Click here to close
Hello! We notice that you are using Internet Explorer, which is not supported by Xenbase and may cause the site to display incorrectly.
We suggest using a current version of Chrome,
FireFox, or Safari.
???displayArticle.abstract???
Human (α6β2)(α4β2)β3 nicotinic acetylcholine receptors (AChRs) are essential for addiction to nicotine and a target for drug development for smoking cessation. Expressing this complex AChR is difficult, but has been achieved using subunit concatamers. In order to determine what limits expression of α6* AChRs and to efficiently express α6* AChRs using free subunits, we investigated expression of the simpler (α6β2)2β3 AChR. The concatameric form of this AChR assembles well, but is transported to the cell surface inefficiently. Various chimeras of α6 with the closely related α3 subunit increased expression efficiency with free subunits and produced pharmacologically equivalent functional AChRs. A chimera in which the large cytoplasmic domain of α6 was replaced with that of α3 increased assembly with β2 subunits and transport of AChRs to the oocyte surface. Another chimera replacing the unique methionine 211 of α6 with leucine found at this position in transmembrane domain 1 of α3 and other α subunits increased assembly of mature subunits containing β3 subunits within oocytes. Combining both α3 sequences in an α6 chimera increased expression of functional (α6β2)2β3 AChRs to 12-fold more than with concatamers. This is pragmatically useful, and provides insights on features of α6 subunit structure that limit its expression in transfected cells.
???displayArticle.pubmedLink???
25068303 ???displayArticle.pmcLink???PMC4113361 ???displayArticle.link???PLoS One ???displayArticle.grants???[+]
Figure 2. Efficiency of expression of functional (α6β2)2β3 AChRs using various constructs in Xenopus oocytes.The mRNAs of the nine constructs were injected on the same day and the assays were performed 6 days later. Values are the average of results from at least 8 oocytes. A) Comparison of total ACh binding sites versus surface expression for each (α6β2)2β3 AChR construct. Total number of ACh binding sites in partially or completly assembled AChRs inside cells plus in the surface membrane was assayed by binding of 3H epibatidine. B) Comparison of function versus surface expression for each (α6β2)2β3 AChR construct. Electrophysiological function was assayed by the current evoked by 30 µM in ACh voltage clamped oocytes. Mature AChRs on the oocyte surface were assayed by binding of 125I labeled mAb 295 to β2 subunits.
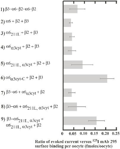
Figure 3. Effect of various constructs on channel properties.Evoked current was divided by the number of AChRs on the oocyte surface (i.e., mAb 295 surface binding) for each construct presented in Figure 2B. Values shown are a measure of effects on probability of channel opening and/or channel conductance.
Figure 4. β3 incorporation in (α6β2)2β3 AChR constructs.Microwells were coated with mAb 295 to bind AChRs containing β2 or mAb 210 to bind AChRs containing β3. Detergent-solubilized AChRs were added to the wells. Bound AChRs were then assayed by binding of 3H epibatidine.
Figure 5. Assembly of (α6β2)2β3 AChRs constructs evaluated by sucrose sedimentation velocity gradient analysis.After centrifugation, gradient fractions were immunoisolated on microwells coated with mAb 295 to β2 to isolate α6β2β3 AChRs prior to labeling with 3H epibatidine. Properly assembled mature (α6β2)2β3 AChRs sediment between the two internal standards, 9S monomer and 13S dimer of Torpedo californica AChRs. Peaks on the left of dimers in the gradient indicate multimers or aggregates of AChRs, while peaks on the right of monomers represent partially assembled AChRs. A) Expression of pentameric concatamer construct 1 (β3−α6−β2−α6−β2) resulted in a high proportion of mature AChRs, as expected (16). B) Expression of construct 2 (α6+β2+β3) resulted in a high proportion of aggregates and partially assembled AChRs and a very low proportion of mature AChRs, as expected (12). C) Expression of construct 3 (α6211L+β2+β3) resulted in a large proportion of mature AChRs. D) Expression of construct 4 (α6α3cyt+β2+β3) resulted in mature AChRs but also partially assembled AChRs and both large and very large aggregates. E) Expression of construct 5 (α6211L,α3cyt+β2+β3) showed mature AChRs and some aggregates. F) Expresion of construct 6 (α6α3cyt-C+β2+β3) showed a high proportion of mature AChRs and few aggregates.
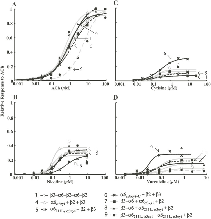
Figure 6. Concentration/response curves for constructs that resulted in significant amounts of functional AChRs.Full agonist (ACh) and partial agonists (cytisine, nicotine, and varenicline) were used on (α6β2)2β3 AChRs. Each point is the average response of at least 5 oocytes. Arrows indicate construct 5, that behaves like construct 1, and constructs 6 and 9 that are divergent.
Figure 7. Kinetics of responses to increasing concentrations of ACh by constructs 1 and 5.A) Concatamer 1 (β3−α6−β2−α6−β2) responds more rapidly with greater currents and more extensive desensitization at higher ACh concentrations. B) Construct 5 (α6211L,α3cyt+β2+β3) response kinetics to ACh are similar, but amplitudes of responses are much larger.
