|
Fig. 1. Sketch of our theoretical model.
|
|
Fig. 2. Epithelial cell aspect ratio as a bistable phenomenon. (A) Plots of the effective energy of a cell as a function of the cell base length r, when apical belt tension is increased (Left to Right). If contractile forces dominate , only one minimum of the energy, cells go continuously from squamous to cuboidal to columnar aspect ratios. If lateral adhesion is large enough ( negative), two minima, cells “jump” from squamous to columnar aspect ratios. (B) Phase diagram as a function of and for , showing regions of continuous and discontinuous transitions. |
|
Fig. 3. Spontaneous curvature of an apically constricted tissue. (A) Sketch of our model. The cell is modeled as part of a sheet of constant height h between apical and basal sides. (B) Numerical integration of and as a function of apical belt tension . (C) Sketch of a biological application: lens placode formation. The apical belt tension is increased locally, causing the tissue to invaginate with radius of curvature R. (D) Curvature and bending rigidity of the cell sheet as a function of apical belt tension for various values of (yellow), (green), (purple), and (black). Note the change in convexity as changes sign. (E) Bending rigidity as a function of cell–cell adhesion, for various values of (orange), (green), (blue), and (black). |
|
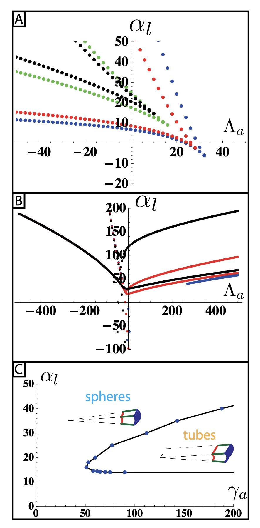
Fig. 4. Phase diagram of the 3D architecture of epithelial tissue, as a function of apical belt tension and lateral adhesion , for . The apical side is drawn in red and the basal side in blue. The apical side lines the interior of the sphere if , and the exterior is . We concentrate on the region : The curvature increases for increasing , either continuously or discontinuously (hatched regions). The epithelium is more columnar for high values of . |
|
Fig. 5. (A and B) Comparison of the mechanical stability for cellular tubes, made of cells curved in one direction (A), and cellular spheres, curved in two directions (B). (C) Stability diagram as a function of lateral adhesion and apical tension . |
|
Fig. 6. Cell confinement and buckling. When a tissue is confined by external forces to an area lower than the area dictated by its mechanical equilibrium, it can either be homogeneously compressed or buckle to relieve the stress. |
|
Fig. S1. Force balance on a cell. |
|
Fig. S2. Phase diagrams for various values of the exponent n of polymer repulsion. (A) Phase diagram of the 2D architecture of epithelial tissue on planar
substrates, as a function of apical belt tension Λa and cell–cell adhesion αl , for γb =15 and n=2 (blue), n=9=4 (red), n=7=2 (green), and n=4 (black). (B)
Evolution of the phase diagram of the 3D architecture of curved epithelia for n=4 and for various values of γb =1 (blue), γb =6 (red), and γb =15 (black). (C)
Phase diagram of tubular vs. spherical organization of curved tissue, as a function of apical surface tension γa and cell–cell adhesion αl , for n=4. |
|
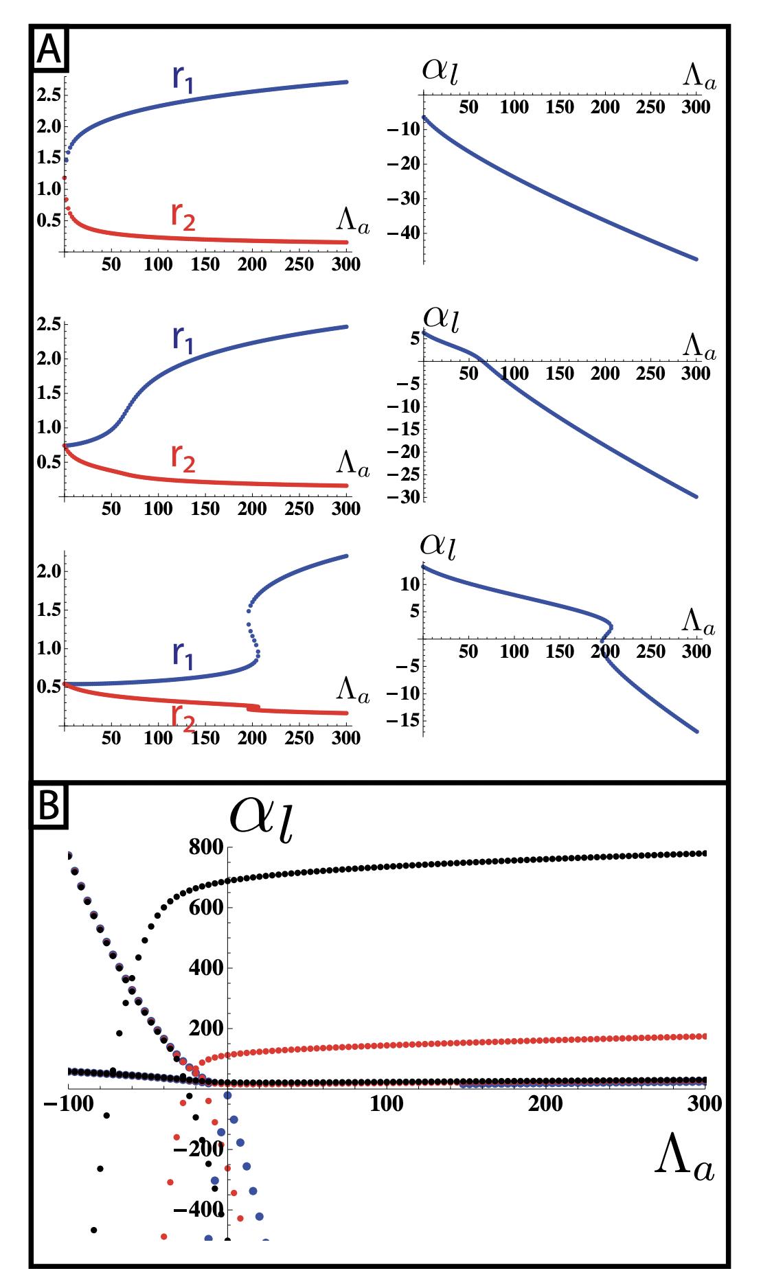
Fig. S3. A different hypothesis of shape stabilization: active regulation of the cell–cell tension. (A) (Left) Typical numerical integrations of the basal and apical
lengths r1 and r2 as a function of apical belt tension Λa, for αl = −5 (Top), αl =10 (Middle), and αl =20 (Bottom). (Right) Corresponding cell–cell lateral tension,
which now changes with Λa, because it is actively regulated depending on r1 and r2. We observe the same qualitative effect of cell–cell adhesion as in the main
text. Moreover, αl undergoes the same type of continuous vs. discontinuous transitions as the geometrical parameters r1 and r2. (B) Evolution of the phase
