Click here to close
Hello! We notice that you are using Internet Explorer, which is not supported by Xenbase and may cause the site to display incorrectly.
We suggest using a current version of Chrome,
FireFox, or Safari.
???displayArticle.abstract???
The neural crest (NC) is a multipotent population of migratory cells unique to the vertebrate embryo, contributing to the development of multiple organ systems. Transcription factors pax3 and zic1 are among the earliest genes activated in NC progenitors, and they are both necessary and sufficient to promote NC fate. In order to further characterize the function of these transcription factors during NC development we have used hormone inducible fusion proteins in a Xenopus animal cap assay, and DNA microarray to identify downstream targets of Pax3 and Zic1. Here we present the results of this screen and the initial validation of these targets using quantitative RT-PCR, in situ hybridization and morpholinos-mediated knockdown. Among the targets identified we found several well-characterized NC-specific genes, including snail2, foxd3, gbx2, twist, sox8 and sox9, which validate our approach. We also obtained several factors with no known function in Xenopus NC, which represent novel regulators of NC fate. The comprehensive characterization of Pax3 and Zic1 targets function in the NC gene regulatory network, are essential to understanding the mechanisms regulating the emergence of this important cell population.
Fig. 1. Strategy to isolate Pax3-Zic1 targets: (A) procedures used to identify Pax3-Zic1 targets in the developing NC. Xenopus embryos were injected at the 2-cell stage with mRNA encoding GR (not shown), Pax3GR and Zic1GR (250 pg each), alone or in combination. At the blastula stage (stage 9), animal cap explants (AC) were dissected and cultured for 8 h in the presence of dexamethasone. RNA were extracted from each sample, analyzed by qPCR and subsequently used to screen a GeneChip Xenopus laevis Genome 2.0 Array (Affymetrix). (B) RNA extracted from GR, Pax3GR, Zic1GR, or Pax3GR+Zic1GR injected animal cap explants, were analyzed by qPCR for the expression of various marker genes, keratin (epidermis), xhe (HE), snail2 (NC), and six1 (PE) to confirm that the expected pattern of gene expression was observed in each injection group. The relative expression levels have been normalized to ef1α. P3, Pax3GR; Z1, Zic1GR.
Fig. 2. Flow chart and criteria for the selection of Pax3-Zic1 targets.
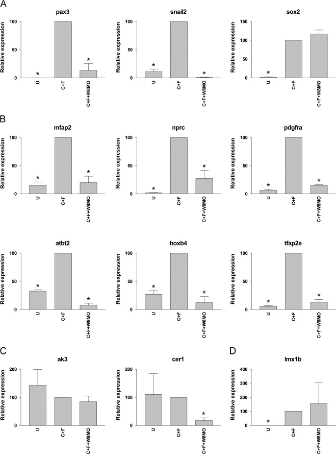
Fig. 3. Regulation of Pax3-Zic1 targets expression by NC-inducing signals: (A) in animal caps, induction of snail2 and pax3 by co-expression of Chordin (10 pg) and Fgf8a (5 pg) (C+F) is dramatically reduced in the context of embryos injected with Wnt8MO (W8MO; 50 ng). Interference with Wnt signaling pathway did not affect sox2 expression. (B) A majority of Pax3-Zic1 targets followed a pattern of activation in response to NC-inducing signals similar to that of snail2 and pax3, while a limited number of genes did not (C and D). The data are an average of at least three independent experiments. The values were normalized to odc and presented as mean±s.e.m.; (â), p<0.05 versus C+F.
Fig. 4. Developmental expression pattern of selected Pax3-Zic1 targets. The spatiotemporal expression pattern of 10 Pax3-Zic1 targets was analyzed by qPCR and whole-mount ISH. Expression levels of the target genes were analyzed by qPCR at the indicated stage (right panels). The values were normalized to odc and presented as mean±s.d. The data are an average of at least three sets of embryos. For ISH embryos were analyzed at the neurula (left panels; dorsal view, anterior to top) and tailbud (middle panels; lateral and dorsal views, anterior to the left) stages.
