Click here to close Hello! We notice that you are using Internet Explorer, which is not supported by Xenbase and may cause the site to display incorrectly. We suggest using a current version of Chrome, FireFox, or Safari.
XB-ART-54068
PLoS One 2013 Jan 01;81:e55243. doi: 10.1371/journal.pone.0055243.
Show Gene links Show Anatomy links

FAS-dependent cell death in α-synuclein transgenic oligodendrocyte models of multiple system atrophy.

Kragh CL, Fillon G, Gysbers A, Hansen HD, Neumann M, Richter-Landsberg C, Haass C, Zalc B, Lubetzki C, Gai WP, Halliday GM, Kahle PJ, Jensen PH.


???displayArticle.abstract???
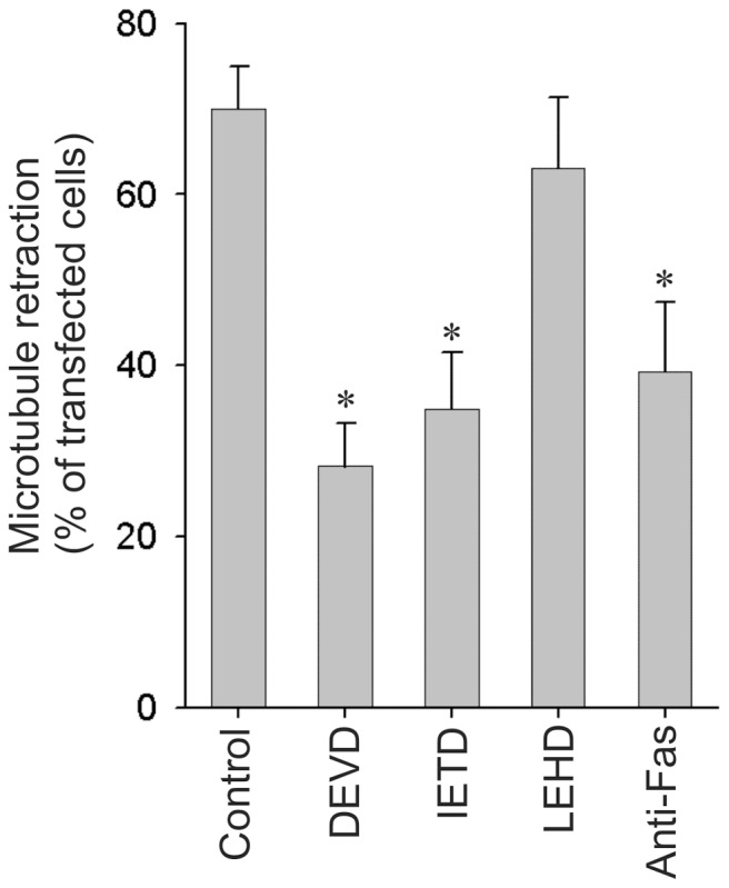
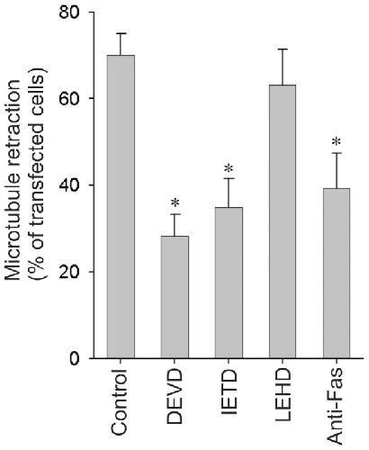
Multiple system atrophy is a parkinsonian neurodegenerative disorder. It is cytopathologically characterized by accumulation of the protein p25α in cell bodies of oligodendrocytes followed by accumulation of aggregated α-synuclein in so-called glial cytoplasmic inclusions. p25α is a stimulator of α-synuclein aggregation, and coexpression of α-synuclein and p25α in the oligodendroglial OLN-t40-AS cell line causes α-synuclein aggregate-dependent toxicity. In this study, we investigated whether the FAS system is involved in α-synuclein aggregate dependent degeneration in oligodendrocytes and may play a role in multiple system atrophy. Using rat oligodendroglial OLN-t40-AS cells we demonstrate that the cytotoxicity caused by coexpressing α-synuclein and p25α relies on stimulation of the death domain receptor FAS and caspase-8 activation. Using primary oligodendrocytes derived from PLP-α-synuclein transgenic mice we demonstrate that they exist in a sensitized state expressing pro-apoptotic FAS receptor, which makes them sensitive to FAS ligand-mediated apoptosis. Immunoblot analysis shows an increase in FAS in brain extracts from multiple system atrophy cases. Immunohistochemical analysis demonstrated enhanced FAS expression in multiple system atrophy brains notably in oligodendrocytes harboring the earliest stages of glial cytoplasmic inclusion formation. Oligodendroglial FAS expression is an early hallmark of oligodendroglial pathology in multiple system atrophy that mechanistically may be coupled to α-synuclein dependent degeneration and thus represent a potential target for protective intervention.

???displayArticle.pubmedLink??? 23372841
???displayArticle.pmcLink??? PMC3555893
???displayArticle.link??? PLoS One
???displayArticle.grants??? [+]

Species referenced: Xenopus
Genes referenced: fas galc mbp plp1 sall1


???attribute.lit??? ???displayArticles.show???
References [+] :
Ackery, Inhibition of Fas-mediated apoptosis through administration of soluble Fas receptor improves functional outcome and reduces posttraumatic axonal degeneration after acute spinal cord injury. 2006, Pubmed