XB-ART-53077
Mol Cell
2017 Mar 02;655:873-884.e8. doi: 10.1016/j.molcel.2017.01.030.
Show Gene links
Show Anatomy links
Gene Resistance to Transcriptional Reprogramming following Nuclear Transfer Is Directly Mediated by Multiple Chromatin-Repressive Pathways.
Jullien J, Vodnala M, Pasque V, Oikawa M, Miyamoto K, Allen G, David SA, Brochard V, Wang S, Bradshaw C, Koseki H, Sartorelli V, Beaujean N, Gurdon J.
???displayArticle.abstract???
Understanding the mechanism of resistance of genes to reactivation will help improve the success of nuclear reprogramming. Using mouse embryonic fibroblast nuclei with normal or reduced DNA methylation in combination with chromatin modifiers able to erase H3K9me3, H3K27me3, and H2AK119ub1 from transplanted nuclei, we reveal the basis for resistance of genes to transcriptional reprogramming by oocyte factors. A majority of genes is affected by more than one type of treatment, suggesting that resistance can require repression through multiple epigenetic mechanisms. We classify resistant genes according to their sensitivity to 11 chromatin modifier combinations, revealing the existence of synergistic as well as adverse effects of chromatin modifiers on removal of resistance. We further demonstrate that the chromatin modifier USP21 reduces resistance through its H2AK119 deubiquitylation activity. Finally, we provide evidence that H2A ubiquitylation also contributes to resistance to transcriptional reprogramming in mouse nuclear transfer embryos.
???displayArticle.pubmedLink??? 28257702
???displayArticle.pmcLink??? PMC5344684
???displayArticle.link??? Mol Cell
???displayArticle.grants??? [+]
BBS/B/14647 Biotechnology and Biological Sciences Research Council , G1001690 Medical Research Council , MR/K011022/1 Medical Research Council , MR/P000479/1 Medical Research Council , 081277 Wellcome Trust
Species referenced: Xenopus laevis
Genes referenced: dnmt1 h2ac21 kdm6b otx2 prc1 sox2 trap1 usp21
???displayArticle.antibodies??? H3f3a Ab15 HA Ab10 HA Ab11 HIST1H2AA Ab1 HIST1H3A Ab1 Hist1H3A Ab2
???displayArticle.gses??? GSE87872: NCBI
???attribute.lit??? ???displayArticles.show???
|
|
Graphical Abstract. Keywords: transcriptional reprogramming; oocyte; xenopus; nuclear transfer; resistance; epigenetic; chromatin. |
|
|
Figure1. Identification of Genes Resisting Transcriptional Reprogramming by Oocytes(A) Schematic representation shows the nuclear transplantation strategy used to identify genes resistant to reactivation by Xenopus oocytes.(B) MA plot shows log fold change (logFC, y axis) in gene expression between MEF-NT versus ES-NT against the expression in cultured MEFs (x axis, log2 reads per kilobase per million mapped reads [RPKM]; data from Reddington etal., 2013). Red and blue dots, genes differentially expressed (FDR< 0.05, two experiments, n= 32 NT samples per condition).(C) Heatmap representing expression of the differentially expressed genes (rows, Z score of normalized expression level) between MEF-NT and ES-NT in ES and MEF before and 48hr after NT (columns, genes sorted according to fold change between MEF-NT to ES-NT). Expression data for cells before NT are from Reddington etal. (2013) and Bulut-Karslioglu etal. (2014).(D) Boxplot shows the gene expression level before and after NT of genes resistant in MEF-NT (538 genes,top) or resistant in ES-NT (424 genes, bottom). [star] pvalue< 106, Wicoxon rank-sum test.(E and F) The top (E) gene ontology terms and (F)KEGG pathways enriched in the list of differentially expressed (DE) genes restricted in MEF-NT and ES-NT. See also FigureS1 and Tables S1 and S2. |
|
|