Fig. 5. Pax3 or Zic1 morpholino mediated knockdown blocked Pax3-Zic1 targets expression at the neurula stage: (A) Pax3MO (40 ng) or Zic1MO (40 ng) were injected in one blastomere at the 2-cell stage embryos. Embryos were collected at the neurula stage (stage 15â18) and analyzed by ISH (upper left). (B) ISH with a sox8 probe was used as a positive control for the activity of each morpholino. (C) The 10 Pax3-Zic1 targets analyzed showed reduced expression upon Pax3 or Zic1 knockdown. All panels are showing dorsal views, anterior to top. The injected side is on the right as indicted by the presence of the lineage tracer (red staining).
ak3 (adenylate kinase 3) gene expression in Xenopus laevis embryo, assayed via in situ hybridization, NF stage 25, lateral view, anteriorleft, dorsal up.
npr3 (natriuretic peptide receptor 3) gene expression in Xenopus laevis embryo, assayed via in situ hybridization, NF stage 25, lateral view, anteriorleft, dorsal up.
rassf10 (Ras association (RalGDS/AF-6) domain family (N-terminal) member 10) gene expression in Xenopus laevis embryo, assayed via in situ hybridization, NF stage 25, lateral view, anteriorleft, dorsal up.
tspan18 (tetraspanin 18)gene expression in Xenopus laevis embryo, assayed via in situ hybridization, NF stage 25, lateral view, anteriorleft, dorsal up.
Bajard,
A novel genetic hierarchy functions during hypaxial myogenesis: Pax3 directly activates Myf5 in muscle progenitor cells in the limb.
2006, Pubmed
Bajard,
A novel genetic hierarchy functions during hypaxial myogenesis: Pax3 directly activates Myf5 in muscle progenitor cells in the limb.
2006,
Pubmed Bolande,
Neurocristopathy: its growth and development in 20 years.
1997,
Pubmed Bonano,
A new role for the Endothelin-1/Endothelin-A receptor signaling during early neural crest specification.
2008,
Pubmed
,
Xenbase Bondurand,
Interaction among SOX10, PAX3 and MITF, three genes altered in Waardenburg syndrome.
2000,
Pubmed Bronchain,
The olig family: phylogenetic analysis and early gene expression in Xenopus tropicalis.
2007,
Pubmed
,
Xenbase Charrin,
Lateral organization of membrane proteins: tetraspanins spin their web.
2009,
Pubmed Christen,
FGF-8 is associated with anteroposterior patterning and limb regeneration in Xenopus.
1997,
Pubmed
,
Xenbase Communi,
Cloning and functional expression of a human uridine nucleotide receptor.
1995,
Pubmed Craft,
Oophorectomy-induced bone loss is attenuated in MAGP1-deficient mice.
2012,
Pubmed Dammann,
Epigenetic inactivation of a RAS association domain family protein from the lung tumour suppressor locus 3p21.3.
2000,
Pubmed Demarque,
Activity-dependent expression of Lmx1b regulates specification of serotonergic neurons modulating swimming behavior.
2010,
Pubmed
,
Xenbase Garnett,
BMP, Wnt and FGF signals are integrated through evolutionarily conserved enhancers to achieve robust expression of Pax3 and Zic genes at the zebrafish neural plate border.
2012,
Pubmed Haldin,
Isolation and growth factor inducibility of the Xenopus laevis Lmx1b gene.
2003,
Pubmed
,
Xenbase Harland,
In situ hybridization: an improved whole-mount method for Xenopus embryos.
1991,
Pubmed
,
Xenbase Hill,
Epigenetic inactivation of the RASSF10 candidate tumor suppressor gene is a frequent and an early event in gliomagenesis.
2011,
Pubmed
,
Xenbase Himeda,
Pax3 synergizes with Gli2 and Zic1 in transactivating the Myf5 epaxial somite enhancer.
2013,
Pubmed Ho,
Localization of PDGF A and PDGFR alpha mRNA in Xenopus embryos suggests signalling from neural ectoderm and pharyngeal endoderm to neural crest cells.
1994,
Pubmed
,
Xenbase Hong,
Fgf8a induces neural crest indirectly through the activation of Wnt8 in the paraxial mesoderm.
2008,
Pubmed
,
Xenbase Hong,
The activity of Pax3 and Zic1 regulates three distinct cell fates at the neural plate border.
2007,
Pubmed
,
Xenbase Jaubert,
Three new allelic mouse mutations that cause skeletal overgrowth involve the natriuretic peptide receptor C gene (Npr3).
1999,
Pubmed Kenwrick,
Pilot morpholino screen in Xenopus tropicalis identifies a novel gene involved in head development.
2004,
Pubmed
,
Xenbase Klingel,
Subfunctionalization and neofunctionalization of vertebrate Lef/Tcf transcription factors.
2012,
Pubmed
,
Xenbase Kolm,
Efficient hormone-inducible protein function in Xenopus laevis.
