Click here to close
Hello! We notice that you are using Internet Explorer, which is not supported by Xenbase and may cause the site to display incorrectly.
We suggest using a current version of Chrome,
FireFox, or Safari.
Sci Rep
2016 Jun 02;6:27310. doi: 10.1038/srep27310.
Show Gene links
Show Anatomy links
Transcriptome profiles of metamorphosis in the ornamented pygmy frog Microhyla fissipes clarify the functions of thyroid hormone receptors in metamorphosis.
Zhao L, Liu L, Wang S, Wang H, Jiang J.
???displayArticle.abstract???
Anuran metamorphosis is an excellent system in which to study postembryonic development. Studies on Xenopus (Mesobatrachia) show that thyroid hormone receptors (TRs) regulate metamorphosis in a ligand-dependent manner by coordinating the action of hundreds of genes. However, whether this mechanism is conserved among amphibians is still unknown. To understand the molecular mechanism of this universal phenomenon, we report the transcriptional profiles of the three key developmental stages in Microhyla fissipes (Neobatrachia): premetamorphosis (PM), metamorphic climax (MC) and completion of metamorphosis (CM). In total, 2,293 differentially expressed genes were identified from comparisons of transcriptomes, and these genes showed stage-specific expression patterns. Unexpectedly, we found that TRα was highly expressed in Xenopus laevis and Bufo gargarizans at premetamorphosis but showed low expression in M. fissipes. In contrast, TRβ was highly expressed during metamorphosis in M. fissipes and X. laevis. This result may imply that TRβ is essential for initiating metamorphosis, at least in M. fissipes. Thus, our work not only identifies genes that are likely to be involved in Neobatrachia metamorphosis but also clarifies the roles of unliganded TRα in regulating tadpole growth and timing of metamorphosis, which may be conserved in anurans, and the role of liganded TRβ in launching metamorphosis.
Figure 1. Samples of the three developmental stages used for gene expression profile analysis.Microhyla fissipes in the premetamorphosis (PM), metamorphic climax (MC) and completion of metamorphosis (CM) stages are presented at the left, middle and right, respectively. The scale of the animal’s body size is 1:5, and the scale bar is 1 mm.
Figure 2. Analysis of differentially expressed unigenes during Microhyla fissipes metamorphosis.Venn diagrams show the number of genes significantly (a) up-regulated and (b) down-regulated; green, blue and yellow circles represent the changes from PM to MC, MC to CM, and PM to CM, respectively. (c) Similarity of the expression profiles between genes with hierarchical clustering is shown above the heatmap. Intensity of color indicates expression levels, and the three major clusters represent the PM, MC and CM stages.
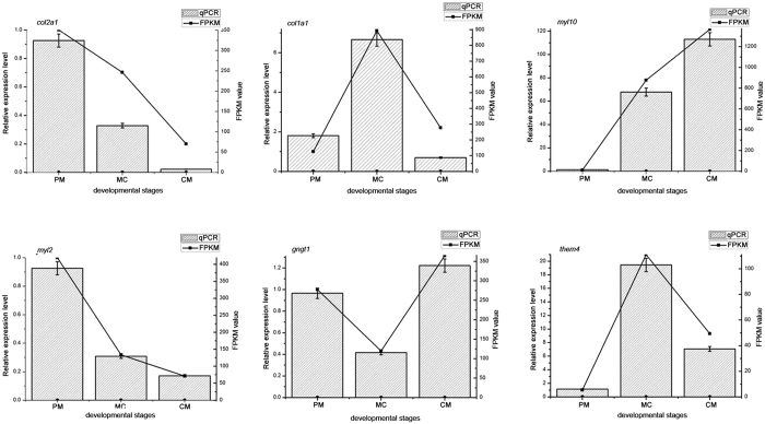
Figure 3. Expression profiles of six genes.The X axis represents the developmental stages. Lines represent the FPKM value of the transcriptome result (Y axis at right). Columns and bars represent the means and standard errors of three individual samples (Y axis at left). Each experiment was performed in triplicate.
Figure 4. GO enriched processes in three key developmental stages.The significantly overrepresented (FDR < 0.05) enrichment factors of GO biological processes of the three clusters using hierarchical clustering are shown (Table S7). Only groups containing more than five genes and having a fold enrichment factor >3 are presented.
