XB-ART-5222
J Cell Biol
2003 May 26;1614:769-77. doi: 10.1083/jcb.200211094.
Show Gene links
Show Anatomy links
Dishevelled activates Ca2+ flux, PKC, and CamKII in vertebrate embryos.
???displayArticle.abstract???
Wnt ligands and Frizzled (Fz) receptors have been shown to activate multiple intracellular signaling pathways. Activation of the Wnt-beta-catenin pathway has been described in greatest detail, but it has been reported that Wnts and Fzs also activate vertebrate planar cell polarity (PCP) and Wnt-Ca2+ pathways. Although the intracellular protein Dishevelled (Dsh) plays a dual role in both the Wnt-beta-catenin and the PCP pathways, its potential involvement in the Wnt-Ca2+ pathway has not been investigated. Here we show that a Dsh deletion construct, XDshDeltaDIX, which is sufficient for activation of the PCP pathway, is also sufficient for activation of three effectors of the Wnt-Ca2+ pathway: Ca2+ flux, PKC, and calcium/calmodulin-dependent protein kinase II (CamKII). Furthermore, we find that interfering with endogenous Dsh function reduces the activation of PKC by Xfz7 and interferes with normal heart development. These data suggest that the Wnt-Ca2+ pathway utilizes Dsh, thereby implicating Dsh as a component of all reported Fz signaling pathways.
???displayArticle.pubmedLink??? 12771126
???displayArticle.pmcLink??? PMC2199364
???displayArticle.link??? J Cell Biol
???displayArticle.grants??? [+]
Species referenced: Xenopus laevis
Genes referenced: camk2g dvl1 dvl2 fzd7 tbx2 tnni3 wnt5a
???displayArticle.morpholinos??? dvl2 MO1
???attribute.lit??? ???displayArticles.show???
|
|
Figure 1. XDshΔDIX activates PKC in a PTX- insensitive manner. Two-cell-stage Xenopus embryos were injected with RNAs encoding XPKCα–myc (0.5–1 ng) plus XDsh–GFP (0.5–1 ng), XDshΔDEP–GFP (0.5–1 ng), XDshΔDIX–GFP (0.5–1 ng), Rfz2 (0.5–1 ng), PTX (1–2 ng), and/or LacZ (as a control for normalizing levels of injected RNA, 0–4 ng) and cultured to stage 8, and animal caps were explanted. (a) XPKC (red) is localized primarily in the cytoplasm under control conditions. (b) Ectopic XDsh–GFP (green), which is localized to punctate structures, is relatively weak at activating translocation of XPKC (red) to the membrane. (c) XDshΔDEP–GFP (green) as well as XDshΔPDZ–GFP (not depicted) do not activate XPKC (red) membrane translocation. (c, inset) XDsh–GFP (lane 1) and XDshΔDIX–GFP (lane 2) are expressed equally, as detected by an anti-GFP Western blot. Although the protein in lane 2 migrates more rapidly on gels compared with lane 1 (not depicted), it is aligned with lane 1 to facilitate the comparison of signal intensities. (d) Expression of XDshΔDIX–GFP (green) activates translocation to the membrane of PKC (red). (e) Rfz2 (untagged) activates membrane translocation of XPKC (red). (f) Rfz-2–mediated membrane translocation of XPKC (red) is partially blocked by PTX. (g) The ability of XDshΔDIX–GFP (green) to induce membrane translocation of XPKC (red) is not blocked by PTX. (h) A schematic representing the three domains of Dsh discussed in the text. |
|
|
Figure 2. XDshΔDIX activates Ca2+ flux in a PTX-insensitive manner. Zebrafish embryos were injected with a Ca2+-sensitive dye along with respective RNAs and subjected to image analysis. In all panels, the image corresponds to the outline of a zebrafish embryo, depicting the spatial distribution of Ca2+ flux or lineage tracers as noted. (a) Control Ca2+ flux and (b) Rfz2 RNA–induced Ca2+ flux are low and high reference points, respectively (purple denotes low Ca2+ flux, and blue, green, yellow, and red denote increasing Ca2+ flux, respectively, as shown in the bar below b). (c) Unilateral injection of