Figure 2. Epigenetic Configuration of MEF Genes Resistant to OOC-Mediated Transcriptional Reprogramming(AâE) Shown is the (A) DNase I sensitivity (Yue et al., 2014), (B) H3K4me3 (Kaneda et al., 2011), (C) H3K27me3 (Kaneda et al., 2011), (D) H2Aub (this study), and (E) H3K9me3 (Bulut-Karslioglu et al., 2014) metaplot analysis ±5 kB around the TSSs, in MEF, of genes with reprogrammed (green), maintained (blue), and resistant (red) expression following nuclear transfer.(F) DNA methylation in the promoter region (3 kb upstream TSS) of reprogrammed, maintained, or resistant genes is shown as the percentage of CpG showing >95% methylation (data from Reddington et al., 2013).(GâK) Shown is the (G) DNase I sensitivity (Yue et al., 2014), (H) H3K4me3 (Kaneda et al., 2011), (I) H3K27me3 (Kaneda et al., 2011), (J) H2Aub (this study), and (K) H3K9me3 (Bulut-Karslioglu et al., 2014) metaplot analysis ±5 kB around the TSSs of genes showing resistance in OOC-NT (red, from this study), mouse egg-NT (orange, from Matoba et al., 2014), transcription factor-induced reprogramming (purple, from Soufi et al., 2012), and cell fusion (gray, from Looney et al., 2014).(L) DNA methylation in the promoter region (3 kb upstream TSS) of genes resistant in OOC-NT, mouse egg-NT, transcription factor-induced reprogramming, and cell fusion is shown as the percentage of CpG showing >95% methylation (data from Reddington et al., 2013). See also Figure S2. |
|
|
Figure 3. Chromatin Modifier Overexpression Alleviates Resistance to Transcriptional Reprogramming (A) Schematic representation shows the nuclear transplantation strategy used to test the sensitivity of resistant genes to chromatin modifiers. (B) Western blot analysis of modified histones on chromatin recovered 48 hr after nuclear transplantation to oocyte expressing single or multiple chromatin modifiers is shown.(C) Summary shows the 12 chromatin configurations tested in the OOC transcriptional reprogramming assay. (D) Boxplot shows the log fold change between resistant gene expression in MEF-NT in various chromatin configurations to that of ES-NT. (E) Number of resistant genes as judged by differential gene expression analysis between RNA-seq data from ES-NT and MEF-NT in various chromatin configurations (FDR < 0.05, two experiments, n = 32 NT samples per conditions). See also Figure S3 and Table S3. |
|
|
Figure 4. Multiple Chromatin Modifier Combinations Affect Resistance at a Single-Gene Level(A) Venn diagram shows the number of genes losing resistance upon four individual chromatin modifier treatments.(B) Example of digital signature of resistance obtained by differential gene expression analysis for a non-resistant (G3pdh) and three resistant (Trap1A, Otx2, and Sox2) genes. The digital signature indicates whether a gene is resistant (shown as 1 when the gene is differentially expressed in MEF-NT compared to ES-NT) or loses resistance (shown as 0, when the gene is not differentially expressed in MEF-NT compared to ES-NT) in each of the 12 conditions tested. The bar graphs show qRT-PCR analysis of gene expression (mean ± SEM of four samples of eight oocytes NT).(C) The numbers of genes for which a synergistic, neutral, adverse, or insensitive effect is observed when combining two chromatin modifier treatments are shown.(D) Venn diagram shows the number of genes sensitive to a histone modifier (Kdm4d, Kdm6b, or USP21) in nuclei with normal (WT) or hypomethylated DNA (Dnmt1N).(E) Loss of resistant gene sensitivity to Kdm6b in DNA-hypomethylated MEF correlates with loss of H3K27me3. The y axis indicates the number of genes that lose H3K27me3 in MEF with hypomethylated DNA compared to WT MEF. Resistant genes are split according to change in sensitivity to Kdm6b after NT when comparing WT MEF to MEF with hypomethylated DNA (red dot). The boxplot shows the background distribution of H3K27me3 change when sampling 10,000 times for a random set of genes of the same size as the resistant gene subset tested. The number in parentheses indicates a p value generated by calculating the proportion of the random background that has a more extreme value than the observed percentages from each of the three groups.