XB-ART-51190
Elife
2015 Aug 22;4:e08142. doi: 10.7554/eLife.08142.
Show Gene links
Show Anatomy links
Conformational change of Dishevelled plays a key regulatory role in the Wnt signaling pathways.
???displayArticle.abstract???
The intracellular signaling molecule Dishevelled (Dvl) mediates canonical and non-canonical Wnt signaling via its PDZ domain. Different pathways diverge at this point by a mechanism that remains unclear. Here we show that the peptide-binding pocket of the Dvl PDZ domain can be occupied by Dvl's own highly conserved C-terminus, inducing a closed conformation. In Xenopus, Wnt-regulated convergent extension (CE) is readily affected by Dvl mutants unable to form the closed conformation than by wild-type Dvl. We also demonstrate that while Dvl cooperates with other Wnt pathway elements to activate canonical Wnt signaling, the open conformation of Dvl more effectively activates Jun N-terminal kinase (JNK). These results suggest that together with other players in the Wnt signaling pathway, the conformational change of Dvl regulates Wnt stimulated JNK activity in the non-canonical Wnt signaling.
???displayArticle.pubmedLink??? 26297804
???displayArticle.pmcLink??? PMC4577825
???displayArticle.link??? Elife
???displayArticle.grants??? [+]
Species referenced: Xenopus
Genes referenced: axin1 dact1 dvl1 dvl2 jun mapk8 mnt myc sia1 tmem278
???attribute.lit??? ???displayArticles.show???
|
|
Figure 1. The C-terminal tail of Dishevelled (Dvl) is a PDZ domain binding motif.Sequence alignment of the C-terminus of Dvl/Dsh from selected species (Wallingford and Habas, 2005), showing residue numbers.DOI: http://dx.doi.org/10.7554/eLife.08142.003 |
|
|
Figure 2. Competitive binding experiments.The KD value of the fluorescence-labeled Dapper (Dpr)-derived peptide Rox-DprC was obtained by plotting 1/ΔmP vs 1/[PDZ], where ΔmP is the fluorescence polarization change (×1000) of Rox-DprC and [PDZ] is the concentration of the PDZ domain of Dvl. The KI values of the Dvl-C and Dsh-C peptides were obtained by using the equation KDapp = (KD/(1 + [I]/KI)).DOI: http://dx.doi.org/10.7554/eLife.08142.004 |
|
|
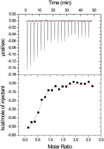
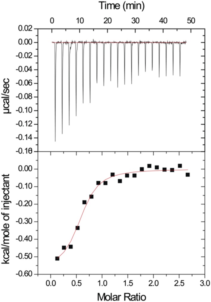
Figure 3. Isothermal titration calorimetry experiment.The MicroCal Auto-iTC-200 was used to obtain the binding affinity of Dvl-C peptide and Dvl PDZ protein in 50 mM phosphate buffer. The concentration of Dvl-C peptide in the syringe was 1.05 mM and the concentration of Dvl PDZ domain in the cell was 0.114 mM. The KD value was averaged from two independent experiments at 25°C.DOI: http://dx.doi.org/10.7554/eLife.08142.005 |
|
|
Figure 4. Direct interaction of the Dvl C-terminus and PDZ domain.(A) Overlap of 1H-15N HSQC spectra of 15N-labeled PDZ domain without (blue) and with the unlabeled peptide (SEFFVDVM) derived from the extreme C-terminus of Dvl. Free: blue; final: red; ratio of peptide:protein = 20:1. (B) Overlap of 1H-15N HSQC spectra of 15N-labeled PDZ domain without (blue) and with unlabeled peptide (QDVSVSNYVL) derived from the C-terminus of Drosophila Dsh (Dsh-C). Blue: free; red: final; ratio of peptide:protein = 20:1.DOI: http://dx.doi.org/10.7554/eLife.08142.006 |
|
|
