Click here to close
Hello! We notice that you are using Internet Explorer, which is not supported by Xenbase and may cause the site to display incorrectly.
We suggest using a current version of Chrome,
FireFox, or Safari.
PLoS One
2013 Sep 03;89:e72830. doi: 10.1371/journal.pone.0072830.
Show Gene links
Show Anatomy links
Ecological complexity of coral recruitment processes: effects of invertebrate herbivores on coral recruitment and growth depends upon substratum properties and coral species.
???displayArticle.abstract???
The transition from planktonic planula to sessile adult corals occurs at low frequencies and post settlement mortality is extremely high. Herbivores promote settlement by reducing algal competition. This study investigates whether invertebrate herbivory might be modulated by other ecological factors such as substrata variations and coral species identity.The experiment was conducted at the Flower Garden Banks, one of the few Atlantic reefs not experiencing considerable degradation. Tiles of differing texture and orientation were kept in bins surrounded by reef (24 m). Controls contained no herbivores while treatment bins contained urchins (Diadema antillarum) or herbivorous gastropods (Cerithium litteratum). Juvenile corals settling naturally were monitored by photography for 14 months to evaluate the effects of invertebrate herbivory and substratum properties. Herbivory reduced algae cover in urchin treatments. Two genera of brooding coral juveniles were observed, Agaricia and Porites, both of which are common but not dominant on adjacent reef. No broadcast spawning corals were observed on tiles. Overall, juveniles were more abundant in urchin treatments and on vertical, rough textured surfaces. Although more abundant, Agaricia juveniles were smaller in urchin treatments, presumably due to destructive overgrazing. Still, Agaricia growth increased with herbivory and substrata texture-orientation interactions were observed with reduced growth on rough tiles in control treatments and increased growth on vertical tiles in herbivore treatments. In contrast to Agaricia, Porites juveniles were larger on horizontal tiles, irrespective of herbivore treatment. Mortality was affected by substrata orientation with vertical surfaces increasing coral survival.We further substantiate that invertebrate herbivores play major roles in early settlement processes of corals and highlight the need for deeper understanding of ecological interactions modulating these effects. The absence of broadcast-spawning corals, even on a reef with consistently high coral cover, continues to expose the recruitment failure of these reef-building corals throughout the Caribbean.
???displayArticle.pubmedLink???
24039807 ???displayArticle.pmcLink???PMC3767691 ???displayArticle.link???PLoS One
Figure 2. Total number of corals through time.A. Number of corals observed on experimental tiles split by genus 10 and 14 months after deployment at the Flower Garden Banks. B. Photograph of Agaricia juvenile on experimental substratum. C. Photograph of Porites juvenile on experimental substratum.
Figure 3. Effects of herbivore and substrata interactions through time.Number of corals per tile depending on herbivore treatment, tile texture and tile orientation at ten (A) and fourteen (B) months. Symbols are means and the whiskers denote 95% confidence intervals.
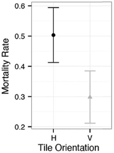
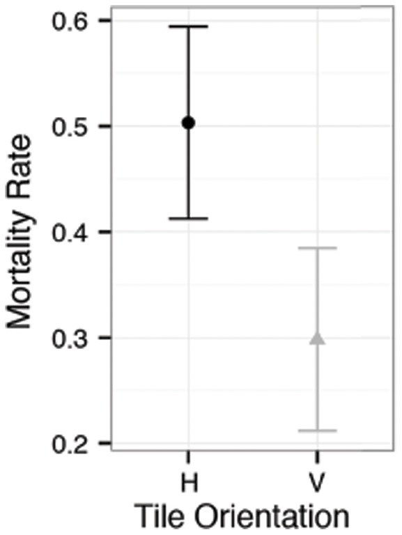
Figure 4. Coral juvenile mortality.Effect of substrata orientation on coral mortality observed between ten and fourteen months. Tile texture and herbivore treatment are not shown, as their effects were not significant. Symbols are means, the whiskers denote 95% confidence intervals. H indicates horizontal tiles and V indicates vertical tiles.
