|
Figure 1. Structure of
screening hit. Chemical structure of methyl 4-(1-(2-(1H-indol-3-yl)ethyl)-3-acetyl-4-hydroxy-5-oxo-2,5-dihydro-1H-pyrrol-2-yl)benzoate (compound 1) that was
identified as a positive modulator using a fluorescence-based screen
of compound libraries in a cell line expressing diheteromeric GluN1/GluN2C
NMDA receptors. |
|
Scheme 1. Synthesis of 1H-Pyrrol-2(5H)-onesReaction
conditions: PPTS, rt, 1–24 h, 2% to >99% (procedure I).
Final compounds 161–180, in which
either the A or B ring is replaced, were also prepared using these
conditions. |
|
Scheme 2. Route for the Synthesis of Pyruvate DerivativesReaction conditions: (a) diethyl
oxalate, NaOEt, EtOH, 0 °C to rt, 4 h, 15% to >99% (procedure
II); (b) TIPSCl, imidazole, rt, 6 h, >99%; (c) diethyl oxalate,
NaOEt, EtOH, 0 °C to rt, 4 h, 28% (procedure II); (d) TBAF, 0
°C to rt, 1 h, 43%. |
|
Scheme 3. Synthetic Routes to Access Substituted Benzaldehydes 32–41Reaction
conditions: (a) 2.0 equiv NBS, (PhCOO)2, reflux, 4 h, then
AgNO3, rt, 3 h, 38–63%; (b) dibutyl vinylboronate,
5 mol % (PPh3)2PdCl2, NaCO3, reflux, 2 h, 68–80%; (c) O3; then (CH3)2S, −78 °C to rt, 12 h, 60–87%; (d) i-PrMgCl, DMF, −15 °C to rt, 3 h, 70%; (e) CO(g), (PPh3)2PdCl2, NaCO3, 110 °C, 8–24% (procedure IV); (f) CH3I, K2CO3, rt, 3 h, 58%. |
|
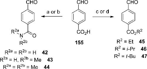
Scheme 4. Routes for the Synthesis of Amides 42–44 and Esters 45–47Reaction conditions: (a) Vilsmeier reagent, aq NH3,
0 °C, 16 h, 30%; (b) R2aR2bN where R2a = H and R2b = Me or where R2a = R2b = Me, DMAP, EDCI, 0 °C to rt, 24 h, 14–51%;
(c) R2I where R2 = Et or R2 = i-Pr, K2CO3, rt, 4 h, 24–87%;
(d) (CH3)2NCH(Ot-Bu)2, reflux, 11/2 h, 81%. |
|
Scheme 5. Route to Modifications at R11Reaction
conditions: (a) TMSCH2N2, rt, 5 h, 46%; (b)
NH4HCO2, reflux, 3 h, 14%; (c) Ac2O, pyridine, rt, 61/2 h, 7%; (d) R11C(O)Cl where R11 = CH2CH2CH3 or R11 = CH=CH2, TEA, −30
°C, 2 h, 20–35%. |
|
Figure 2. Compound 1 selectively potentiates the GluN1/GluN2C
response. (A) Current traces for 1 at the GluN1/GluN2A,
GluN1/GluN2B, GluN1/GluN2C, and the GluN1/GluN2D receptors. (B) Compound 1 selectively potentiates the GluN1/GluN2C receptor to a fitted
maximum of 275 ± 10% with an EC50 of 24 ± 2.4, n = 12. (C) The EC50 for glycine in the absence
and presence of 1 is 0.20 ± 0.01 μM (n = 6) and 0.16 ± 0.02 μM (n = 4), respectively. The EC50 for glutamate in the absence
and presence of 1 is 0.8 ± 0.07 μM (n = 8) and 1.2 ± 0.04 μM (n =
6), respectively. The presence of 1 did not shift the
glycine or glutamate EC50 values significantly. (D) The
reversal potential is −5.1 ± 0.8 mV when activated by
coagonists (100 μM glutamate and 30 μM glycine) and is
−5.0 ± 1.2 mV (n = 6) when the GluN1/GluN2C
receptor is potentiated by 1. The reversal potential
was not significantly shifted in the presence of 1, suggesting
that potentiation is independent of membrane potential. |
|
Figure 3. Composite concentration–effect
curves for 106 enantiomers. Concentration–effect
curves for the enantiomers of 106 demonstrate that only
one enantiomer, 106a, is active, potentiating the GluN1/GluN2C
receptor to a fitted maximum of 259 ± 8% of control with an EC50 of 18 ± 0.6 μM (n = 6). |