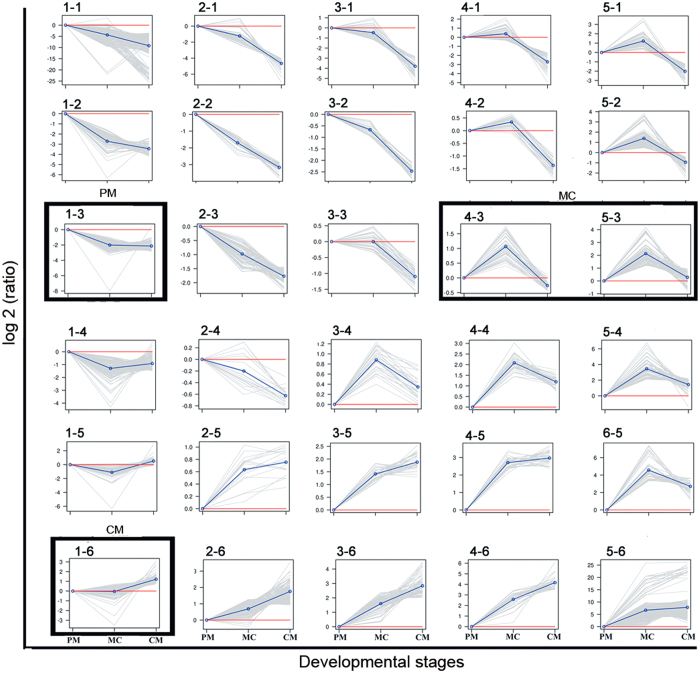
Figure 5. Clustering profiles.Plots of SOM profiles of the reduced set with their centroids highlighted in blue. Four clusters that were further analyzed for stage-specific expression patterns are marked in black boxes. The vertical axis represents the relative gene abundance, and the horizontal axis shows the three developmental stages.
Figure 6. Expressional profiles of thyroid hormone (TH) - related genes involved in regulating metamorphosis.(a) Correlation of the expression levels of TRα, RXRα, TRβ, RXRβ and TG mRNAs with the three key developmental stages of M. fissipes. The vertical axis represents expression levels (FPKM value), and the horizontal axis represents developmental stages. (b) Expression profiles of TR genes in three key developmental stages of M. fissipes. The X axis represents the developmental stages. Lines and bars represent the means and standard errors of three individual samples (Y axis). Each experiment was performed in triplicate. (c) Comparison of the expression levels of TR genes in B. gargarizans at the PM stage. The X axis represents two TR genes. Columns and bars represent the means and standard error of three individual samples. Each experiment was performed in triplicate.
Altschul,
Basic local alignment search tool.
1990, Pubmed
Altschul,
Basic local alignment search tool.
1990,
Pubmed Atkinson,
Thyroid hormone induces a reprogramming of gene expression in the liver of premetamorphic Rana catesbeiana tadpoles.
1998,
Pubmed
,
Xenbase Berdichevsky,
Branching morphogenesis of human mammary epithelial cells in collagen gels.
1994,
Pubmed Buchholz,
A dominant-negative thyroid hormone receptor blocks amphibian metamorphosis by retaining corepressors at target genes.
2003,
Pubmed
,
Xenbase Choi,
Unliganded thyroid hormone receptor α regulates developmental timing via gene repression in Xenopus tropicalis.
2015,
Pubmed
,
Xenbase Cock,
The Sanger FASTQ file format for sequences with quality scores, and the Solexa/Illumina FASTQ variants.
2010,
Pubmed Conesa,
Blast2GO: a universal tool for annotation, visualization and analysis in functional genomics research.
2005,
Pubmed Damjanovski,
Role of ECM remodeling in thyroid hormone-dependent apoptosis during anuran metamorphosis.
2000,
Pubmed
,
Xenbase Das,
Gene expression changes at metamorphosis induced by thyroid hormone in Xenopus laevis tadpoles.
2006,
Pubmed
,
Xenbase Denver,
Neuroendocrinology of amphibian metamorphosis.
2013,
Pubmed Deryugina,
Up-regulation of vascular endothelial growth factor by membrane-type 1 matrix metalloproteinase stimulates human glioma xenograft growth and angiogenesis.
2002,
Pubmed Eferl,
AP-1: a double-edged sword in tumorigenesis.
2003,
Pubmed Gene Ontology Consortium,
The Gene Ontology project in 2008.
2008,
Pubmed Ghaleb,
Krüppel-like factors 4 and 5: the yin and yang regulators of cellular proliferation.
2005,
Pubmed Grabherr,
Full-length transcriptome assembly from RNA-Seq data without a reference genome.
2011,
Pubmed Grimaldi,
Mechanisms of thyroid hormone receptor action during development: lessons from amphibian studies.
2013,
Pubmed
,
Xenbase Hite,
Sequence of a cDNA clone encoding the zinc metalloproteinase hemorrhagic toxin e from Crotalus atrox: evidence for signal, zymogen, and disintegrin-like structures.
