Click here to close
Hello! We notice that you are using Internet Explorer, which is not supported by Xenbase and may cause the site to display incorrectly.
We suggest using a current version of Chrome,
FireFox, or Safari.
J Med Genet
2016 Mar 01;533:152-62. doi: 10.1136/jmedgenet-2015-103393.
Show Gene links
Show Anatomy links
Deletions and de novo mutations of SOX11 are associated with a neurodevelopmental disorder with features of Coffin-Siris syndrome.
Hempel A, Pagnamenta AT, Blyth M, Mansour S, McConnell V, Kou I, Ikegawa S, Tsurusaki Y, Matsumoto N, Lo-Castro A, Plessis G, Albrecht B, Battaglia A, Taylor JC, Howard MF, Keays D, Sohal AS, , Kühl SJ, Kini U, McNeill A.
???displayArticle.abstract???
BACKGROUND: SOX11 is a transcription factor proposed to play a role in brain development. The relevance of SOX11 to human developmental disorders was suggested by a recent report of SOX11 mutations in two patients with Coffin-Siris syndrome. Here we further investigate the role of SOX11 variants in neurodevelopmental disorders.
METHODS: We used array based comparative genomic hybridisation and trio exome sequencing to identify children with intellectual disability who have deletions or de novo point mutations disrupting SOX11. The pathogenicity of the SOX11 mutations was assessed using an in vitro gene expression reporter system. Loss-of-function experiments were performed in xenopus by knockdown of Sox11 expression.
RESULTS: We identified seven individuals with chromosome 2p25 deletions involving SOX11. Trio exome sequencing identified three de novo SOX11 variants, two missense (p.K50N; p.P120H) and one nonsense (p.C29*). The biological consequences of the missense mutations were assessed using an in vitro gene expression system. These individuals had microcephaly, developmental delay and shared dysmorphic features compatible with mild Coffin-Siris syndrome. To further investigate the function of SOX11, we knocked down the orthologous gene in xenopus. Morphants had significant reduction in head size compared with controls. This suggests that SOX11 loss of function can be associated with microcephaly.
CONCLUSIONS: We thus propose that SOX11 deletion or mutation can present with a Coffin-Siris phenotype.
???displayArticle.pubmedLink???
26543203 ???displayArticle.pmcLink???PMC4789813 ???displayArticle.link???J Med Genet ???displayArticle.grants???[+]
Figure1. Schematic diagram of deletions. The deletions are displayed as a custom track in UCSC genome browser with refseq genes using hg 19. The horizontal black bars represent the deletion in each patient and the two dashed vertical lines represent the smallest region of overlap. The smallest region of overlap contains only the SOX11 gene.
Figure 2. Clinical photographs of study participants. (A). Case 4: facial photograph in top panel, photograph of hands in lower panel (note fifth finger clinodactyly). (B). Case 2: facial photograph in top panel, photograph of hands in lower panel (note fifth finger clinodactyly). (C) Case 3: facial photograph in top panel, photograph of hands in lower panel (note fifth finger clinodactyly). (D) Case 1: facial photograph in top panel. Reproduced from Lo-Castro et al.17 (E) Boy with c.150G>C (p. Lys50Asn) SOX11 mutation (case 9). Facial photograph in top panel, hand in middle panel (note fifth finger clinodactyly) and foot in lowermost panel (note broad hallux and 2–3 toe syndactyly). (F) Boy with c.87C>A (p. Cys29*) SOX11 mutation (case 10). Facial photograph in top panel, hand in middle panel (note fifth finger clinodactyly) and foot in lowermost panel (note broad hallux, 2–3 toe syndactyly and hypoplasia of nail of fifth toe). (G). Girl with c.359C>A (p. Pro120His) SOX11 mutation (case 8). Facial photograph in top panel, hand in middle panel (note fifth finger clinodactyly) and foot in lowermost panel (note broad hallux and hypoplasia of nail of fifth toe). (H) Case 7. Facial photograph in top panel, photograph of hands in lower panel (note fifth finger clinodactyly and small nails on fifth finger).
