Click here to close
Hello! We notice that you are using Internet Explorer, which is not supported by Xenbase and may cause the site to display incorrectly.
We suggest using a current version of Chrome,
FireFox, or Safari.
PLoS One
2014 Jan 01;99:e104969. doi: 10.1371/journal.pone.0104969.
Show Gene links
Show Anatomy links
Directional collective cell migration emerges as a property of cell interactions.
Woods ML, Carmona-Fontaine C, Barnes CP, Couzin ID, Mayor R, Page KM.
???displayArticle.abstract???
Collective cell migration is a fundamental process, occurring during embryogenesis and cancer metastasis. Neural crest cells exhibit such coordinated migration, where aberrant motion can lead to fatality or dysfunction of the embryo. Migration involves at least two complementary mechanisms: contact inhibition of locomotion (a repulsive interaction corresponding to a directional change of migration upon contact with a reciprocating cell), and co-attraction (a mutual chemoattraction mechanism). Here, we develop and employ a parameterized discrete element model of neural crest cells, to investigate how these mechanisms contribute to long-range directional migration during development. Motion is characterized using a coherence parameter and the time taken to reach, collectively, a target location. The simulated cell group is shown to switch from a diffusive to a persistent state as the response-rate to co-attraction is increased. Furthermore, the model predicts that when co-attraction is inhibited, neural crest cells can migrate into restrictive regions. Indeed, inhibition of co-attraction in vivo and in vitro leads to cell invasion into restrictive areas, confirming the prediction of the model. This suggests that the interplay between the complementary mechanisms may contribute to guidance of the neural crest. We conclude that directional migration is a system property and does not require action of external chemoattractants.
???displayArticle.pubmedLink???
25181349 ???displayArticle.pmcLink???PMC4152153 ???displayArticle.link???PLoS One ???displayArticle.grants???[+]
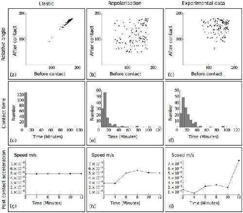
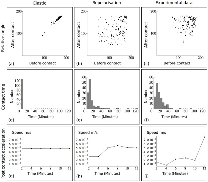
Figure 2. Calibration to in vitro data.(a). Relative angle of the normal force elastic collision model, representing equal mass impulse momentum. (b). Relative angle of the repolarization model. (c). Relative angle of the biological data. (d). Contact time for the normal force elastic collision model. (e). Contact time for the repolarization model. (f). Contact time for the real cell data. (g). Mean speed after contact separation of the normal force elastic collision model. (h). Mean speed after contact separation for the repolarization model. Note that the speed does not increase past the default migratory speed due to the self-propulsion force term. (i). Mean speed after contact separation for the real cell data, average over 4 cells.
Figure 3. Relationship between CIL, co-attraction and collective migration.(a–d). Images taken at approximately half of the baseline collective target time. (a). −CIL,−CoA, where migration can be seen to be less efficient than in (b) and (d). (b). +CIL,−CoA (c). −CIL,+CoA, (d). +CIL,+CoA. (e). Table of coherence measures for the four cases. (f). Table of collective target times for the four mutually exclusive cases. (g). Collective target time for the cases +CIL,+CoA and +CIL,−CoA. The cases −CIL,−CoA and −CIL,+CoA are omitted as the time was greater than 150 hours. (h). Coherence measure of the four cases, shown in black. Blue star indicates the automated tracking value for the model and the red star shows the experimental data tracking software value.
Figure 4. Coherence measure and collective target time.Data points represent the mean value over 10 independent simulations and error bars represent one standard deviation from the mean. Black arrows represent baseline parameter values. (a). Variation of 1/(RT rate) showing coherence. (b). Variation of the angle by which the cells can deviate during RT showing coherence. (c). Variation of 1/(CoA rate) showing coherence. (d). Variation of the diffusion length showing coherence. (e). Variation of the domain width showing coherence for weak (dashed) and strong co-attraction (solid line). (f). Variation of 1/(RT rate) showing collective target time. (g). Variation of the angle by which the cells can deviate during RT showing collective target time. (h). Variation of 1/(CoA rate) showing the collective target time. (i). Variation of the diffusion length, showing the collective target time. (j). Variation of the domain width showing the collective target time for weak (dashed) and strong co-attraction (solid line).
Figure 5. Optimal rate of response to co-attraction.System behaviour for strong co-attraction, showing an optimal rate at 1/(CoA rate). (a). Coherence is maintained for high rates of co-attraction. (b). Speed is reduced as the rate of co-attraction increases. (c). Collective target time. The smallest target time occurs at 1/(CoA rate).