Figure 1. Illustration of (α6β2)2β3 AChR constructs.A) Diagrammatic representation of an AChR subunit. B) Diagrammatic representation of two AChR subunits joined by a linker. Direction of the linker is indicated by arrows. C) Representation of α6 and α3 sequences used in the α6/α3 chimeras studied. D) Representation of (α6β2)2β3 AChRs assembled from the various constructs. Agonist binding sites are shown as solid triangles between two subunits. The number and nomenclature for each construct depicted here are used in the following data figures.
Akk,
The influence of the membrane on neurosteroid actions at GABA(A) receptors.
2009, Pubmed
Akk,
The influence of the membrane on neurosteroid actions at GABA(A) receptors.
2009,
Pubmed Champtiaux,
Subunit composition of functional nicotinic receptors in dopaminergic neurons investigated with knock-out mice.
2003,
Pubmed Champtiaux,
Distribution and pharmacology of alpha 6-containing nicotinic acetylcholine receptors analyzed with mutant mice.
2002,
Pubmed Crooks,
Nicotinic receptor antagonists as treatments for nicotine abuse.
2014,
Pubmed Cui,
The beta3 nicotinic receptor subunit: a component of alpha-conotoxin MII-binding nicotinic acetylcholine receptors that modulate dopamine release and related behaviors.
2003,
Pubmed Drenan,
Cholinergic modulation of locomotion and striatal dopamine release is mediated by alpha6alpha4* nicotinic acetylcholine receptors.
2010,
Pubmed Drenan,
Insights into the neurobiology of the nicotinic cholinergic system and nicotine addiction from mice expressing nicotinic receptors harboring gain-of-function mutations.
2012,
Pubmed Gee,
Identification of domains influencing assembly and ion channel properties in alpha 7 nicotinic receptor and 5-HT3 receptor subunit chimaeras.
2007,
Pubmed Gerzanich,
"Orphan" alpha6 nicotinic AChR subunit can form a functional heteromeric acetylcholine receptor.
1997,
Pubmed
,
Xenbase Gotti,
Nicotinic acetylcholine receptors in the mesolimbic pathway: primary role of ventral tegmental area alpha6beta2* receptors in mediating systemic nicotine effects on dopamine release, locomotion, and reinforcement.
2010,
Pubmed Jensen,
Elucidation of molecular impediments in the α6 subunit for in vitro expression of functional α6β4* nicotinic acetylcholine receptors.
2013,
Pubmed
,
Xenbase Kracun,
Influence of the M3-M4 intracellular domain upon nicotinic acetylcholine receptor assembly, targeting and function.
2008,
Pubmed Kuryatov,
Human alpha6 AChR subtypes: subunit composition, assembly, and pharmacological responses.
2000,
Pubmed
,
Xenbase Kuryatov,
Nicotine acts as a pharmacological chaperone to up-regulate human alpha4beta2 acetylcholine receptors.
2005,
Pubmed Kuryatov,
Roles of accessory subunits in alpha4beta2(*) nicotinic receptors.
2008,
Pubmed Kuryatov,
Expression of functional human α6β2β3* acetylcholine receptors in Xenopus laevis oocytes achieved through subunit chimeras and concatamers.
2011,
Pubmed
,
Xenbase Letchworth,
Progress and challenges in the study of α6-containing nicotinic acetylcholine receptors.
2011,
Pubmed Lindstrom,
Potentiation of acetylcholine receptors by divalent cations.
2006,
Pubmed
,
Xenbase McCallum,
Differential regulation of mesolimbic alpha 3/alpha 6 beta 2 and alpha 4 beta 2 nicotinic acetylcholine receptor sites and function after long-term oral nicotine to monkeys.
2006,
Pubmed Mukherjee,
Mutations of cytosolic loop residues impair assembly and maturation of alpha7 nicotinic acetylcholine receptors.
2009,
Pubmed Perez,
Long-term nicotine treatment down-regulates α6β2* nicotinic receptor expression and function in nucleus accumbens.
2013,
Pubmed Perez,
Long-term nicotine exposure depresses dopamine release in nonhuman primate nucleus accumbens.
2012,
Pubmed Pons,
Crucial role of alpha4 and alpha6 nicotinic acetylcholine receptor subunits from ventral tegmental area in systemic nicotine self-administration.
2008,
Pubmed Quik,
α6β2* and α4β2* nicotinic acetylcholine receptors as drug targets for Parkinson's disease.
2011,
Pubmed Rasmussen,
Biophysical and pharmacological characterization of α6-containing nicotinic acetylcholine receptors expressed in HEK293 cells.
2014,
Pubmed Salminen,
Pharmacology of alpha-conotoxin MII-sensitive subtypes of nicotinic acetylcholine receptors isolated by breeding of null mutant mice.
2007,
Pubmed Salminen,
Subunit composition and pharmacology of two classes of striatal presynaptic nicotinic acetylcholine receptors mediating dopamine release in mice.
2004,
Pubmed Tapia,
Ca2+ permeability of the (alpha4)3(beta2)2 stoichiometry greatly exceeds that of (alpha4)2(beta2)3 human acetylcholine receptors.
2007,
Pubmed
,
Xenbase Tumkosit,
Beta3 subunits promote expression and nicotine-induced up-regulation of human nicotinic alpha6* nicotinic acetylcholine receptors expressed in transfected cell lines.
2006,
Pubmed
,
Xenbase Unwin,
Refined structure of the nicotinic acetylcholine receptor at 4A resolution.
2005,
Pubmed Wang,
A transmembrane motif governs the surface trafficking of nicotinic acetylcholine receptors.
2002,
Pubmed Whiting,
Characterization of bovine and human neuronal nicotinic acetylcholine receptors using monoclonal antibodies.
1988,
Pubmed