diagram of the 3D architecture of curved epithelia for an active regulation of tensions and for various values of γb =0 (blue), γb = −5 (red), and γb = −15
(black). Again, the qualitative results of the main text are unchanged. |
|
Fig. S4. Phase diagram as a function of Λa and αl, for varying values of γb: 0 (blue), −5 (purple), −15 (brown), and −45 (green). |
|
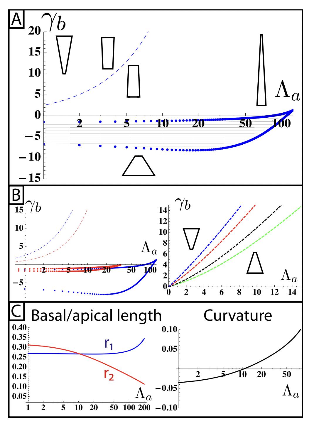
Fig. S5. (A) Phase diagram of the 3D architecture of epithelial tissue, as a function of apical belt tension force Λa and the basal tension γb. We plot both the
spinodal lines (blue dots) deliminating bistable equilibria (hatched region) and the separation between negative and positive curvatures (dashed lines). Plot for
αl =6 is shown. (B) Same phase diagram of the 3D architecture comparing two values of cell–cell adhesion, αl =6 (blue) and αl =4 (red). Shown is a zoom-in on
the frontier separating positive and negative curvature, for various values of cell–cell adhesion: αl = −4 (green), αl =0 (black), αl =4 (red), and αl =6 (blue). (C)
Example of a numerical integration of the basal and apical length (Left) and curvature changing sign (Right) for increasing Λa. We chose αl =6 and γb =20. |
|
Fig. S6. (A) Limit of infinitely soft substrate: aspect ratio of the curved epithelia (height divided by the radius of curvature) and cell thickness, as a function of
apical belt tension Λa, for various values of αl =1 (yellow), αl =3 (green), αl =4:5 (purple), and αl =5:5 (black). (B) For finite elasticities of the substrate, effective
bending modulus and spontaneous curvature as a function of the substrate bending modulus Kp. We use the same parameter set as before: γb =0, αl =4:5, and
Λa =10. (C) Spontaneous curvature of an apically constricted tissue with various substrate bending moduli Kp and for αl =4:5. (Left) γb =0. For Kp =0 (orange),
the same transition as before is obtained. When Kp increases [Kp =0:01 (green), Kp =0:1 (violet), Kp =100 (black), and Kp =10,000 (red)], the curvature decreases as expected, and the discontinuous transition also disappears. (Right) γb = −10. When Kp increases[Kp =0:1 (orange), Kp =1 (green), Kp =100 (violet),
Kp =104 (black), and Kp =106 (red)], the curvature also decreases as expected. For K → ∞, we expect to be in the previous limit of a planar epithelial, with
a squamous to columnar morphological transition [observed for Kp =106 (red)]. The discontinuous transition disappears when Kp decreases. |
|
Fig. S7. (A) Phase diagram of the 3D architecture of epithelial tissue, as a function of apical belt tension Λa and cell–cell adhesion αl, for γb = −1. (B) Evolution
of the phase diagram for various values of γb =0 (blue), γb = −1 (red), γb = −2 (green), and γb = −4 (black). |
|
Fig. S8. Comparison of the mechanical stability for cellular tubes and spheres. (A) Energies of a sphere and tubes as a function of the apical cortex tension γa
for αl =1 (Left) and αl =4 (Right). (B) Schematics of a infinitesimal piece of a cellular ellipsoid. (C) Curvatures ( and ), aspect ratios ( and ), and ratios of
curvatures of an ellipsoid as a function of apical tension γa. |
|
Fig. S9. Cell confinement and phase separation. When squamous cells are confined, two scenarios are possible. (A and B) For high values of cell–cell adhesions,
a phase separation occurs (A), with squamous and columnar cells maintaining their radii and converting to match the total available area (B). (C) For low values
of cell–cell adhesions, the transition is continuous. (D) Diagram of phase separation. |