wild-type XDsh RNA produces a mild increase in Ca2+ transients compared with the control, a. (d) Lineage tracer coinjected with wild-type XDsh RNA establishes the spatial distribution of RNA after injection. (e) Injection of XDshΔDIX RNA produces a significant increase in Ca2+ transients in the region of f, the lineage tracer for XDshΔDIX RNA injection. (g) Ca2+ transients (blue) in embryos uniformly injected with Rfz2 RNA are reduced in regions expressing the A protomer of PTX comixed with lineage tracer, as seen in h. (i) Ca2+ transients in embryos uniformly injected with XWnt-5A RNA are similarly reduced in PTX-injected regions; PTX and tracer distribution shown in j. (k) Unilateral injection of XDshΔDIX RNA produces a significant increase in Ca2+ transients not blocked by PTX, with the spatial distribution of PTX shown in l. |
|
|
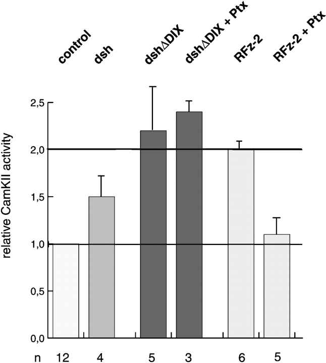
Figure 3. XDshΔDIX activates CamKII activity in a PTX-insensitive manner. Two-cell-stage Xenopus embryos were injected with RNAs encoding Rfz2, XDsh–GFP, XDshΔDIX–GFP, or PTX and processed for an in vitro CamKII activity assay. Injection of wt XDsh–GFP RNA produces a mild increase in CamKII activity compared with control embryos, whereas Rfz2 and XDshΔDIX–GFP RNAs produce a twofold activation compared with control embryos. Activation of CamKII by XDshΔDIX–GFP, unlike Rfz2, was not sensitive to coexpression of PTX. CamKII is rarely induced above two to threefold in any system (for review see Kühl et al., 2000a). |
|
|
Figure 4. Expression of the DEP domain of XDsh interferes with Xfz7-mediated activation of PKC. Two-cell-stage Xenopus embryos were injected with RNAs encoding XPKCα–myc (0.5–1 ng) and Xfz7 (0.5–1 ng) plus XDsh–GFP (0.5–1 ng), XDshΔDEP–GFP (0.5–1 ng), XDshΔDIX–GFP (0.5–1 ng), XDshΔPDZ–GFP (0.5–1 ng), XDEP–GFP (0.5–1 ng), and/or LacZ (as a control for normalizing levels of injected RNA, 0–4 ng) and cultured to stage 8, and animal caps were explanted. (a) XPKC (red) is localized to the plasma membrane when coexpressed with untagged Xfz7. (b) XDshΔDEP–GFP (green) and (c) XDshΔPDZ–GFP (green) do not block Xfz7-mediated membrane translocation of XPKC (red). (d) Both wt XDsh–GFP (green) and XPKC (red, yielding some yellow signal in areas of overlap with XDsh) are recruited to the plasma membrane upon coexpression of untagged Xfz7. (e) Expression of XDEP–GFP reduces membrane relocalization of XPKC by untagged Xfz7 (note increased red cytoplasmic XPKC signal compared with panel a), whereas XDEP–GFP itself is recruited to the plasma membrane by Xfz7 (green signal, appearing yellow at the membrane due to overlap with the red signal). (f) In the absence of ectopic Xfz7, XPKC (red) is localized throughout the cytoplasm, and XDEP–GFP (green) is localized diffusely throughout the cytoplasm (yellow denotes areas of overlapping signal). |
|
|
Figure 5. XDshMO blocks activation of PKC by Xfz7. Fertilized Xenopus eggs were injected with XDshMO (4â8 ng) or control MO (4â8 ng MoZNLK), plus RNAs encoding Xfz7 (0.5â1 ng), XDshâHA (0.5â1 ng), XPKCαâmyc (shown in panels aâd, 0.5â1 ng), and/or GFP (as a control to normalize RNA levels, 0â2 ng) and cultured to stage 8, and animal caps were explanted. (a) Xfz7 activates membrane translocation of XPKC (white signal). (b) Injection of XDshMO inhibits Xfz7-mediated membrane translocation of XPKC (note increased cytoplasmic signal compared with panel a). (c) A control MO does not inhibit membrane translocation of XPKC by Xfz7. (d) The effects of XDshMO can be rescued by injecting XDsh RNA that does not contain the 5â² UTR targeted by the MO (compare increased membrane staining of XPKC with the XPKC signal in panel