Figure 6. Co-attraction facilitates stream guidance.(a). +CIL,+CoA, cells respond to the restrictive cues and remain in the migratory region. (b). +CIL,−CoA, cells neglect restrictive cues and migrate into the restricted region. (c). Control NC cells migrating in vivo. (d). C3aR MO cells migrating in vivo. In this case single cells cross into restricted regions. (e). Quantification on the percentage of the population that has moved into the restricted region throughout simulation (blue) and in vitro experiment (red).
Figure 1. Discrete element model.Disks (broken lines) represent simulated cells, with cartoon NC cells overlaid. The polarity of each cell is shown (black arrow) and the forces attenuating or amplifying protrusion formation are indicated with red and blue arrows (respectively). (a). Self-propulsion and rotational turning (blue dashed arrow) force terms: cells attempt to maintain an intrinsic speed and polarity by acceleration (blue arrow), and deceleration (red arrow). (b). CIL: as cells come into contact, contact forces exist at the contact region. In addition, biological intracellular communication promotes the retraction of protrusions near the contact site (red region). Intracellular communication affected by contact promotes protrusion formation at the free edge (blue region). (c). Forces applied during CIL: classical overlap and repolarization are indicated (solid red and blue arrows). Deviation from the classical theory of contact is represented as a random angle (blue dotted arrows). (dâf). Frames of a time-lapse movie of zebrafish NC migrating in vivo. Green labels GFP expressed in the NC under Sox10 regulatory elements; Red: cell protrusions. Two cells (1 and 2) are shown. Arrow: direction of migration for cell 1. (d). Before contact. (e). During contact protrusions collapse. (f). After CIL, protrusions are generated at the free edge. (g). Secretion of co-attractant: at the single cell level the cell experiences a retraction of protrusion. (h). Co-attraction for multiple cells: individual cells experience the co-attractant generated by the whole population and attempt to align their polarity to the gradient with the sensing ray (green line, star indicates the location of the measurement). (i). Typical surface profile of the co-attractant: individual sources and their sum are shown (colour and grey plots resp.). (j). Simulation set up, designed to represent NC streams in vivo: Cell positions represent the origination and initial conditions of the NC. The vertical borders represent the restrictive cues that surround the migratory stream. (k). Diagram representing the computational overlap, where overlap represents the deformation of the cells.
ABERCROMBIE,
Observations on the social behaviour of cells in tissue culture. I. Speed of movement of chick heart fibroblasts in relation to their mutual contacts.
1953, Pubmed
ABERCROMBIE,
Observations on the social behaviour of cells in tissue culture. I. Speed of movement of chick heart fibroblasts in relation to their mutual contacts.
1953,
Pubmed ABERCROMBIE,
Observations on the social behaviour of cells in tissue culture. II. Monolayering of fibroblasts.
1954,
Pubmed Adams,
Changes in keratinocyte adhesion during terminal differentiation: reduction in fibronectin binding precedes alpha 5 beta 1 integrin loss from the cell surface.
1990,
Pubmed Alfandari,
Integrin alpha5beta1 supports the migration of Xenopus cranial neural crest on fibronectin.
2003,
Pubmed
,
Xenbase Astin,
Competition amongst Eph receptors regulates contact inhibition of locomotion and invasiveness in prostate cancer cells.
2010,
Pubmed Bard,
The behavior of fibroblasts from the developing avian cornea. Morphology and movement in situ and in vitro.
1975,
Pubmed Bindschadler,
Sheet migration by wounded monolayers as an emergent property of single-cell dynamics.
2007,
Pubmed Bracke,
Functional downregulation of the E-cadherin/catenin complex leads to loss of contact inhibition of motility and of mitochondrial activity, but not of growth in confluent epithelial cell cultures.
1997,
Pubmed Buhl,
From disorder to order in marching locusts.
2006,
Pubmed Cano,
The transcription factor snail controls epithelial-mesenchymal transitions by repressing E-cadherin expression.
2000,
Pubmed Carmona-Fontaine,
Complement fragment C3a controls mutual cell attraction during collective cell migration.
2011,
Pubmed
,
Xenbase Carmona-Fontaine,
Contact inhibition of locomotion in vivo controls neural crest directional migration.
2008,
Pubmed
,
Xenbase Couzin,
Collective memory and spatial sorting in animal groups.
2002,
Pubmed Cox,
A strain-cue hypothesis for biological network formation.
2011,
Pubmed Crosnier,
Organizing cell renewal in the intestine: stem cells, signals and combinatorial control.
