Click here to close
Hello! We notice that you are using Internet Explorer, which is not supported by Xenbase and may cause the site to display incorrectly.
We suggest using a current version of Chrome,
FireFox, or Safari.
Sci Rep
2016 Jun 09;6:27647. doi: 10.1038/srep27647.
Show Gene links
Show Anatomy links
Functional and pharmacological characterization of two different ASIC1a/2a heteromers reveals their sensitivity to the spider toxin PcTx1.
Joeres N, Augustinowski K, Neuhof A, Assmann M, Gründer S.
???displayArticle.abstract???
Acid Sensing Ion Channels (ASICs) detect extracellular proton signals and are involved in synaptic transmission and pain sensation. ASIC subunits assemble into homo- and heteromeric channels composed of three subunits. Single molecule imaging revealed that heteromers composed of ASIC1a and ASIC2a, which are widely expressed in the central nervous system, have a flexible 2:1/1:2 stoichiometry. It was hitherto not possible, however, to functionally differentiate these two heteromers. To have a homogenous population of ASIC1a/2a heteromers with either 2:1 or 1:2 stoichiometry, we covalently linked subunits in the desired configuration and characterized their functional properties in Xenopus oocytes. We show that the two heteromers have slightly different proton affinity, with an additional ASIC1a subunit increasing apparent affinity. Moreover, we found that zinc, which potentiates ASIC2a-containing ASICs but not homomeric ASIC1a, potentiates both heteromers. Finally, we show that PcTx1, which binds at subunit-subunit interfaces of homomeric ASIC1a, inhibits both heteromers suggesting that ASIC2a can also contribute to a PcTx1 binding site. Using this functional fingerprint, we show that rat cortical neurons predominantly express the ASIC1a/2a heteromer with a 2:1 stoichiometry. Collectively, our results reveal the contribution of individual subunits to the functional properties of ASIC1a/2a heteromers.
Figure 1. The two different ASIC1a/2a heteromers can be distinguished via their apparent affinity for protons.(a) Representative current traces of homo- and heteromeric ASICs, which were activated for 10 s with solutions of decreasing pH and allowed to recover for 50 s at pH 7.4. (b) Concentration-response curves of normalized currents. Maximal current amplitudes were 5.0 ± 0.8 μA (ASIC1a), 16.1 ± 2.7 μA (ASIC1a/2a), 13.3 ± 3.4 μA (ASIC1a-2a-1a), 11.3 ± 3.3 μA (ASIC1a-2a-2a), and 1.9 ± 0.3 μA (ASIC2a), respectively. The EC50 values of ASIC1a-2a-1a and ASIC1a-2a-2a were significantly different (p < 0.001). There was also a slight significant difference in the Hill-coefficients (p < 0.05). Data are reported as mean ± SEM (n = 12–17 individual oocytes).
Figure 2. The two different ASIC1a/2a heteromers can be distinguished via their steady-state desensitization curves.(a) Representative current traces of homo- and heteromeric ASICs, which were activated for 10 s with pH 4.0 (pH 6.0 for ASIC1a) and allowed to recover for 120 s in a bath solution with decreasing pH. (b) Concentration-response curves of normalized currents. Maximal current amplitudes were 9.0 ± 2.2 μA (ASIC1a), 22.9 ± 2.3 μA (ASIC1a/2a), 25.7 ± 2.1 μA (ASIC1a-2a-1a), 12.5 ± 1.7 μA (ASIC1a-2a-2a), and 2.8 ± 0.4 μA (ASIC2a), respectively. The curves of both concatamers differ in their IC50 values (p < 0.001) as well as in their Hill-coefficients (p < 0.001), which were similar to that of the dominant ASIC form in the constructs. Data are reported as mean ± SEM (n = 8–16 individual oocytes).
Figure 3. Tachyphylaxis is absent in ASIC1a/2a heteromers.ASICs were repeatedly activated for 10 s with pH 4.0 and allowed to recover for 50 s at pH 7.4. Only homomeric ASIC1a showed tachyphylaxis. Maximal current amplitudes were 30.6 ± 3.6 μA (ASIC1a), 26.2 ± 3.6 μA (ASIC1a/2a), 20.3 ± 5.0 μA (ASIC1a-2a-1a), and 15.1 ± 4.0 μA (ASIC1a-2a-2a), respectively. Data are reported as mean ± SEM (n = 4–9 individual oocytes; measurements for ASIC1a are from one week).
