mean, error bars show SEM (n = 3–5), curves depict single Boltzmann distribution fits, and the gray line marks −60 mV. (B) V50 versus pH is plotted for Kv12.2 with a three-parameter dose–response fit (pKa 6.9). |
|
Figure 4. Effect of bath pH changes on holding current in HEK293 cells expressing Elk channels. (A and C) Holding current versus time plots are shown for whole cell patch recordings of HEK293 cells expressing human Kv12.1 channel (A) and Kv12.3 channel (C) during a series of bath pH changes (values indicated above). Data points were taken every 5 s. A typical recording from an untransfected control cell is shown in E. (B, D, and F) Plots of holding current versus pH are given for human Kv12.1 (B), Kv12.3 (D), and Kv12.2 (F) channels. Data from individual cells were normalized to the magnitude of the holding current obtained at the highest and lowest bath pH values examined. Data points show mean ± SEM (n = 4–6), and curves show a four parameter dose–response fit with the predicted pKa value indicated. |
|
Figure 5. EAG superfamily–specific acidic residues in the voltage sensor are required for modulation of Kv12.1 activation by extracellular pH. (A–D) Normalized GV curves for WT Kv12.1, D261A (D1A), E265A (E5A), and D314A (D6A) are compared at bath pH values of 6, 7, and 8. Conductance was determined from isochronal tail currents recorded at −40 mV after 8-s steps to the indicated voltages; values show mean ± SEM (n = 4–8). Curves show single Boltzmann distribution fits. Fit parameters (V50 and slope factor) are reported in Table 1. Boxed insets show normalized and superimposed current traces for depolarization steps that correspond most closely to V95 asymptotic open probability at pH 7 for each mutant (−30 mV for WT, −10 mV for D261A, −10 mV for E265A, and 90 mV for D314A). |
|
Figure 6. Effect of charge-preserving mutations at D1, E5, and D6 on the pH sensitivity of Kv12.1 channel. (A–D) Normalized GV relations are shown for WT Kv12.1, D261E (D1E), E265D (E5D), and D314E (D6E) at bath pH 6, 7, and 8. Conductance was determined from isochronal tail currents recorded at −40 mV after 8-s steps to the indicated voltages; values show mean ± SEM (n = 4–8), and curves show single Boltzmann distribution fits. Fit parameters (V50 and slope factor) are reported in Table 1. |
|
Figure 7. S4 histidine H328 is not required for sensitivity to extracellular pH in Kv12.1. (A–E) Normalized GV relations for Kv12.1 WT and S4 histidine mutants are shown at three bath pH values: pH 6, 7, and 8. Conductance was determined from isochronal tail currents recorded at −40 mV after 8-s steps to the indicated voltages. Data points show mean ± SEM, and curves represent single Boltzmann distribution fits; parameters and n are given in Table 1, and V50 shifts from pH 8 to 6 are reported in Fig. 8. |
|
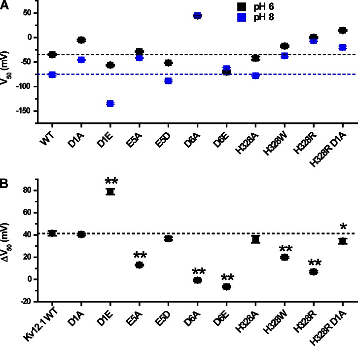
Figure 8. Comparison of V50 at pH 6 and 8 for Kv12.1 mutants. (A) V50 values are shown for pH 6 and 8 for WT and mutant Kv12.1 channels; values are taken from the single Boltzmann fits shown in Figs. 5–7. Dashed lines indicate the WT V50 values for pH 6 and 8. (B) Comparison of the pH 8 to 6 V50 shift for WT and mutant Kv12.1 channels. Shifts were calculated as a difference: ΔV50 = V50 (pH = 6) − V50 (pH = 8). The dashed line indicates the ΔV50 for Kv12.1 WT. Data points show mean ± SEM. Two-tailed nonequal variance Student’s t test was used to judge significance of the differences in ΔV50; asterisks indicate significant difference from WT: **, P < 0.001; and *, P < 0.05. |
|