Figure3. SOX11 variants identified in the current study. (A) Schematic diagram of SOX11 protein demonstrating location of three reported sequence variants. The p.S60P and p.Y116C variants reported by Tsurusaki et al8 are also shown, the structural effects of these mutations can be found in reference 8. (B and D) Models demonstrating alteration of SOX11 protein structure associated with the two missense variants. Green areas represent the wildtype residue while the red area indicates the structure adopted by the mutant amino acid. Both the missense variants were in the DNA binding domain of SOX11 and predicted to alter its structure, thus interfering with DNA binding. (C) Bar chart demonstrating that the twoSOX11 missense variants had reduce ability to activate the GDF5 promoter in an in vitro reporter system. The adjacent western blot confirms that the mutant proteins were stably expressed during the experiment.
Figure 4. Sox11 knockdown leads to microcephaly in Xenopus laevis. (A) Bilateral injection of Sox11 MO results in significant smaller heads measured by the head area (white dotted circles) and the pupillary distance (red lines) compared with bilateral control MO injections. In addition, Sox11 morphants show an eye phenotype as previously described (red arrowhead; Cizelsky et al14). (B) Statistical evaluation of the measured head area. (C) Statistical evaluation of the measured pupillary distance. N, number of individual embryos analysed. ****, pâ¤0.0001. p Values were calculated by a non-parametric MannâWhitney rank sum test.
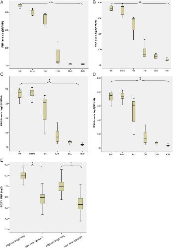
Figure 5. Expression of SOX11 in developing human brain. (A–D) Changes in SOX11 expression levels as measured by RNA-sequencing in the cerebellum, hippocampus, prefrontal cortex and striatum, respectively. Columns labelled first, second and third refer to trimesters of pregnancy. Column 10 represents the first decade of life, 20 the second decade of life and 40 the third and fourth decades. There was a significant decline in SOX11 expression levels with increasing age as assessed by the Kruskal–Wallis test (p<0.01). (E) Microarray data demonstrating that SOX11 is expression is higher in brain regions with high levels of neurogenesis (periventricular) compared with areas with low levels of neurogenesis (cerebellum, thalamus, brain stem), *p<0.01. The first two columns represent 15 weeks of gestation while the second two columns represent 21 weeks of gestation.
Figure 1. Schematic diagram of deletions. The deletions are displayed as a custom track in UCSC genome browser with refseq genes using hg 19. The horizontal black bars represent the deletion in each patient and the two dashed vertical lines represent the smallest region of overlap. The smallest region of overlap contains only the SOX11 gene.
Figure 3. SOX11 variants identified in the current study. (A) Schematic diagram of SOX11 protein demonstrating location of three reported sequence variants. The p.S60P and p.Y116C variants reported by Tsurusaki et al8 are also shown, the structural effects of these mutations can be found in reference 8. (B and D) Models demonstrating alteration of SOX11 protein structure associated with the two missense variants. Green areas represent the wildtype residue while the red area indicates the structure adopted by the mutant amino acid. Both the missense variants were in the DNA binding domain of SOX11 and predicted to alter its structure, thus interfering with DNA binding. (C) Bar chart demonstrating that the twoSOX11 missense variants had reduce ability to activate the GDF5 promoter in an in vitro reporter system. The adjacent western blot confirms that the mutant proteins were stably expressed during the experiment.
Figure 4. Sox11 knockdown leads to microcephaly in Xenopus laevis. (A) Bilateral injection of Sox11 MO results in significant smaller heads measured by the head area (white dotted circles) and the pupillary distance (red lines) compared with bilateral control MO injections. In addition, Sox11 morphants show an eye phenotype as previously described (red arrowhead; Cizelsky et al14). (B) Statistical evaluation of the measured head area. (C) Statistical evaluation of the measured pupillary distance. N, number of individual embryos analysed. ****, p≤0.0001. p Values were calculated by a non-parametric Mann–Whitney rank sum test.
