Click here to close
Hello! We notice that you are using Internet Explorer, which is not supported by Xenbase and may cause the site to display incorrectly.
We suggest using a current version of Chrome,
FireFox, or Safari.
???displayArticle.abstract???
α-Conotoxins are disulfide-rich peptide neurotoxins that selectively inhibit neuronal nicotinic acetylcholine receptors (nAChRs). The α3β4 nAChR subtype has been identified as a novel target for managing nicotine addiction. Using a mixture-based positional-scanning synthetic combinatorial library (PS-SCL) with the α4/4-conotoxin BuIA framework, we discovered a highly potent and selective α3β4 nAChR antagonist. The initial PS-SCL consisted of a total of 113 379 904 sequences that were screened for α3β4 nAChR inhibition, which facilitated the design and synthesis of a second generation library of 64 individual α-conotoxin derivatives. Eleven analogues were identified as α3β4 nAChR antagonists, with TP-2212-59 exhibiting the most potent antagonistic activity and selectivity over the α3β2 and α4β2 nAChR subtypes. Final electrophysiological characterization demonstrated that TP-2212-59 inhibited acetylcholine evoked currents in α3β4 nAChRs heterogeneously expressed in Xenopus laevis oocytes with a calculated IC50 of 2.3 nM and exhibited more than 1000-fold selectivity over the α3β2 and α7 nAChR subtypes. As such, TP-2212-59 is among the most potent α3β4 nAChRs antagonists identified to date and further demonstrates the utility of mixture-based combinatorial libraries in the discovery of novel α-conotoxin derivatives with refined pharmacological activity.
???displayArticle.pubmedLink???
24649848 ???displayArticle.pmcLink???PMC4358631 ???displayArticle.link???J Med Chem ???displayArticle.grants???[+]
Figure 1. Design of the mixture-based PS-SCL based on the α4/4-conotoxin
framework. The conserved cysteine framework and native (globular)
disulfide bond connectivity are indicated. Conserved Gly, Ser, and
Pro residues are shown in gray. On is a single defined position, and X is
an equimolar mixture of 22 natural and non-natural l-amino
acids.
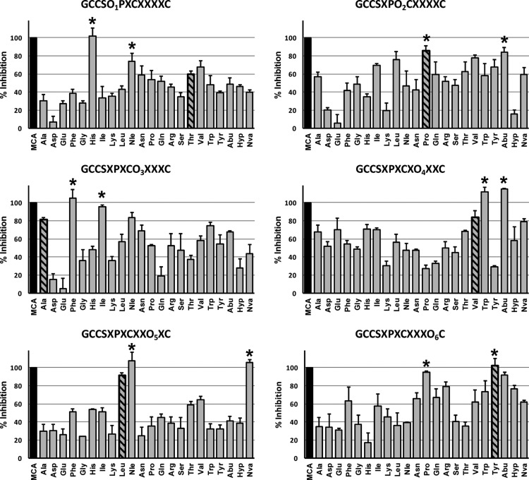
Figure 2. Initial screening
of the α4/4-conotoxin BuIA PS-SCL for α3β4
nAChR inhibition using the fluorescent membrane potential assay. The
library was screened in triplicate at 100 μM, and the percentages
of inhibition were calculated by comparing the potency of 10 μM
mecamylamine (MCA), which was defined as 100% inhibition. Residues
that were selected for the synthesis of a second generation library
of individual analogues are marked with an asterisk. Amino acids indicated
with a cross-hatch pattern correspond to native α-conotoxin
BuIA residues.
Figure 3. Representative
LC–MS analysis of TP-2212-59. (A) LC analysis
of TP-2212-59 samples. Samples were analyzed using a C18 column (50 mm × 4.6 mm i.d.) with a gradient of 0–60%
acetonitrile containing 0.1% formic acid over 12 min at a flow rate
of 0.5 mL/min and monitored at 214 nm. Crude samples (bottom) were
desalted in parallel using SPE cartridges prior to initial library
screening. Globular and ribbon isomers for further pharmacological
characterization (center and top, respectively) were synthesized using
a two-step regioselective folding approach and purified to >95%
homogeneity
as described in the Experimental Section.
(B) Representative electrospray ionization MS of TP-2212-59. The final
mass was calculated from the observed [M + 2H]2+ ion: calculated
mass, 1382.9; expected mass, 1382.5.
Figure 4. Fluorescent membrane
potential assay screening of the second generation
individual library at 10 μM. Compounds that exhibited >80%
inhibition
at 10 μM (indicated with a solid line and asterisk) were selected
for further chemical and pharmacological characterization.