2006,
Pubmed Darnton,
Dynamics of bacterial swarming.
2010,
Pubmed Davis,
Significance of cell-to cell contacts for the directional movement of neural crest cells within a hydrated collagen lattice.
1981,
Pubmed Douarche,
E. Coli and oxygen: a motility transition.
2009,
Pubmed Dufour,
Attachment, spreading and locomotion of avian neural crest cells are mediated by multiple adhesion sites on fibronectin molecules.
1988,
Pubmed Flaxman,
Ultrastructural studies of the early junctional zone formed by keratinocytes showing contact inhibition of movement in vitro.
1974,
Pubmed Friedl,
Collective cell migration in morphogenesis and cancer.
2004,
Pubmed Fuller,
External and internal constraints on eukaryotic chemotaxis.
2010,
Pubmed Gambardella,
The multifaceted adult epidermal stem cell.
2003,
Pubmed Gooday,
Contact behaviour exhibited by migrating neural crest cells in confrontation culture with somitic cells.
1985,
Pubmed Handegard,
The dynamics of coordinated group hunting and collective information transfer among schooling prey.
2012,
Pubmed Hotulainen,
Stress fibers are generated by two distinct actin assembly mechanisms in motile cells.
2006,
Pubmed Huttenlocher,
Integrin and cadherin synergy regulates contact inhibition of migration and motile activity.
1998,
Pubmed Kuriyama,
Molecular analysis of neural crest migration.
2008,
Pubmed
,
Xenbase Ladwein,
On the Rho'd: the regulation of membrane protrusions by Rho-GTPases.
2008,
Pubmed Landman,
Building stable chains with motile agents: Insights into the morphology of enteric neural crest cell migration.
2011,
Pubmed Martin,
Wound healing--aiming for perfect skin regeneration.
1997,
Pubmed Matthews,
Directional migration of neural crest cells in vivo is regulated by Syndecan-4/Rac1 and non-canonical Wnt signaling/RhoA.
2008,
Pubmed
,
Xenbase Mayor,
Keeping in touch with contact inhibition of locomotion.
2010,
Pubmed McLennan,
Multiscale mechanisms of cell migration during development: theory and experiment.
2012,
Pubmed McLennan,
Vascular endothelial growth factor (VEGF) regulates cranial neural crest migration in vivo.
2010,
Pubmed Mogilner,
Mutual interactions, potentials, and individual distance in a social aggregation.
2003,
Pubmed Newgreen,
Morphology and behaviour of neural crest cells of chick embryo in vitro.
1979,
Pubmed Olesnicky Killian,
A role for chemokine signaling in neural crest cell migration and craniofacial development.
2009,
Pubmed Rovasio,
Neural crest cell migration: requirements for exogenous fibronectin and high cell density.
1983,
Pubmed Shklarsh,
Smart swarms of bacteria-inspired agents with performance adaptable interactions.
2011,
Pubmed Simpson,
Cell proliferation drives neural crest cell invasion of the intestine.
2007,
Pubmed Stramer,
Clasp-mediated microtubule bundling regulates persistent motility and contact repulsion in Drosophila macrophages in vivo.
2010,
Pubmed Szabó,
Phase transition in the collective migration of tissue cells: experiment and model.
2006,
Pubmed Theveneau,
Neural crest delamination and migration: from epithelium-to-mesenchyme transition to collective cell migration.
2012,
Pubmed
,
Xenbase Theveneau,
Collective cell migration of the cephalic neural crest: the art of integrating information.
2011,
Pubmed Theveneau,
Integrating chemotaxis and contact-inhibition during collective cell migration: Small GTPases at work.
2010,
Pubmed Theveneau,
Collective chemotaxis requires contact-dependent cell polarity.
2010,
Pubmed
,
Xenbase Thiery,
Epithelial-mesenchymal transitions in development and disease.
2009,
Pubmed Tucker,
The control of pigment cell pattern formation in the California newt, Taricha torosa.
1986,
Pubmed Vedel,
Migration of cells in a social context.
2013,
Pubmed Wynn,
Follow-the-leader cell migration requires biased cell-cell contact and local microenvironmental signals.
2013,
Pubmed Wynn,
Computational modelling of cell chain migration reveals mechanisms that sustain follow-the-leader behaviour.
2012,
Pubmed Yamao,
Multi-cellular logistics of collective cell migration.
2011,
Pubmed Zhou,
Macroscopic stiffening of embryonic tissues via microtubules, RhoGEF and the assembly of contractile bundles of actomyosin.
2010,
Pubmed
,
Xenbase