Boyle,
Cornelia de Lange syndrome.
2015,
Pubmed Bruns,
Twenty-five additional cases of trisomy 9 mosaic: Birth information, medical conditions, and developmental status.
2015,
Pubmed Campeau,
DOORS syndrome: phenotype, genotype and comparison with Coffin-Siris syndrome.
2014,
Pubmed Cizelsky,
sox4 and sox11 function during Xenopus laevis eye development.
2013,
Pubmed
,
Xenbase Cognet,
Dissection of the MYCN locus in Feingold syndrome and isolated oesophageal atresia.
2011,
Pubmed Czakó,
Opitz "C" trigonocephaly-like syndrome in a patient with terminal deletion of 2p and partial duplication of 17q.
2004,
Pubmed Deciphering Developmental Disorders Study,
Large-scale discovery of novel genetic causes of developmental disorders.
2015,
Pubmed De Rocker,
Refinement of the critical 2p25.3 deletion region: the role of MYT1L in intellectual disability and obesity.
2015,
Pubmed Ho,
RNF144A, an E3 ubiquitin ligase for DNA-PKcs, promotes apoptosis during DNA damage.
2014,
Pubmed Hoyer,
Haploinsufficiency of ARID1B, a member of the SWI/SNF-a chromatin-remodeling complex, is a frequent cause of intellectual disability.
2012,
Pubmed Kwok,
Mutations in SOX9, the gene responsible for Campomelic dysplasia and autosomal sex reversal.
1995,
Pubmed Lamb,
Haploinsufficiency of SOX5 at 12p12.1 is associated with developmental delays with prominent language delay, behavior problems, and mild dysmorphic features.
2012,
Pubmed Lo-Castro,
Deletion 2p25.2: a cryptic chromosome abnormality in a patient with autism and mental retardation detected using aCGH.
2009,
Pubmed Ninkovic,
The BAF complex interacts with Pax6 in adult neural progenitors to establish a neurogenic cross-regulatory transcriptional network.
2013,
Pubmed Pagnamenta,
Germline recessive mutations in PI4KA are associated with perisylvian polymicrogyria, cerebellar hypoplasia and arthrogryposis.
2015,
Pubmed Pillai-Kastoori,
Sox11 is required to maintain proper levels of Hedgehog signaling during vertebrate ocular morphogenesis.
2014,
Pubmed Pillai-Kastoori,
Keeping an eye on SOXC proteins.
2015,
Pubmed Pingault,
SOX10 mutations in patients with Waardenburg-Hirschsprung disease.
1998,
Pubmed Sabry,
Hand anomalies in fetal-hydantoin syndrome: from nail/phalangeal hypoplasia to unilateral acheiria.
1996,
Pubmed Santen,
The ARID1B phenotype: what we have learned so far.
2014,
Pubmed Sha,
SOX11 target genes: implications for neurogenesis and neuropsychiatric illness.
2012,
Pubmed Sim,
ARID1B-mediated disorders: Mutations and possible mechanisms.
2015,
Pubmed Sulem,
Identification of a large set of rare complete human knockouts.
2015,
Pubmed Tsurusaki,
De novo SOX11 mutations cause Coffin-Siris syndrome.
2014,
Pubmed Upadhyay,
Viperin is an iron-sulfur protein that inhibits genome synthesis of tick-borne encephalitis virus via radical SAM domain activity.
2014,
Pubmed Urbán,
Neurogenesis in the embryonic and adult brain: same regulators, different roles.
2014,
Pubmed Wang,
Transcription factor Sox11 is essential for both embryonic and adult neurogenesis.
2013,
Pubmed Wright,
Genetic diagnosis of developmental disorders in the DDD study: a scalable analysis of genome-wide research data.
2015,
Pubmed Xu,
Human UMP-CMP kinase 2, a novel nucleoside monophosphate kinase localized in mitochondria.
2008,
Pubmed Zarrei,
A copy number variation map of the human genome.
2015,
Pubmed