(F) Heatmap illustrating the change in gene expression in normal (WT MEF nuclei) or hypomethylated DNA (Dnmt1N MEF nuclei) upon expression of histone modifiers. Ten clusters representing the main trend of gene expression change were selected based on k-means clustering of expression data from RNA-seq analysis (RPKM). The trend of change in gene expression in these ten clusters is shown in the heatmap as a Z score. See also Table S4. |
|
|
|
|
|
Figure 6. USP21 Improves Transcriptional Reprogramming of Two-Cell-Stage Cloned Mouse Embryos(A) MA plot showing log fold change in gene expression between fertilized embryos and ES clone embryos (logFC, y axis) against the log of gene expression in cultured ES (logCPM, x axis). Differentially expressed genes are shown in red and blue for genes downregulated and upregulated in clones compared to fertilized embryos, respectively (FDR < 0.05, three experiments).(B) Same as (A) except that USP21 was overexpressed in the cloned embryos.(C and D) Venn diagram indicating the overlap between the downregulated genes (C) and upregulated genes (D) in control and USP21 clones. See also Figure S5 and Tables S6 and S7. |
|
|
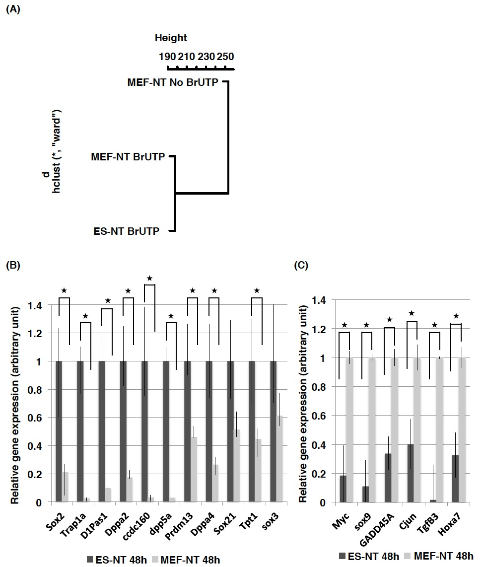
Supplemental Figure S1 related to Figure 1. Identification of resistant genes by RNA-seq analysis of BrUTP labelled RNA 48h after nuclear transfer. (A) hierarchical clustering of RNA-seq data obtained from samples obtained with (MEF-NT and ES-NT BrUTP)or without BrUTP labelling (MEF-NT No BrUTP) . (B)(C) RT-qPCR analysis of genes identified as resistant in MEF (B) or ES (C). Mean +/- sem from n=3 experiments. (★, P value< 0.05, student t-test). |
|
|
Supplemental Figure S2 related to Figure 2. CpG methylation in the gene body of resistant genes (A) DNA methylation in the gene body of reprogrammed , maintained or resistant genes shown as percentage of CpG showing >95% methylation (data from (Reddington et al., 2013),). (B) DNA methylation in gene body of genes resistant in OOC-NT, mouse egg-NT, transcription factor induced reprogramming, and cell fusion shown as percentage of CpG showing >95% methylation (data from (Reddington et al., 2013),). |
|
|
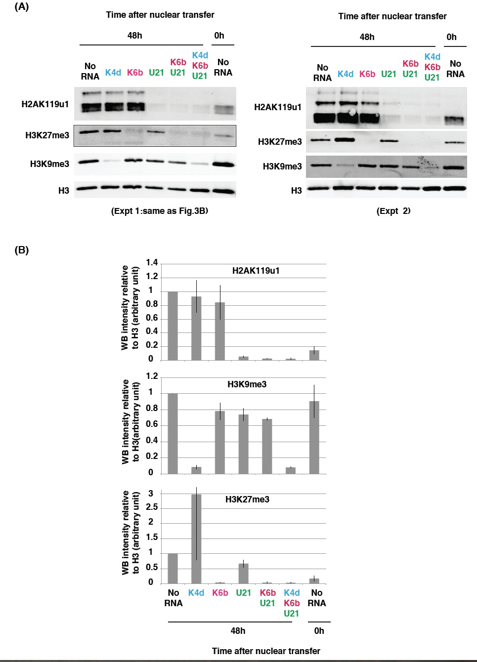
Supplemental Figure S3 related to Figure 3. Quantitation of histone modification removal from transplanted nuclei upon chromatin modifier expression. (A) Western blot analysis of histone modifications on the chromatin of transplanted nuclei collected prior nuclear transfer (0h), or 48h after nuclear transfer to oocytes expressing various combinations of chromatin modifiers. The left and right panels show analysis corresponding to the two experiments used for the RNA-seq analysis. (B) Quantitation of modified histones signal in transplanted nuclei. Intensity of modified histones was averaged from the two experiments shown in B and normalised to average total histone H3 signal intensity obtained by fluorescence measurement (LI-COR detection system). Mean +/- sem from n=2 experiments . |
|
|