Figure 5. Solution NMR structure of Dvl PDZ domain in complex with Dvl-C peptide.(A) 2D plane of 3D 13C-F1-half-filtered F2-edited NOESY-HSQC spectrum (mixing time, 300 ms) at 15°C. The ratio of peptide:protein was 10:1. [13C,15N-PDZ] = â¼1 mM. (B) A stereo view of the backbone of 15 superimposed structures of the Dvl PDZâDvl-C peptide complex. (C) Ribbon diagram of the lowest-energy structure of the Dvl PDZ/Dvl-C peptide complex. (D) Surface of Dvl-1 PDZ bound to Dvl-C peptide (carbon, green; nitrogen, blue; sulfur, yellow; oxygen, red; hydrogen atoms are omitted for clarity). (E) Structural details of the Dvl-C peptideâPDZ domain complex. The side chain of Asp(-2) in the Dvl-C peptide forms a hydrogen bond with the side chain of Arg322 on the αB-structure.DOI: http://dx.doi.org/10.7554/eLife.08142.00710.7554/eLife.08142.008Figure 5âsource data 1. Intermolecular NOEs between the Dvl-C peptide and the PDZ domain obtained from 13C-half-filtered NOESY-HSQC spectraa.DOI: http://dx.doi.org/10.7554/eLife.08142.008Figure 5âsource data 2. Structure statistics for the 15 lowest-energy peptide-PDZ complexes.DOI: http://dx.doi.org/10.7554/eLife.08142.009Figure 5âfigure supplement 1. The mutant Dvl-1 PDZ (R322A) domain binds more weakly than wild-type Dvl-1 PDZ domain to the Dvl-C peptide.Overlap of the 1H-15N HSQC spectra of the labeled mutant Dvl PDZ (R322A) domain and the Dvl-C peptide. The mutation dramatically weakens interaction with the Dvl-C peptide (free: blue; final titration: red; final peptide:protein ratio = 4:1).DOI: http://dx.doi.org/10.7554/eLife.08142.010 |
|
|
Figure 6. The binding pocket of the Dvl PDZ domain can be occupied by its intrinsic C-terminus.(A) Schematic representation of protein constructs mC1 (residues 251â695) and mC1-CÎ7 (residues 251â688) numbered according to the mouse Dvl-1 protein sequence. (B) Polarization change of the fluorescence-labeled peptide Rox-DprC (Rox-SGSLKLMTTV, derived from the C-terminus of Dpr) after addition of mC1-CÎ7 and mC1 proteins in 50 mM phosphate with 0.3 M NaCl and 6 mM β-mercaptoethanol. For the binding of Rox-DprC to mC1, KD is 3.8 ± 0.5 μM the value was obtained by fitting the titration data with the equation: ÎmP = ÎmPmax à [P]/([P] + KD), where ÎmP is the polarization change of Rox-DprC, [P] is the concentration of protein, and both KD and ÎmPmax are the fitting variables. For the binding of Rox-DprC to mC1-CÎ7, KD was estimated as 68 ± 5 μM. Because of the limitation in the titration study, to estimate the KD value, although we used the same equation to fit the titration data, in the fitting, Kd was the only variable and the maximum polarization change, ÎmPmax, was fixed to the value that was obtained in the titration study of Rox-DprC binds to mC1-CÎ7.DOI: http://dx.doi.org/10.7554/eLife.08142.011 |
|
|
Figure 7. Effect of wild-type XDsh and XDsh-CΔ8 activity on canonical Wnt signaling.Luciferase assay using a Siamois promoter reporter (Sialuc). Sialuc DNA (200 pg) was injected alone or with myc-tagged Xdsh or Xdsh-CΔ8 mRNA (500 pg) into the animal pole region of 2-cell Xenopus embryos. Ectodermal explants were dissected at the early gastrula stage for luciferase assay. Values are the means ±SD from four independent experiments (p < 0.05). Inset shows a representative western blot using anti-myc antibody (9E10) to control for XDsh and XDsh-CΔ8 protein expression in the four experiments.DOI: http://dx.doi.org/10.7554/eLife.08142.012 |
|
|
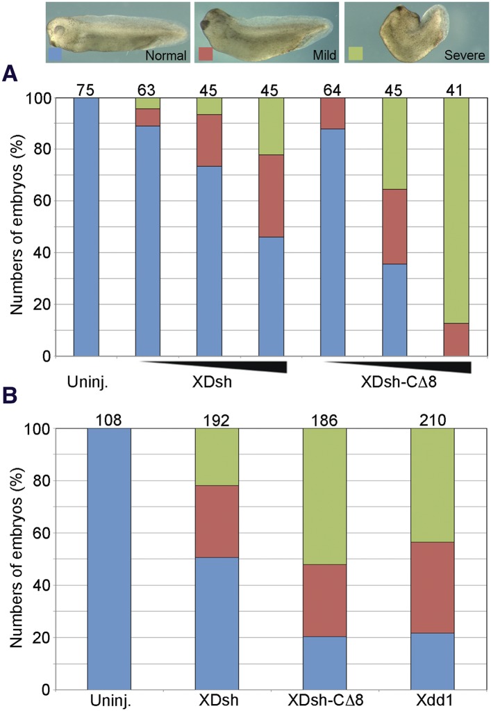