Figure 5. Functional characterization
of selected individual α4/4-conotoxins
for α3β4 nAChR inhibition using the fluorescent membrane
potential assay.
Figure 6. Radioligand binding assays of BuIA and compounds 57–60 bound to the α3β4 nAChR
subtype.
[3H]Epibatidine was used as a hot ligand in the α3β4
nAChR ligand–receptor binding assay.
Figure 7. Functional
characterization of TP-2212-59 for α3β4
and α3β2 nAChR inhibition of acetylcholine evoked currents
in Xenopus oocytes. ACh (300 μM) was applied
as a 1 s pulse once per minute to Xenopus oocytes
expressing rat nAChRs. (A) TP-2212-59 (10 nM) was perfusion applied
to oocytes expressing α3β4 nAChRs until steady-state block
of the ACh current was achieved. TP-2212-59 was then washed out and
recovery of block measured. (B) Concentration response of TP-2212-59
on the α3β4 nAChR. The top and bottom of the curve were
constrained to 100 and 0, respectively. The IC50 value
is calculated as 2.3 nM. n = 3–5 oocytes for
each peptide concentration. (C) TP-2212-59 was applied as a 10 μM
static bath for 5 min to oocytes expressing rat α3β2 nAChRs
(1000 times higher peptide concentration than that used for α3β4
nAChRs). Representative traces are shown for each nAChR subtype.
Arias,
Interaction of 18-methoxycoronaridine with nicotinic acetylcholine receptors in different conformational states.
2010, Pubmed
Arias,
Interaction of 18-methoxycoronaridine with nicotinic acetylcholine receptors in different conformational states.
2010,
Pubmed Arias,
Molecular mechanisms and binding site locations for noncompetitive antagonists of nicotinic acetylcholine receptors.
2006,
Pubmed Armishaw,
Synthetic α-conotoxin mutants as probes for studying nicotinic acetylcholine receptors and in the development of novel drug leads.
2010,
Pubmed Armishaw,
A synthetic combinatorial strategy for developing alpha-conotoxin analogs as potent alpha7 nicotinic acetylcholine receptor antagonists.
2010,
Pubmed Armishaw,
Improving the stability of α-conotoxin AuIB through N-to-C cyclization: the effect of linker length on stability and activity at nicotinic acetylcholine receptors.
2011,
Pubmed Armishaw,
Rational design of alpha-conotoxin analogues targeting alpha7 nicotinic acetylcholine receptors: improved antagonistic activity by incorporation of proline derivatives.
2009,
Pubmed Armishaw,
Discovery of novel antinociceptive α-conotoxin analogues from the direct in vivo screening of a synthetic mixture-based combinatorial library.
2013,
Pubmed Azam,
α-Conotoxin BuIA[T5A;P6O]: a novel ligand that discriminates between α6ß4 and α6ß2 nicotinic acetylcholine receptors and blocks nicotine-stimulated norepinephrine release.
2010,
Pubmed
,
Xenbase Azam,
Alpha-conotoxin BuIA, a novel peptide from Conus bullatus, distinguishes among neuronal nicotinic acetylcholine receptors.
2005,
Pubmed
,
Xenbase Azam,
Alpha-conotoxins as pharmacological probes of nicotinic acetylcholine receptors.
2009,
Pubmed Banerjee,
Design and synthesis of α-conotoxin GID analogues as selective α4β2 nicotinic acetylcholine receptor antagonists.
2014,
Pubmed Bergeron,
A 'conovenomic' analysis of the milked venom from the mollusk-hunting cone snail Conus textile--the pharmacological importance of post-translational modifications.
2013,
Pubmed Berrettini,
Alpha-5/alpha-3 nicotinic receptor subunit alleles increase risk for heavy smoking.
2008,
Pubmed Cartier,
A new alpha-conotoxin which targets alpha3beta2 nicotinic acetylcholine receptors.
1996,
Pubmed
,
Xenbase Chatterjee,
Partial agonists of the α3β4* neuronal nicotinic acetylcholine receptor reduce ethanol consumption and seeking in rats.
2011,
Pubmed Cheng,
Relationship between the inhibition constant (K1) and the concentration of inhibitor which causes 50 per cent inhibition (I50) of an enzymatic reaction.
1973,
Pubmed Chi,
NMR structure determination of alpha-conotoxin BuIA, a novel neuronal nicotinic acetylcholine receptor antagonist with an unusual 4/4 disulfide scaffold.
2006,
Pubmed Dani,
Nicotinic acetylcholine receptors and nicotinic cholinergic mechanisms of the central nervous system.
2007,
Pubmed Fitch,
Membrane potential fluorescence: a rapid and highly sensitive assay for nicotinic receptor channel function.