1992,
Pubmed Hollar,
Higher thyroid hormone receptor expression correlates with short larval periods in spadefoot toads and increases metamorphic rate.
2011,
Pubmed
,
Xenbase Holstein,
Life-history evolution: at the origins of metamorphosis.
2014,
Pubmed Iseli,
ESTScan: a program for detecting, evaluating, and reconstructing potential coding regions in EST sequences.
1999,
Pubmed Katoh,
Hedgehog target genes: mechanisms of carcinogenesis induced by aberrant hedgehog signaling activation.
2009,
Pubmed Kuno,
Molecular cloning of a gene encoding a new type of metalloproteinase-disintegrin family protein with thrombospondin motifs as an inflammation associated gene.
1997,
Pubmed Laudet,
The origins and evolution of vertebrate metamorphosis.
2011,
Pubmed
,
Xenbase Li,
RSEM: accurate transcript quantification from RNA-Seq data with or without a reference genome.
2011,
Pubmed Livak,
Analysis of relative gene expression data using real-time quantitative PCR and the 2(-Delta Delta C(T)) Method.
2001,
Pubmed Lou,
Molecular characterization and developmental expression patterns of thyroid hormone receptors (TRs) and their responsiveness to TR agonist and antagonist in Rana nigromaculata.
2014,
Pubmed
,
Xenbase Nakajima,
Regulation of thyroid hormone sensitivity by differential expression of the thyroid hormone receptor during Xenopus metamorphosis.
2012,
Pubmed
,
Xenbase Nishioka,
MYO18B, a candidate tumor suppressor gene at chromosome 22q12.1, deleted, mutated, and methylated in human lung cancer.
2002,
Pubmed Olsvik,
Selection of reference genes for qRT-PCR examination of wild populations of Atlantic cod Gadus morhua.
2008,
Pubmed Sachs,
Dual functions of thyroid hormone receptors during Xenopus development.
2000,
Pubmed
,
Xenbase Sachs,
Targeted chromatin binding and histone acetylation in vivo by thyroid hormone receptor during amphibian development.
2000,
Pubmed
,
Xenbase Sato,
A role of unliganded thyroid hormone receptor in postembryonic development in Xenopus laevis.
2007,
Pubmed
,
Xenbase Shi,
Regulation of extracellular matrix remodeling and cell fate determination by matrix metalloproteinase stromelysin-3 during thyroid hormone-dependent post-embryonic development.
2007,
Pubmed
,
Xenbase Shimizu-Nishikawa,
Regulation of specific developmental fates of larval- and adult-type muscles during metamorphosis of the frog Xenopus.
2002,
Pubmed
,
Xenbase Storey,
Statistical significance for genomewide studies.
2003,
Pubmed Suzuki,
Molecular features of thyroid hormone-regulated skin remodeling in Xenopus laevis during metamorphosis.
2009,
Pubmed
,
Xenbase Tamayo,
Interpreting patterns of gene expression with self-organizing maps: methods and application to hematopoietic differentiation.
1999,
Pubmed Tata,
Amphibian metamorphosis as a model for studying the developmental actions of thyroid hormone.
1999,
Pubmed Tata,
Amphibian metamorphosis as a model for the developmental actions of thyroid hormone.
2006,
Pubmed
,
Xenbase Tata,
Amphibian metamorphosis as a model for studying the developmental actions of thyroid hormone.
1998,
Pubmed Trapnell,
Transcript assembly and quantification by RNA-Seq reveals unannotated transcripts and isoform switching during cell differentiation.
2010,
Pubmed Truman,
The origins of insect metamorphosis.
1999,
Pubmed Wang,
DEGseq: an R package for identifying differentially expressed genes from RNA-seq data.
2010,
Pubmed Wen,
Unliganded thyroid hormone receptor α controls developmental timing in Xenopus tropicalis.
2015,
Pubmed
,
Xenbase Yaoita,
A correlation of thyroid hormone receptor gene expression with amphibian metamorphosis.
1990,
Pubmed
,
Xenbase Zajac-Kaye,
Myc oncogene: a key component in cell cycle regulation and its implication for lung cancer.
2001,
Pubmed Zhao,
Identification of Krüppel-like factor 4 as a potential tumor suppressor gene in colorectal cancer.
2004,
Pubmed Zucker,
Tissue inhibitor of metalloproteinase-2 (TIMP-2) binds to the catalytic domain of the cell surface receptor, membrane type 1-matrix metalloproteinase 1 (MT1-MMP).
1998,
Pubmed