Figure 8. The open conformation of Dvl significantly enhances gain-of-function planar cell polarity (PCP) signaling.(A) Xenopus embryonic abnormal convergent extension (CE) phenotypes induced by injection of wild-type XDsh and XDsh-CÎ8 mRNA at three increasing concentrations (arrows at bottom represent 80 pg, 200 pg and 500 pg of injected mRNA; above are numbers of embryos injected from two independent experiments). Phenotypes are severe (green), mild (red), and normal (blue). (B) Comparison of phenotypes induced by dose-equivalent injections (500 pg mRNA) of XDsh, XDsh-CÎ8, and Xdd1 (a well-established dominant-negative XDsh mutant). XDsh-CÎ8 and Xdd1 induced similar phenotypes. The numbers of embryos injected from three independent experiments are listed on the top of each column.DOI: http://dx.doi.org/10.7554/eLife.08142.013 |
|
|
Figure 9. The open conformation of Dvl disrupts CE by activating Jun N-terminal kinase (JNK).(A) Western blot of phosphorylated JNK in ventral mesoderm cells overexpressing wild-type XDsh or its mutants. At equivalent protein level, Xdd1 and XDsh-CÎ8 more potently induce JNK phosphorylation than wild-type XDsh. (B) Xenopus 4-cell stage embryos were dorsally coinjected with equal quantities of wild-type XDsh mRNA or XDsh-CÎ8 mRNA (500 pg) and the AP1-luciferase reporter DNA (200 pg); luciferase activity was assayed at the late gastrula stage. Inset shows a representative Western blot using anti-myc antibody to control XDsh and XDsh-CÎ8 protein levels. Values are the mean and SD from three independent experiments (XDsh vs XDsh-CÎ8, p < 0.05). (CâH) The dominant negative JNK mutant (dnJNK) rescues activin-induced explant elongation blocked by overexpression of XDsh-CÎ8 or Xdd1. (C) Uninjected explants treated with activin show extensive elongation. (D) XDsh-injected explants treated with activin show moderate inhibition of explant elongation. (E) Injection of XDsh-CÎ8 strongly inhibits explant elongation. (F) Injection of Xdd1 similarly inhibits explant elongation as injection of XDsh-CÎ8. (G, H) dnJNK rescues explant elongation inhibited by XDsh-CÎ8 or Xdd1. (I) dnJNK also recues CE defects produced by overexpression of XDsh-CÎ8 or Xdd1 in whole embryos. Phenotypes are severe (green), mild (red), and normal (blue). Numbers on the top indicate total embryos scored from three independent experiments.DOI: http://dx.doi.org/10.7554/eLife.08142.014 |
|
|
Figure 10. The open conformation of Dvl induced by targeting the Dvl PDZ domain potentiates Wnt/JNK signaling.(A) Regulation of XDsh-mediated PCP signaling by a PDZ-binding small molecule or peptide is shown by the gain-of-function CE phenotypes of whole embryos that were uninjected (controls) or injected with XDsh mRNA with or without treatment with the Dvl inhibitors 3209–8625 or coinjected with XDsh and TMEM88-C mRNAs. (B) Inhibiting the Dvl PDZ domain blocks canonical Wnt signalling induced by Dvl overexpression. Wild-type XDsh mRNA was injected alone or coinjected with an equal quantity of TMEM88-C mRNA in the animal pole region of two-cell stage Xenopus embryos, and ectodermal explants were dissected at the late blastula stage. TOPFLASH luciferase activity values are the mean and SD from three independent experiments (p < 0.05). (C) Inhibition of the Dvl PDZ domain by TMEM88 opens the conformation of Dvl and potentiates Wnt/JNK signaling induced by Dvl overexpression. Xenopus 4-cell stage embryos were injected dorsally with wild-type XDsh mRNA or coinjected with equal quantities of wild-type XDsh mRNA and TMEM88-C mRNA. AP1 luciferase activity was assayed at the late gastrula stage. Values are the mean and SD from three independent experiments (p < 0.05).DOI: http://dx.doi.org/10.7554/eLife.08142.015 |