b). (e) Western blots from animal cap lysates show that XDshMO reduces XDsh levels below that of GFP- or control MO-injected caps when probed with an anti-Dsh antibody (antiâ Dvl-1). Coinjection of XDshâHA RNA and XDshMO brings XDsh levels back to those of control animal caps, whereas expression of a control protein, spectrin, is not altered by any injection. (f) Lysates from animal caps were processed for an in vitro PKC activity assay, and a representative experiment is shown. Injection of XDshMO reduces XPKC activity below that of control MO-injected caps, and this activity is rescued by coinjection of XDshâHA RNA. |
|
|
Figure 6. Dsh is required for Xenopus heart development: effect of XDshMO on cardiac development. (a) Vegetal blastomeres of Xenopus eight-cell embryos were injected with a total of 50 ng of XDshMO or control MO, and the development of the heart was analyzed at stage 41–43 for a contractile phenotype. Lateral and ventral views of representative injected embryos are given. The contracting areas are indicated by the dashed red line and by a red arrow. (b) Summary of phenotypes of injected embryos. n represents the number of injected embryos and, below the bars, the number of embryos with the indicated heart phenotype. (c) Whole mount in situ hybridization against TnIc reveals weaker staining in XDshMO-injected embryos in comparison with embryos injected with the control MO. |
References [+] :
Adler,
Frizzled signaling and cell-cell interactions in planar polarity.
2001, Pubmed
Adler, Frizzled signaling and cell-cell interactions in planar polarity. 2001, Pubmed
Axelrod, Differential recruitment of Dishevelled provides signaling specificity in the planar cell polarity and Wingless signaling pathways. 1998, Pubmed , Xenbase
Boutros, Dishevelled: at the crossroads of divergent intracellular signaling pathways. 1999, Pubmed , Xenbase
Boutros, Dishevelled activates JNK and discriminates between JNK pathways in planar polarity and wingless signaling. 1998, Pubmed
Brown, The maternal Xenopus beta-catenin signaling pathway, activated by frizzled homologs, induces goosecoid in a cell non-autonomous manner. 2000, Pubmed , Xenbase
Choi, Xenopus Cdc42 regulates convergent extension movements during gastrulation through Wnt/Ca2+ signaling pathway. 2002, Pubmed , Xenbase
Cohen, DWnt4 regulates cell movement and focal adhesion kinase during Drosophila ovarian morphogenesis. 2002, Pubmed
Darken, The planar polarity gene strabismus regulates convergent extension movements in Xenopus. 2002, Pubmed , Xenbase
Djiane, Role of frizzled 7 in the regulation of convergent extension movements during gastrulation in Xenopus laevis. 2000, Pubmed , Xenbase
Drysdale, Cardiac troponin I is a heart-specific marker in the Xenopus embryo: expression during abnormal heart morphogenesis. 1994, Pubmed , Xenbase
Etienne-Manneville, Cdc42 regulates GSK-3beta and adenomatous polyposis coli to control cell polarity. 2003, Pubmed
Gilman, G proteins: transducers of receptor-generated signals. 1987, Pubmed
Habas, Wnt/Frizzled activation of Rho regulates vertebrate gastrulation and requires a novel Formin homology protein Daam1. 2001, Pubmed , Xenbase
Heasman, Morpholino oligos: making sense of antisense? 2002, Pubmed , Xenbase
Heisenberg, Silberblick/Wnt11 mediates convergent extension movements during zebrafish gastrulation. 2000, Pubmed
Huelsken, The Wnt signalling pathway. 2002, Pubmed
Kishida, DIX domains of Dvl and axin are necessary for protein interactions and their ability to regulate beta-catenin stability. 1999, Pubmed
Kühl, Non-canonical Wnt signaling in Xenopus: regulation of axis formation and gastrulation. 2002, Pubmed , Xenbase