Supplemental Figure S4 related to Figure 5. USP21-dCas9 mediated H2A deubiquitylation of Otx2. (A) Titration of USP21-das9 mRNA injection. Oocytes were injected with 0 to 23 ng of USP21-dcas9 mRNA 24h prior to nucler transplantation. 48h after nuclear transfer the transplanted chromatin is recovered and analysed by western blot for H2AK119u1 level. Injection of 0.09 ng of USP21-dcas9 does not globally affect H2AK119u1 level in transplanted chromatin and this amount of mRNA was therefore used for subsequent targeting experiments. (B) Location of guide RNAs targeting the Otx2 promoter (green arrows) as well as the primers used in ChIP-qPCR experiment (red arrows). (C) H2AK119u1 ChIP for Otx2 promoter, Otx2 gene body, and repeat elements of the genome (major satellite and IAP) following nuclear transfer to control oocytes, USP21 (9ng) injected oocytes, or USP21dcas9 injected (0.09ng) oocytes together with or without co-injection of Otx2 guide RNAs mix. ('star', P value< 0.05, Mann-Whitney test). Mean +/- sem from n=2 experiments |
|
|
Supplemental Figure S5 related to Figure 6:USP21 mRNA injection decreases H2AK119u1 level in mouse 2-cell embryos. (A) H2AK119u1 in the nuclei of control or USP21 injected embryos. Embryos are injected at fertilization with mRNA encoding USP21 and subsequently fixed for immunolabelling at the 2-cell stage. (B) Quantitation of H2AK119u1 signal intensity in control and USP21 injected 2-cell stage embryos. Number of embryos quantitated shown in bracket. ('star', P value< 0.001, Mann-Whitney test). |
|
|
|
|
|
Figure 1. Identification of Genes Resisting Transcriptional Reprogramming by Oocytes(A) Schematic representation shows the nuclear transplantation strategy used to identify genes resistant to reactivation by Xenopus oocytes.(B) MA plot shows log fold change (logFC, y axis) in gene expression between MEF-NT versus ES-NT against the expression in cultured MEFs (x axis, log2 reads per kilobase per million mapped reads [RPKM]; data from Reddington et al., 2013). Red and blue dots, genes differentially expressed (FDR < 0.05, two experiments, n = 32 NT samples per condition).(C) Heatmap representing expression of the differentially expressed genes (rows, Z score of normalized expression level) between MEF-NT and ES-NT in ES and MEF before and 48 hr after NT (columns, genes sorted according to fold change between MEF-NT to ES-NT). Expression data for cells before NT are from Reddington et al. (2013) and Bulut-Karslioglu et al. (2014).(D) Boxplot shows the gene expression level before and after NT of genes resistant in MEF-NT (538 genes, top) or resistant in ES-NT (424 genes, bottom). ★p value < 10−6, Wicoxon rank-sum test.(E and F) The top (E) gene ontology terms and (F) KEGG pathways enriched in the list of differentially expressed (DE) genes restricted in MEF-NT and ES-NT. See also Figure S1 and Tables S1 and S2. |
|
|
Figure 2. Epigenetic Configuration of MEF Genes Resistant to OOC-Mediated Transcriptional Reprogramming(A–E) Shown is the (A) DNase I sensitivity (Yue et al., 2014), (B) H3K4me3 (Kaneda et al., 2011), (C) H3K27me3 (Kaneda et al., 2011), (D) H2Aub (this study), and (E) H3K9me3 (Bulut-Karslioglu et al., 2014) metaplot analysis ±5 kB around the TSSs, in MEF, of genes with reprogrammed (green), maintained (blue), and resistant (red) expression following nuclear transfer.(F) DNA methylation in the promoter region (3 kb upstream TSS) of reprogrammed, maintained, or resistant genes is shown as the percentage of CpG showing >95% methylation (data from Reddington et al., 2013).(G–K) Shown is the (G) DNase I sensitivity (Yue et al., 2014), (H) H3K4me3 (Kaneda et al., 2011), (I) H3K27me3 (Kaneda et al., 2011), (J) H2Aub (this study), and (K) H3K9me3 (Bulut-Karslioglu et al., 2014) metaplot analysis ±5 kB around the TSSs of genes showing resistance in OOC-NT (red, from this study), mouse egg-NT (orange, from Matoba et al., 2014), transcription factor-induced reprogramming (purple, from Soufi et al., 2012), and cell fusion (gray, from Looney et al., 2014).(L) DNA methylation in the promoter region (3 kb upstream TSS) of genes resistant in OOC-NT, mouse egg-NT, transcription factor-induced reprogramming, and cell fusion is shown as the percentage of CpG showing >95% methylation (data from Reddington et al., 2013). See also Figure S2. |