|
|
Author response image 1. DOI: http://dx.doi.org/10.7554/eLife.08142.018 |
|
|
Figure 5—figure supplement 1. The mutant Dvl-1 PDZ (R322A) domain binds more weakly than wild-type Dvl-1 PDZ domain to the Dvl-C peptide.Overlap of the 1H-15N HSQC spectra of the labeled mutant Dvl PDZ (R322A) domain and the Dvl-C peptide. The mutation dramatically weakens interaction with the Dvl-C peptide (free: blue; final titration: red; final peptide:protein ratio = 4:1).DOI: http://dx.doi.org/10.7554/eLife.08142.010 |
References [+] :
Angers,
Proximal events in Wnt signal transduction.
2009, Pubmed
Angers, Proximal events in Wnt signal transduction. 2009, Pubmed
Axelrod, Differential recruitment of Dishevelled provides signaling specificity in the planar cell polarity and Wingless signaling pathways. 1998, Pubmed , Xenbase
Bilic, Wnt induces LRP6 signalosomes and promotes dishevelled-dependent LRP6 phosphorylation. 2007, Pubmed
Boutros, Dishevelled activates JNK and discriminates between JNK pathways in planar polarity and wingless signaling. 1998, Pubmed
Boutros, Dishevelled: at the crossroads of divergent intracellular signaling pathways. 1999, Pubmed , Xenbase
Brannon, A beta-catenin/XTcf-3 complex binds to the siamois promoter to regulate dorsal axis specification in Xenopus. 1997, Pubmed , Xenbase
Carron, Antagonistic interaction between IGF and Wnt/JNK signaling in convergent extension in Xenopus embryo. 2005, Pubmed , Xenbase
Cheyette, Dapper, a Dishevelled-associated antagonist of beta-catenin and JNK signaling, is required for notochord formation. 2002, Pubmed , Xenbase
Czibere, The nonsteroidal anti-inflammatory drug Exisulind selectively induces apoptosis via JNK in secondary acute myeloid leukemia after myelodysplastic syndrome. 2005, Pubmed
Djiane, Role of frizzled 7 in the regulation of convergent extension movements during gastrulation in Xenopus laevis. 2000, Pubmed , Xenbase
Dominguez, HADDOCK: a protein-protein docking approach based on biochemical or biophysical information. 2003, Pubmed
Fiedler, Dishevelled interacts with the DIX domain polymerization interface of Axin to interfere with its function in down-regulating β-catenin. 2011, Pubmed
Gao, Dishevelled: The hub of Wnt signaling. 2010, Pubmed
Gao, Autophagy negatively regulates Wnt signalling by promoting Dishevelled degradation. 2010, Pubmed
Grandy, Discovery and characterization of a small molecule inhibitor of the PDZ domain of dishevelled. 2009, Pubmed , Xenbase
Habas, Dishevelled and Wnt signaling: is the nucleus the final frontier? 2005, Pubmed
Habas, Wnt/Frizzled activation of Rho regulates vertebrate gastrulation and requires a novel Formin homology protein Daam1. 2001, Pubmed , Xenbase
Jones, Planar cell polarity signaling in vertebrates. 2007, Pubmed
Lee, Sulindac inhibits canonical Wnt signaling by blocking the PDZ domain of the protein Dishevelled. 2009, Pubmed , Xenbase
Lee, The roles of APC and Axin derived from experimental and theoretical analysis of the Wnt pathway. 2003, Pubmed , Xenbase
Lee, PDZ domains and their binding partners: structure, specificity, and modification. 2010, Pubmed
Lee, Identification of transmembrane protein 88 (TMEM88) as a dishevelled-binding protein. 2010, Pubmed , Xenbase
Lee, Identification of tripeptides recognized by the PDZ domain of Dishevelled. 2009, Pubmed
Li, Dishevelled proteins lead to two signaling pathways. Regulation of LEF-1 and c-Jun N-terminal kinase in mammalian cells. 1999, Pubmed