Kühl, The Wnt/Ca2+ pathway: a new vertebrate Wnt signaling pathway takes shape. 2000, Pubmed
Kühl, Antagonistic regulation of convergent extension movements in Xenopus by Wnt/beta-catenin and Wnt/Ca2+ signaling. 2001, Pubmed , Xenbase
Kühl, Ca(2+)/calmodulin-dependent protein kinase II is stimulated by Wnt and Frizzled homologs and promotes ventral cell fates in Xenopus. 2000, Pubmed , Xenbase
Levi, Stimulation of Jun N-terminal kinase (JNK) by gonadotropin-releasing hormone in pituitary alpha T3-1 cell line is mediated by protein kinase C, c-Src, and CDC42. 1998, Pubmed
Li, Dishevelled proteins lead to two signaling pathways. Regulation of LEF-1 and c-Jun N-terminal kinase in mammalian cells. 1999, Pubmed
Liu, G protein signaling from activated rat frizzled-1 to the beta-catenin-Lef-Tcf pathway. 2001, Pubmed , Xenbase
Medina, Xenopus frizzled 7 can act in canonical and non-canonical Wnt signaling pathways: implications on early patterning and morphogenesis. 2000, Pubmed , Xenbase
Mellor, The extended protein kinase C superfamily. 1998, Pubmed
Miller, Mechanism and function of signal transduction by the Wnt/beta-catenin and Wnt/Ca2+ pathways. 1999, Pubmed
Mudher, Dishevelled regulates the metabolism of amyloid precursor protein via protein kinase C/mitogen-activated protein kinase and c-Jun terminal kinase. 2001, Pubmed
Pandur, Wnt-11 activation of a non-canonical Wnt signalling pathway is required for cardiogenesis. 2002, Pubmed , Xenbase
Peifer, The ballet of morphogenesis: unveiling the hidden choreographers. 2002, Pubmed , Xenbase
Penton, A mutational analysis of dishevelled in Drosophila defines novel domains in the dishevelled protein as well as novel suppressing alleles of axin. 2002, Pubmed
Sheldahl, Protein kinase C is differentially stimulated by Wnt and Frizzled homologs in a G-protein-dependent manner. 1999, Pubmed , Xenbase
Shulman, Frizzled signaling and the developmental control of cell polarity. 1998, Pubmed , Xenbase
Slusarski, Calcium imaging in cell-cell signaling. 2000, Pubmed
Slusarski, Interaction of Wnt and a Frizzled homologue triggers G-protein-linked phosphatidylinositol signalling. 1997, Pubmed , Xenbase
Slusarski, Modulation of embryonic intracellular Ca2+ signaling by Wnt-5A. 1997, Pubmed
Smith, Xwnt11 and the regulation of gastrulation in Xenopus. 2000, Pubmed , Xenbase
Tada, Xwnt11 is a target of Xenopus Brachyury: regulation of gastrulation movements via Dishevelled, but not through the canonical Wnt pathway. 2000, Pubmed , Xenbase
Torres, Activities of the Wnt-1 class of secreted signaling factors are antagonized by the Wnt-5A class and by a dominant negative cadherin in early Xenopus development. 1996, Pubmed , Xenbase
Veeman, Zebrafish prickle, a modulator of noncanonical Wnt/Fz signaling, regulates gastrulation movements. 2003, Pubmed
Wallingford, Dishevelled controls cell polarity during Xenopus gastrulation. 2000, Pubmed , Xenbase
Wallingford, Convergent extension: the molecular control of polarized cell movement during embryonic development. 2002, Pubmed , Xenbase
Wharton, Runnin' with the Dvl: proteins that associate with Dsh/Dvl and their significance to Wnt signal transduction. 2003, Pubmed
Winklbauer, Frizzled-7 signalling controls tissue separation during Xenopus gastrulation. 2001, Pubmed , Xenbase
Yamanaka, JNK functions in the non-canonical Wnt pathway to regulate convergent extension movements in vertebrates. 2002, Pubmed , Xenbase
Yang-Snyder, A frizzled homolog functions in a vertebrate Wnt signaling pathway. 1996, Pubmed , Xenbase
Zhang, Dimerization choices control the ability of axin and dishevelled to activate c-Jun N-terminal kinase/stress-activated protein kinase. 2000, Pubmed