|
|
Figure 3. Chromatin Modifier Overexpression Alleviates Resistance to Transcriptional Reprogramming(A) Schematic representation shows the nuclear transplantation strategy used to test the sensitivity of resistant genes to chromatin modifiers.(B) Western blot analysis of modified histones on chromatin recovered 48 hr after nuclear transplantation to oocyte expressing single or multiple chromatin modifiers is shown.(C) Summary shows the 12 chromatin configurations tested in the OOC transcriptional reprogramming assay.(D) Boxplot shows the log fold change between resistant gene expression in MEF-NT in various chromatin configurations to that of ES-NT.(E) Number of resistant genes as judged by differential gene expression analysis between RNA-seq data from ES-NT and MEF-NT in various chromatin configurations (FDR < 0.05, two experiments, n = 32 NT samples per conditions). See also Figure S3 and Table S3. |
|
|
Figure 4. Multiple Chromatin Modifier Combinations Affect Resistance at a Single-Gene Level(A) Venn diagram shows the number of genes losing resistance upon four individual chromatin modifier treatments.(B) Example of digital signature of resistance obtained by differential gene expression analysis for a non-resistant (G3pdh) and three resistant (Trap1A, Otx2, and Sox2) genes. The digital signature indicates whether a gene is resistant (shown as 1 when the gene is differentially expressed in MEF-NT compared to ES-NT) or loses resistance (shown as 0, when the gene is not differentially expressed in MEF-NT compared to ES-NT) in each of the 12 conditions tested. The bar graphs show qRT-PCR analysis of gene expression (mean ± SEM of four samples of eight oocytes NT).(C) The numbers of genes for which a synergistic, neutral, adverse, or insensitive effect is observed when combining two chromatin modifier treatments are shown.(D) Venn diagram shows the number of genes sensitive to a histone modifier (Kdm4d, Kdm6b, or USP21) in nuclei with normal (WT) or hypomethylated DNA (Dnmt1N).(E) Loss of resistant gene sensitivity to Kdm6b in DNA-hypomethylated MEF correlates with loss of H3K27me3. The y axis indicates the number of genes that lose H3K27me3 in MEF with hypomethylated DNA compared to WT MEF. Resistant genes are split according to change in sensitivity to Kdm6b after NT when comparing WT MEF to MEF with hypomethylated DNA (red dot). The boxplot shows the background distribution of H3K27me3 change when sampling 10,000 times for a random set of genes of the same size as the resistant gene subset tested. The number in parentheses indicates a p value generated by calculating the proportion of the random background that has a more extreme value than the observed percentages from each of the three groups.(F) Heatmap illustrating the change in gene expression in normal (WT MEF nuclei) or hypomethylated DNA (Dnmt1N MEF nuclei) upon expression of histone modifiers. Ten clusters representing the main trend of gene expression change were selected based on k-means clustering of expression data from RNA-seq analysis (RPKM). The trend of change in gene expression in these ten clusters is shown in the heatmap as a Z score. See also Table S4. |
|
|