Figure 5. Effects of grazing and substrata interactions on juvenile size through time.I. The effects of herbivore treatment, tile texture and tile orientation on mean Agaricia colony size (mm2) at ten (A) and fourteen (B) months. II. The effects of herbivore treatment and tile orientation on mean Porites colony size (mm2) at ten (A) and fourteen (B) months. Tile texture is not shown for Porites as its effect was not significant. Symbols are means and the whiskers denote 95% confidence intervals.
Figure 6. Effects of herbivore treatment, substrata interactions and initial juvenile size on Agaricia growth.A. The effect of herbivore treatment, tile texture and tile orientation on Agaricia colony growth (mm2) over a four month summer period (April-August 2008). B. linear regression of log-transformed Agaricia colony size observed in the spring (ten months, horizontal axis) and in the fall (fourteen months, vertical axis). The dotted black line represents the 1∶1 correspondence. The blue line represents the linear regression line and the shaded area represents 95% confidence interval of this regression.
Figure 1. Experimental location and setup.A. Map of the Gulf of Mexico showing the locations of the east and west banks of the Flower Garden Banks National Marine Sanctuary (FGBNMS) (27.92° N; 93.71° W) in relation to continental United States. Figure Credit: USGS. B. Coral recruitment platform established at the east Flower Garden Banks at 24 m depth photographed in August 2008 prior to Hurricane Ike.
Barott,
Hyperspectral and physiological analyses of coral-algal interactions.
2009, Pubmed
Barott,
Hyperspectral and physiological analyses of coral-algal interactions.
2009,
Pubmed Birrell,
Effects of algal turfs and sediment on coral settlement.
2005,
Pubmed Carpenter,
Local and regional scale recovery of Diadema promotes recruitment of scleractinian corals.
2006,
Pubmed Carpenter,
Mass mortality of a Caribbean sea urchin: Immediate effects on community metabolism and other herbivores.
1988,
Pubmed Connolly,
Estimating dispersal potential for marine larvae: dynamic models applied to scleractinian corals.
2010,
Pubmed Edmunds,
Recovery of Diadema antillarum reduces macroalgal cover and increases abundance of juvenile corals on a Caribbean reef.
2001,
Pubmed Graham,
Effects of delayed settlement on post-settlement growth and survival of scleractinian coral larvae.
2013,
Pubmed Grasso,
The biology of coral metamorphosis: molecular responses of larvae to inducers of settlement and metamorphosis.
2011,
Pubmed Hayward,
Differential gene expression at coral settlement and metamorphosis--a subtractive hybridization study.
2011,
Pubmed Hughes,
Phase shifts, herbivory, and the resilience of coral reefs to climate change.
2007,
Pubmed Hughes,
Catastrophes, phase shifts, and large-scale degradation of a Caribbean coral reef.
1994,
Pubmed Knowlton,
Sea urchin recovery from mass mortality: new hope for Caribbean coral reefs?
2001,
Pubmed Lessios,
Spread of diadema mass mortality through the Caribbean.
1984,
Pubmed Meyer,
Profiling gene expression responses of coral larvae (Acropora millepora) to elevated temperature and settlement inducers using a novel RNA-Seq procedure.
2011,
Pubmed Mumby,
Fishing, trophic cascades, and the process of grazing on coral reefs.
2006,
Pubmed Mumby,
Trophic cascade facilitates coral recruitment in a marine reserve.
2007,
Pubmed Nishikawa,
Settlement-competency period of planulae and genetic differentiation of the scleractinian coral Acropora digitifera.
2005,
Pubmed Price,
Habitat selection, facilitation, and biotic settlement cues affect distribution and performance of coral recruits in French Polynesia.
2010,
Pubmed