Figure 4. Both concatamers of ASIC1a/2a are potentiated by Zn2+.Concentration-response curves for normalized currents with and without Zn2+. The EC50 values of ASIC1a/2a (p = 0.045), ASIC1a-2a-1a () and ASIC1a-2a-2a (p < 0.01) were significantly left-shifted in the presence of 300 μm Zn2+. There was also a significant increase in the Hill-coefficient of ASIC1a-2a-1a (p < 0.001) and ASIC1a/2a (p < 0.01) but not of ASIC1a-2a-2a (p = 0.8). Maximal current amplitudes were 14.5 ± 3.1 μA (ASIC1a/2a), 20.3 ± 3.5 μA (ASIC1a/2a + Zn2+), 14.2 ± 3.1 μA (ASIC1a-2a-1a), 17.6 ± 3.4 μA (ASIC1a-2a-1a + Zn2+), 12.3 ± 1.8 μA (ASIC1a-2a-2a) and 11.9 ± 3.3 μA (ASIC1a-2a-2a + Zn2+), respectively. Data are reported as mean ± SEM (n = 10–13 individual oocytes).
Figure 5. Inhibition by PcTx1 can distinguish between the two ASIC1a/2a heteromers.(a) Representative current traces showing the inhibition of different ASICs by PcTx1. ASICs were activated with pH 4.0 (pH 6.0 for homomeric ASIC1a) for 10 s and allowed to recover for 120 s in pH 6.95 (pH 7.4 for ASIC1a). 50 nM PcTx1 was applied in the conditioning solution before the second activation. (b) Comparison of the inhibition by PcTx1 of the different ASICs. The difference between ASIC1a-2a-1a and ASIC1a-2a-2a (p < 0.001) as well as the difference between ASIC1a-2a-1a and ASIC1a/2a (p < 0.001) were significant. There was no significant difference between ASIC1a/2a and ASIC1a-2a-2a. Maximal current amplitudes were 9.6 ± 1.9 μA (ASIC1a), 15.2 ± 1.7 μA (ASIC1a/2a), 12.9 ± 2.8 μA (ASIC1a-2a-1a), and 9.1 ± 1.4 μA (ASIC1a-2a-2a), respectively. Data are reported as mean ± SEM (n = 8–10).
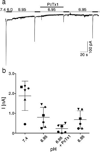
Figure 6. PcTx1 inhibits ASIC1a/2a heteromers in rat cortical neurons.(a) Representative current trace showing the inhibition of ASICs by PcTx1 at conditioning pH 6.95. ASICs were activated with pH 6.0 for 15 s and allowed to recover for 60 s in pH 6.95. 50 nM PcTx1 was applied in the conditioning solution before the third activation. (b) Quantitative analysis of six measurements like the one shown in (a). Symbols represent six individual neurons, bars represent mean and SD, respectively. Conditioning pH 6.95 desensitized homomeric ASIC1a and heteromeric ASIC1a/2b. Co-application of PcTx1 revealed the PcTx1-sensitivity of the remaining ASIC1a/2a heteromers in these neurons.
Figure 7. Possible interactions of PcTx1 with subunit interfaces of the ASIC1a-2a-2a heteromer.The homology model of the heteromer with ASIC1a (blue) and ASIC2a (red) is shown in cartoon and PcTx1 (green) in solvent-accessible surface representation. Boxes illustrate the amino acids (stick and spheres representation) in the ASIC1a/2a subunit interfaces that interact with PcTx1, namely Gly214, Gly216, Glu236, Thr238, Glu241, and Glu352 in rASIC2a and Gly215, Gly217, Asp237, Thr239, Glu242, Asp349, and Glu353 in rASIC1a. Five interacting amino acids are completely conserved between cASIC1, rASIC1a and rASIC2a. Numbers of amino acids refer to rASIC1a and rASIC2a, respectively.
Askwith,
Acid-sensing ion channel 2 (ASIC2) modulates ASIC1 H+-activated currents in hippocampal neurons.
2004, Pubmed
Askwith,
Acid-sensing ion channel 2 (ASIC2) modulates ASIC1 H+-activated currents in hippocampal neurons.
2004,
Pubmed Assmann,
The comprehensive analysis of DEG/ENaC subunits in Hydra reveals a large variety of peptide-gated channels, potentially involved in neuromuscular transmission.
2014,
Pubmed
,
Xenbase Babini,
Alternative splicing and interaction with di- and polyvalent cations control the dynamic range of acid-sensing ion channel 1 (ASIC1).
2002,
Pubmed
,
Xenbase Baconguis,
Structural plasticity and dynamic selectivity of acid-sensing ion channel-spider toxin complexes.
2012,
Pubmed Baron,
ASIC-like, proton-activated currents in rat hippocampal neurons.
2002,
Pubmed Baron,
Zn2+ and H+ are coactivators of acid-sensing ion channels.
2001,
Pubmed
,
Xenbase Bartoi,
Acid-sensing ion channel (ASIC) 1a/2a heteromers have a flexible 2:1/1:2 stoichiometry.