2003,
Pubmed Fowler,
Nicotine aversion: Neurobiological mechanisms and relevance to tobacco dependence vulnerability.
2014,
Pubmed Franco,
RegIIA: an α4/7-conotoxin from the venom of Conus regius that potently blocks α3β4 nAChRs.
2012,
Pubmed
,
Xenbase Franco,
Hyperhydroxylation: a new strategy for neuronal targeting by venomous marine molluscs.
2006,
Pubmed Glick,
Modulation of nicotine self-administration in rats by combination therapy with agents blocking alpha 3 beta 4 nicotinic receptors.
2002,
Pubmed Glick,
Brain regions mediating α3β4 nicotinic antagonist effects of 18-MC on nicotine self-administration.
2011,
Pubmed Gyanda,
Oxidative folding and preparation of α-conotoxins for use in high-throughput structure-activity relationship studies.
2013,
Pubmed Houghten,
General method for the rapid solid-phase synthesis of large numbers of peptides: specificity of antigen-antibody interaction at the level of individual amino acids.
1985,
Pubmed Jensen,
Neuronal nicotinic acetylcholine receptors: structural revelations, target identifications, and therapeutic inspirations.
2005,
Pubmed Jin,
Structure of alpha-conotoxin BuIA: influences of disulfide connectivity on structural dynamics.
2007,
Pubmed
,
Xenbase Kim,
α6 nAChR subunit residues that confer α-conotoxin BuIA selectivity.
2012,
Pubmed
,
Xenbase Klimis,
A novel mechanism of inhibition of high-voltage activated calcium channels by α-conotoxins contributes to relief of nerve injury-induced neuropathic pain.
2011,
Pubmed Luo,
alpha-conotoxin AuIB selectively blocks alpha3 beta4 nicotinic acetylcholine receptors and nicotine-evoked norepinephrine release.
1998,
Pubmed
,
Xenbase Luo,
Characterization of a novel α-conotoxin TxID from Conus textile that potently blocks rat α3β4 nicotinic acetylcholine receptors.
2013,
Pubmed
,
Xenbase Maisonneuve,
Anti-addictive actions of an iboga alkaloid congener: a novel mechanism for a novel treatment.
2003,
Pubmed McCallum,
α3β4 nicotinic acetylcholine receptors in the medial habenula modulate the mesolimbic dopaminergic response to acute nicotine in vivo.
2012,
Pubmed McIntosh,
A novel alpha-conotoxin, PeIA, cloned from Conus pergrandis, discriminates between rat alpha9alpha10 and alpha7 nicotinic cholinergic receptors.
2005,
Pubmed
,
Xenbase McIntosh,
Alpha-conotoxin GIC from Conus geographus, a novel peptide antagonist of nicotinic acetylcholine receptors.
2002,
Pubmed
,
Xenbase Mihalak,
Varenicline is a partial agonist at alpha4beta2 and a full agonist at alpha7 neuronal nicotinic receptors.
2006,
Pubmed
,
Xenbase Muttenthaler,
Structure-activity studies on alpha-conotoxins.
2011,
Pubmed Napier,
Intrathecal α-conotoxins Vc1.1, AuIB and MII acting on distinct nicotinic receptor subtypes reverse signs of neuropathic pain.
2012,
Pubmed Niaura,
Varenicline.
2006,
Pubmed Olivera,
Diversity of Conus neuropeptides.
1990,
Pubmed Ostresh,
Peptide libraries: determination of relative reaction rates of protected amino acids in competitive couplings.
1994,
Pubmed Schnölzer,
In situ neutralization in Boc-chemistry solid phase peptide synthesis. Rapid, high yield assembly of difficult sequences.
1992,
Pubmed Shiembob,
Determinants of alpha-conotoxin BuIA selectivity on the nicotinic acetylcholine receptor beta subunit.
2006,
Pubmed Taly,
Nicotinic receptors: allosteric transitions and therapeutic targets in the nervous system.
2009,
Pubmed Toll,
AT-1001: a high affinity and selective α3β4 nicotinic acetylcholine receptor antagonist blocks nicotine self-administration in rats.
2012,
Pubmed Wu,
Scaffold ranking and positional scanning utilized in the discovery of nAChR-selective compounds suitable for optimization studies.
2013,
Pubmed Xiao,
Rat alpha3/beta4 subtype of neuronal nicotinic acetylcholine receptor stably expressed in a transfected cell line: pharmacology of ligand binding and function.
1998,
Pubmed Xiao,
The comparative pharmacology and up-regulation of rat neuronal nicotinic receptor subtype binding sites stably expressed in transfected mammalian cells.
2004,
Pubmed