Figure 5. USP21 Removes Resistance through Deubiquitylation of H2A(A) Metaplot analysis in MEF of H2AUb ChIP-seq ±5 kb around the TSSs of genes expressed (green) or not expressed (blue) in MEF is shown.(B) Same as (A) but resistant genes are split according to sensitivity (red line) or insensitivity (red dashed line) to USP21.(C) WB analysis of H2AK119ub1 level in WT or Ring1a&b KO-transplanted nuclei 0 and 48 hr after nuclear transfer. Nuclei were transplanted in control oocyte or in oocyte overexpressing USP21 or catalytically inactive XlRing1b (Ring Mut).(D) Boxplot shows expression of the set of genes upregulated in WT MEF transplanted to USP21 compared to WT MEF transplanted to control oocytes (★p value < 10−11, Welch two-sample t test).(E) Heatmap showing unsupervised hierarchical clustering of genes upregulated in WT MEF transplanted to USP21-expressing oocyte compared to control oocytes in WT MEF transplanted to control oocytes, to USP21-expressing oocytes, to XlRing1b mutant-expressing oocytes, and in Ring1a&Ring1b KO MEF transplanted to control oocytes. Expression value is shown as log2(1 + RPKM).(F) dCas9-USP21 targeted to the Otx2 promoter decreases Otx2 resistance to transcriptional reprogramming. The qRT-PCR analysis of Otx2 and Sox2 gene expression 48 hr after MEF transplantation to oocytes injected with water (control), USP21 RNA, or USP21-dCas9 RNA, with or without Otx2 gRNAs mix, is shown (★p value < 0.05, Student’s t test; mean ± SEM of four experiments). See also Figure S4 and Table S5. |
|
|
Figure 6. USP21 Improves Transcriptional Reprogramming of Two-Cell-Stage Cloned Mouse Embryos(A) MA plot showing log fold change in gene expression between fertilized embryos and ES clone embryos (logFC, y axis) against the log of gene expression in cultured ES (logCPM, x axis). Differentially expressed genes are shown in red and blue for genes downregulated and upregulated in clones compared to fertilized embryos, respectively (FDR < 0.05, three experiments).(B) Same as (A) except that USP21 was overexpressed in the cloned embryos.(C and D) Venn diagram indicating the overlap between the downregulated genes (C) and upregulated genes (D) in control and USP21 clones. See also Figure S5 and Tables S6 and S7. |
References [+] :
Agger,
UTX and JMJD3 are histone H3K27 demethylases involved in HOX gene regulation and development.
2007, Pubmed
Agger, UTX and JMJD3 are histone H3K27 demethylases involved in HOX gene regulation and development. 2007, Pubmed
Barnett, BamTools: a C++ API and toolkit for analyzing and managing BAM files. 2011, Pubmed
Bowes, Xenbase: a Xenopus biology and genomics resource. 2008, Pubmed , Xenbase
Bulut-Karslioglu, Suv39h-dependent H3K9me3 marks intact retrotransposons and silences LINE elements in mouse embryonic stem cells. 2014, Pubmed
Carr, Post-translational control of transcription factors: methylation ranks highly. 2015, Pubmed
Cheloufi, The histone chaperone CAF-1 safeguards somatic cell identity. 2015, Pubmed
Cutler, Random GFP::cDNA fusions enable visualization of subcellular structures in cells of Arabidopsis at a high frequency. 2000, Pubmed
de Napoles, Polycomb group proteins Ring1A/B link ubiquitylation of histone H2A to heritable gene silencing and X inactivation. 2004, Pubmed
Endoh, Histone H2A mono-ubiquitination is a crucial step to mediate PRC1-dependent repression of developmental genes to maintain ES cell identity. 2012, Pubmed
Epsztejn-Litman, De novo DNA methylation promoted by G9a prevents reprogramming of embryonically silenced genes. 2008, Pubmed
Feldman, G9a-mediated irreversible epigenetic inactivation of Oct-3/4 during early embryogenesis. 2006, Pubmed
Gaspar-Maia, MacroH2A histone variants act as a barrier upon reprogramming towards pluripotency. 2013, Pubmed
GURDON, The developmental capacity of nuclei taken from differentiating endoderm cells of Xenopus laevis. 1960, Pubmed , Xenbase
Heard, Dosage compensation in mammals: fine-tuning the expression of the X chromosome. 2006, Pubmed