2014,
Pubmed
,
Xenbase Bassilana,
The acid-sensitive ionic channel subunit ASIC and the mammalian degenerin MDEG form a heteromultimeric H+-gated Na+ channel with novel properties.
1997,
Pubmed
,
Xenbase Benson,
Heteromultimers of DEG/ENaC subunits form H+-gated channels in mouse sensory neurons.
2002,
Pubmed Bohlen,
A heteromeric Texas coral snake toxin targets acid-sensing ion channels to produce pain.
2011,
Pubmed
,
Xenbase Chen,
The tarantula toxin psalmotoxin 1 inhibits acid-sensing ion channel (ASIC) 1a by increasing its apparent H+ affinity.
2005,
Pubmed
,
Xenbase Chen,
Permeating protons contribute to tachyphylaxis of the acid-sensing ion channel (ASIC) 1a.
2007,
Pubmed
,
Xenbase Chen,
Interaction of acid-sensing ion channel (ASIC) 1 with the tarantula toxin psalmotoxin 1 is state dependent.
2006,
Pubmed
,
Xenbase Coryell,
Restoring Acid-sensing ion channel-1a in the amygdala of knock-out mice rescues fear memory but not unconditioned fear responses.
2008,
Pubmed Dawson,
Structure of the acid-sensing ion channel 1 in complex with the gating modifier Psalmotoxin 1.
2012,
Pubmed Deval,
Acid-Sensing Ion Channels and nociception in the peripheral and central nervous systems.
2015,
Pubmed Deval,
Acid-sensing ion channels in postoperative pain.
2011,
Pubmed Deval,
ASIC3, a sensor of acidic and primary inflammatory pain.
2008,
Pubmed Diochot,
Black mamba venom peptides target acid-sensing ion channels to abolish pain.
2012,
Pubmed
,
Xenbase Du,
Protons are a neurotransmitter that regulates synaptic plasticity in the lateral amygdala.
2014,
Pubmed Escoubas,
Isolation of a tarantula toxin specific for a class of proton-gated Na+ channels.
2000,
Pubmed
,
Xenbase Friese,
Acid-sensing ion channel-1 contributes to axonal degeneration in autoimmune inflammation of the central nervous system.
2007,
Pubmed Gonzales,
Pore architecture and ion sites in acid-sensing ion channels and P2X receptors.
2009,
Pubmed Gründer,
Toxin binding reveals two open state structures for one acid-sensing ion channel.
2012,
Pubmed Gründer,
Structure, function, and pharmacology of acid-sensing ion channels (ASICs): focus on ASIC1a.
2010,
Pubmed Gründer,
Biophysical properties of acid-sensing ion channels (ASICs).
2015,
Pubmed Hesselager,
pH Dependency and desensitization kinetics of heterologously expressed combinations of acid-sensing ion channel subunits.
2004,
Pubmed Jasti,
Structure of acid-sensing ion channel 1 at 1.9 A resolution and low pH.
2007,
Pubmed Kellenberger,
Epithelial sodium channel/degenerin family of ion channels: a variety of functions for a shared structure.
2002,
Pubmed Kreple,
Acid-sensing ion channels contribute to synaptic transmission and inhibit cocaine-evoked plasticity.
2014,
Pubmed Li,
Impact of recovery from desensitization on acid-sensing ion channel-1a (ASIC1a) current and response to high frequency stimulation.
2012,
Pubmed
,
Xenbase Lingueglia,
A modulatory subunit of acid sensing ion channels in brain and dorsal root ganglion cells.
1997,
Pubmed Mazzuca,
A tarantula peptide against pain via ASIC1a channels and opioid mechanisms.
2007,
Pubmed Sali,
Comparative protein modelling by satisfaction of spatial restraints.
1993,
Pubmed Sherwood,
Structure and activity of the acid-sensing ion channels.
2012,
Pubmed Sherwood,
Heteromeric acid-sensing ion channels (ASICs) composed of ASIC2b and ASIC1a display novel channel properties and contribute to acidosis-induced neuronal death.
2011,
Pubmed
,
Xenbase Sutherland,
Acid-sensing ion channel 3 matches the acid-gated current in cardiac ischemia-sensing neurons.
2001,
Pubmed Vukicevic,
Modulatory effects of acid-sensing ion channels on action potential generation in hippocampal neurons.
2004,
Pubmed Waldmann,
A proton-gated cation channel involved in acid-sensing.
1997,
Pubmed
,
Xenbase Weiss,
The Hill equation revisited: uses and misuses.
1997,
Pubmed Wu,
Characterization of acid-sensing ion channels in dorsal horn neurons of rat spinal cord.
2004,
Pubmed Wu,
ASIC subunit ratio and differential surface trafficking in the brain.
2016,
Pubmed Xiong,
Neuroprotection in ischemia: blocking calcium-permeable acid-sensing ion channels.
2004,
Pubmed