Figure 9. High sensitivity to extracellular pH in Kv10.2 is conferred by EAG-specific acidic residues in the voltage sensor. (A) Kv10.2 current traces elicited by 2-s depolarization steps from −80 to 20 mV in 20-mV increments in bath pH 6, 7, and 8. 50 mM bath K+ was used to accentuate inward tail currents at the −100-mV holding potential. Scale bar: 1 µA, 500 ms. (B) Current traces recorded at 20 mV were normalized and superimposed to illustrate the effect of bath pH on activation time course. pH is encoded by color as in A. (C) Normalized GV relations for Kv10.2 obtained from isochronal tail current measurements at −100 mV in 50 mM K+ after 2-s steps to the indicated voltages in pH 6 (black), 7 (red), and 8 (blue). (D–G) Similar GV curves obtained for Kv10.2 voltage sensor acidic residue mutants D251N (D1N), D255C (D5C) D304N (D6N), and D304E (D6E). Data points in C–G show mean ± SEM (n = 4–10), and curves show single Boltzmann distribution fits; V50, slope factors, and ΔV50 (pH 8 to 6) are reported in Table 1 and Fig. 10. |
|
Figure 10. Shifts in V50 caused by the change of external pH from 8 to 6 for Kv10.2 mutants. (A) V50 values are shown for pH 6 and 8 for mouse Kv10.2 channel and its mutants; dashed lines are extended across the figure to indicate the WT values. V50 values were obtained from Boltzmann fits shown in Fig. 9 (C–G). (B) ΔV50 (pH 8 to 6) plots for Kv10.2 WT and S2/S3 acidic residue mutants. Significance was tested with a two-tailed nonequal variance Student’s t test; asterisks indicate significant difference with respect to WT: **, P < 0.001; and *, P < 0.005. The dashed line indicates the value of ΔV50 (pH 8 to 6) for WT Kv10.2. |
|
Figure 11. High pH sensitivity of Kv11.1 is revealed at low Ca2+ and depends on the EAG-specific acidic charges. (A) Normalized GV relations for Kv11.1 are shown for pH 6, 7, and 8 at 1 mM Ca2+ and for pH 6 and 8 at 50 µM Ca2+. Conductance values were determined from isochronal tail currents recorded at −40 mV after 4-s steps to the indicated voltages from a −100-mV holding potential. Data points show mean ± SEM (n = 4–10), and curves show Boltzmann fits; V50, slope factors, and ΔV50 (pH 8 to 6) are reported in Table 1 and Fig. 12. (B) ΔV50 (pH 8 to 6) for WT Kv11.1 is plotted as a function of Ca2+ concentration and fitted with a four-parameter dose–response curve. Log10 scale is applied to the Ca2+ concentration, and data points show mean ± SEM. (C–E) Normalized GV relationships for the EAG-specific charge mutants D460C (D5C) and D509C (D6C) and the universal acidic charge mutant D456C (D1C) are shown for pH 6, 7, and 8 at 1 mM Ca2+ and pH 6 and 8 at 50 µM Ca2+. Conditions are coded by shading and color as in A. Single Boltzmann fit parameters and ΔV50 (pH 8 to 6) are reported in Table 1 and Fig. 12, respectively. (F) ΔV50 (pH 8 to 6) for Kv11.1 acidic neutralization mutants at 50 µM and 1 mM Ca2+ are presented in comparison with the Kv11.1 WT fit curve from B. |
|
Figure 12. Analysis of V50 at external pH 8 and 6 for Kv11.1 mutants. (A) V50 values are shown for pH 6 and 8 for WT Kv11.1 and Kv11.1 acidic charge-neutralization mutants (dashed lines indicate WT values). The values of V50 were obtained from Boltzmann fits shown in Fig. 11 (A and C–E). (B) ΔV50 (pH 8 to 6) plots for Kv11.1 WT and the S2/S3 acidic charge-neutralization mutants at 50 µM Ca2+ and 1 mM Ca2+. The dashed line indicates the ΔV50 obtained for WT Kv11.1. Asterisks indicate significant difference with respect to WT: **, P < 0.001; two-tailed nonequal variance Student’s t test. |