Click here to close Hello! We notice that you are using Internet Explorer, which is not supported by Xenbase and may cause the site to display incorrectly. We suggest using a current version of Chrome, FireFox, or Safari.
XB-ART-48838
J Med Chem 2014 Feb 13;573:836-48. doi: 10.1021/jm401602p.
Show Gene links Show Anatomy links

Synthesis, nicotinic acetylcholine receptor binding, and antinociceptive properties of 2'-fluoro-3'-(substituted pyridinyl)-7-deschloroepibatidine analogues.

Ondachi PW, Castro AH, Bartkowiak JM, Luetje CW, Damaj MI, Mascarella SW, Navarro HA, Carroll FI.


???displayArticle.abstract???
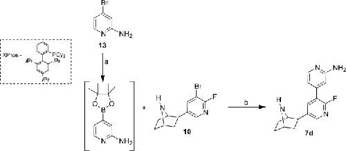
2'-Fluoro-3-(substituted pyridine)epibatidine analogues 7a-e and 8a-e were synthesized, and their in vitro and in vivo nAChR properties were determined. 2'-Fluoro-3'-(4″-pyridinyl)deschloroepibatidine (7a) and 2'-fluoro-3'-(3″-pyridinyl)deschloroepibatidine (8a) were synthesized as bioisosteres of the 4'-nitrophenyl lead compounds 5a and 5g. Comparison of the in vitro nAChR properties of 7a and 8a to those of 5a and 5g showed that 7a and 8a had in vitro nAChR properties similar to those of 5a and 5g but both were more selective for the α4β2-nAChR relative to the α3β4- and α7-nAChRs than 5a and 5g. The in vivo nAChR properties in mice of 7a were similar to those of 5a. In contrast, 8a was an agonist in all four mouse acute tests, whereas 5g was active only in a spontaneous activity test. In addition, 5g was a nicotine antagonist in both the tail-flick and hot-plate tests, whereas 8a was an antagonist only in the tail-flick test.

???displayArticle.pubmedLink??? 24428686
???displayArticle.pmcLink??? PMC3983394
???displayArticle.link??? J Med Chem
???displayArticle.grants??? [+]



???attribute.lit??? ???displayArticles.show???
References [+] :
Abdrakhmanova, 2-Fluoro-3-(4-nitro-phenyl)deschloroepibatidine is a novel potent competitive antagonist of human neuronal alpha4beta2 nAChRs. 2006, Pubmed