Liu, Mechanism of activation of the Formin protein Daam1. 2008, Pubmed , Xenbase
Logan, The Wnt signaling pathway in development and disease. 2004, Pubmed
Mao, Low-density lipoprotein receptor-related protein-5 binds to Axin and regulates the canonical Wnt signaling pathway. 2001, Pubmed
Moriguchi, Distinct domains of mouse dishevelled are responsible for the c-Jun N-terminal kinase/stress-activated protein kinase activation and the axis formation in vertebrates. 1999, Pubmed , Xenbase
Noordermeer, dishevelled and armadillo act in the wingless signalling pathway in Drosophila. 1994, Pubmed
Park, Subcellular localization and signaling properties of dishevelled in developing vertebrate embryos. 2005, Pubmed , Xenbase
Rice, Sulindac independently modulates extracellular signal-regulated kinase 1/2 and cyclic GMP-dependent protein kinase signaling pathways. 2006, Pubmed
Rui, A beta-catenin-independent dorsalization pathway activated by Axin/JNK signaling and antagonized by aida. 2007, Pubmed
Schwarz-Romond, The DIX domain of Dishevelled confers Wnt signaling by dynamic polymerization. 2007, Pubmed
Shan, Optimizing Dvl PDZ domain inhibitor by exploring chemical space. 2009, Pubmed
Shan, Synthesis of potent dishevelled PDZ domain inhibitors guided by virtual screening and NMR studies. 2012, Pubmed
Shan, Identification of a specific inhibitor of the dishevelled PDZ domain. 2005, Pubmed , Xenbase
Simons, Electrochemical cues regulate assembly of the Frizzled/Dishevelled complex at the plasma membrane during planar epithelial polarization. 2009, Pubmed
Singh, The non-steroidal anti-inflammatory drugs Sulindac sulfide and Diclofenac induce apoptosis and differentiation in human acute myeloid leukemia cells through an AP-1 dependent pathway. 2011, Pubmed
Sokol, Analysis of Dishevelled signalling pathways during Xenopus development. 1996, Pubmed , Xenbase
Sokol, A role for Wnts in morpho-genesis and tissue polarity. 2000, Pubmed
Sokol, Dorsalizing and neuralizing properties of Xdsh, a maternally expressed Xenopus homolog of dishevelled. 1995, Pubmed , Xenbase
Tamai, A mechanism for Wnt coreceptor activation. 2004, Pubmed , Xenbase
Tauriello, Wnt/β-catenin signaling requires interaction of the Dishevelled DEP domain and C terminus with a discontinuous motif in Frizzled. 2012, Pubmed , Xenbase
Theisen, dishevelled is required during wingless signaling to establish both cell polarity and cell identity. 1994, Pubmed
Tonikian, A specificity map for the PDZ domain family. 2008, Pubmed
Umbhauer, The C-terminal cytoplasmic Lys-thr-X-X-X-Trp motif in frizzled receptors mediates Wnt/beta-catenin signalling. 2000, Pubmed , Xenbase
Wallingford, The developmental biology of Dishevelled: an enigmatic protein governing cell fate and cell polarity. 2005, Pubmed
Wang, Dishevelled genes mediate a conserved mammalian PCP pathway to regulate convergent extension during neurulation. 2006, Pubmed , Xenbase
Wharton, Runnin' with the Dvl: proteins that associate with Dsh/Dvl and their significance to Wnt signal transduction. 2003, Pubmed
Wong, Direct binding of the PDZ domain of Dishevelled to a conserved internal sequence in the C-terminal region of Frizzled. 2003, Pubmed , Xenbase
Yamanaka, JNK functions in the non-canonical Wnt pathway to regulate convergent extension movements in vertebrates. 2002, Pubmed , Xenbase
Zhou, Detection of a hidden folding intermediate in the focal adhesion target domain: Implications for its function and folding. 2006, Pubmed