Henikoff, Histone modification: cause or cog? 2011, Pubmed
Herz, Histone H3 lysine-to-methionine mutants as a paradigm to study chromatin signaling. 2014, Pubmed
Illingworth, The E3 ubiquitin ligase activity of RING1B is not essential for early mouse development. 2015, Pubmed
Jackson-Grusby, Loss of genomic methylation causes p53-dependent apoptosis and epigenetic deregulation. 2001, Pubmed
Jin, The deubiquitinase USP21 maintains the stemness of mouse embryonic stem cells via stabilization of Nanog. 2016, Pubmed
Jullien, Hierarchical molecular events driven by oocyte-specific factors lead to rapid and extensive reprogramming. 2014, Pubmed , Xenbase
Jullien, Analysis of nuclear reprogramming following nuclear transfer to Xenopus oocyte. 2015, Pubmed , Xenbase
Kaneda, Activation of Bmp2-Smad1 signal and its regulation by coordinated alteration of H3K27 trimethylation in Ras-induced senescence. 2011, Pubmed
Lande-Diner, Role of DNA methylation in stable gene repression. 2007, Pubmed
Li, Fast and accurate short read alignment with Burrows-Wheeler transform. 2009, Pubmed
Li, The Sequence Alignment/Map format and SAMtools. 2009, Pubmed
Looney, Systematic mapping of occluded genes by cell fusion reveals prevalence and stability of cis-mediated silencing in somatic cells. 2014, Pubmed
Mansour, The H3K27 demethylase Utx regulates somatic and germ cell epigenetic reprogramming. 2012, Pubmed
Matoba, Embryonic development following somatic cell nuclear transfer impeded by persisting histone methylation. 2014, Pubmed
Meshorer, Hyperdynamic plasticity of chromatin proteins in pluripotent embryonic stem cells. 2006, Pubmed
Mikkelsen, Dissecting direct reprogramming through integrative genomic analysis. 2008, Pubmed
Nakagawa, Deubiquitylation of histone H2A activates transcriptional initiation via trans-histone cross-talk with H3K4 di- and trimethylation. 2008, Pubmed
Onder, Chromatin-modifying enzymes as modulators of reprogramming. 2012, Pubmed
Pasque, Histone variant macroH2A marks embryonic differentiation in vivo and acts as an epigenetic barrier to induced pluripotency. 2012, Pubmed
Pengelly, Transcriptional repression by PRC1 in the absence of H2A monoubiquitylation. 2015, Pubmed
Pereira, Heterokaryon-based reprogramming of human B lymphocytes for pluripotency requires Oct4 but not Sox2. 2008, Pubmed
Reddington, Redistribution of H3K27me3 upon DNA hypomethylation results in de-repression of Polycomb target genes. 2013, Pubmed
Robinson, edgeR: a Bioconductor package for differential expression analysis of digital gene expression data. 2010, Pubmed
Roy, Regulation of Cellular Identity in Cancer. 2015, Pubmed
Shin, Diversity within the JMJD2 histone demethylase family. 2007, Pubmed
Soufi, Facilitators and impediments of the pluripotency reprogramming factors' initial engagement with the genome. 2012, Pubmed
Sun, Epigenomic profiling of young and aged HSCs reveals concerted changes during aging that reinforce self-renewal. 2014, Pubmed
Takahashi, Induction of pluripotent stem cells from mouse embryonic and adult fibroblast cultures by defined factors. 2006, Pubmed
Trapnell, TopHat: discovering splice junctions with RNA-Seq. 2009, Pubmed
Wen, Large histone H3 lysine 9 dimethylated chromatin blocks distinguish differentiated from embryonic stem cells. 2009, Pubmed
Yang, The histone H2A deubiquitinase Usp16 regulates embryonic stem cell gene expression and lineage commitment. 2014, Pubmed
Yue, A comparative encyclopedia of DNA elements in the mouse genome. 2014, Pubmed
Zalatan, Engineering complex synthetic transcriptional programs with CRISPR RNA scaffolds. 2015, Pubmed
Zhou, Histone H2A monoubiquitination represses transcription by inhibiting RNA polymerase II transcriptional elongation. 2008, Pubmed