1995,
Pubmed
,
Xenbase Koutsis,
Novel peripheral myelin protein 22 (PMP22) micromutations associated with variable phenotypes in Greek patients with Charcot-Marie-Tooth disease.
2012,
Pubmed Lang,
Sox10 and Pax3 physically interact to mediate activation of a conserved c-RET enhancer.
2003,
Pubmed Le Douarin,
Neural crest cell plasticity and its limits.
2004,
Pubmed Lelièvre,
Paradoxical antagonism of PACAP receptor signaling by VIP in Xenopus oocytes via the type-C natriuretic peptide receptor.
2006,
Pubmed
,
Xenbase Li,
Uncoupling skeletal and connective tissue patterning: conditional deletion in cartilage progenitors reveals cell-autonomous requirements for Lmx1b in dorsal-ventral limb patterning.
2010,
Pubmed Li,
The posteriorizing gene Gbx2 is a direct target of Wnt signalling and the earliest factor in neural crest induction.
2009,
Pubmed
,
Xenbase Linker,
Relationship between gene expression domains of Xsnail, Xslug, and Xtwist and cell movement in the prospective neural crest of Xenopus.
2000,
Pubmed
,
Xenbase Mancilla,
Neural crest formation in Xenopus laevis: mechanisms of Xslug induction.
1996,
Pubmed
,
Xenbase Matsukawa,
The natriuretic peptide clearance receptor locally modulates the physiological effects of the natriuretic peptide system.
1999,
Pubmed McCabe,
Tetraspanin, CD151, is required for maintenance of trigeminal placode identity.
2011,
Pubmed McIntosh,
Mutation analysis of LMX1B gene in nail-patella syndrome patients.
1998,
Pubmed Michelsen,
The LIM motif defines a specific zinc-binding protein domain.
1993,
Pubmed Moffatt,
Osteocrin--beyond just another bone protein?
2009,
Pubmed Monsoro-Burq,
Msx1 and Pax3 cooperate to mediate FGF8 and WNT signals during Xenopus neural crest induction.
2005,
Pubmed
,
Xenbase Nagel,
Guidance of mesoderm cell migration in the Xenopus gastrula requires PDGF signaling.
2004,
Pubmed
,
Xenbase Nakata,
A novel member of the Xenopus Zic family, Zic5, mediates neural crest development.
2000,
Pubmed
,
Xenbase Noma,
Structure and expression of human mitochondrial adenylate kinase targeted to the mitochondrial matrix.
2001,
Pubmed O'Donnell,
Functional analysis of Sox8 during neural crest development in Xenopus.
2006,
Pubmed
,
Xenbase Pan,
A role for Zic1 and Zic2 in Myf5 regulation and somite myogenesis.
2011,
Pubmed Pohl,
Overexpression of the transcriptional repressor FoxD3 prevents neural crest formation in Xenopus embryos.
2001,
Pubmed
,
Xenbase Potter,
Natriuretic peptides, their receptors, and cyclic guanosine monophosphate-dependent signaling functions.
2006,
Pubmed Sato,
Neural crest determination by co-activation of Pax3 and Zic1 genes in Xenopus ectoderm.
2005,
Pubmed
,
Xenbase Spokony,
The transcription factor Sox9 is required for cranial neural crest development in Xenopus.
2002,
Pubmed
,
Xenbase Stuhlmiller,
Current perspectives of the signaling pathways directing neural crest induction.
2012,
Pubmed
,
Xenbase Suarez-Huerta,
Molecular cloning and characterization of the mouse P2Y4 nucleotide receptor.
2001,
Pubmed Tallquist,
Cell autonomous requirement for PDGFRalpha in populations of cranial and cardiac neural crest cells.
2003,
Pubmed Tanabe,
Tissue-specific and developmentally regulated expression of the genes encoding adenylate kinase isozymes.
1993,
Pubmed Weinbaum,
Deficiency in microfibril-associated glycoprotein-1 leads to complex phenotypes in multiple organ systems.
2008,
Pubmed Wulf,
Characterization of peripheral myelin protein 22 in zebrafish (zPMP22) suggests an early role in the development of the peripheral nervous system.
1999,
Pubmed Yamamoto,
Xenopus Tetraspanin-1 regulates gastrulation movements and neural differentiation in the early Xenopus embryo.
2007,
Pubmed
,
Xenbase Yan,
Lmx1a and lmx1b function cooperatively to regulate proliferation, specification, and differentiation of midbrain dopaminergic progenitors.
2011,
Pubmed Yue,
Genome-wide association study identifies a susceptibility locus for schizophrenia in Han Chinese at 11p11.2.
2011,
Pubmed