Click here to close
Hello! We notice that you are using Internet Explorer, which is not supported by Xenbase and may cause the site to display incorrectly.
We suggest using a current version of Chrome,
FireFox, or Safari.
Front Pharmacol
2017 May 26;8:860. doi: 10.3389/fphar.2017.00860.
Show Gene links
Show Anatomy links
Interaction of Purinergic P2X4 and P2X7 Receptor Subunits.
Schneider M, Prudic K, Pippel A, Klapperstück M, Braam U, Müller CE, Schmalzing G, Markwardt F.
???displayArticle.abstract??? P2X4 and P2X7 are members of the P2X receptor family, comprising seven isoforms (P2X1-P2X7) that form homo- and heterotrimeric non-specific cation channels gated by extracellular ATP. P2X4 and P2X7 are widely coexpressed, particularly in secretory epithelial cells and immune and inflammatory cells, and regulate inflammation and nociception. Although functional heteromerization has been established for P2X2 and P2X3 subunits expressed in sensory neurons, there are contradictory reports regarding a functional interaction between P2X4 and P2X7 subunits. To resolve this issue, we coexpressed P2X4 and P2X7 receptor subunits labeled with green (EGFP) and red (TagRFP) fluorescent proteins in Xenopus laevis oocytes and investigated a putative physical interaction between the fusion proteins by Förster resonance energy transfer (FRET). Coexpression of P2X4 and P2X7 subunits with EGFP and TagRFP located in the extracellular receptor domains led to significant FRET signals. Significant FRET signals were also measured between C-terminally fluorophore-labeled full-length P2X41-384 and C-terminally truncated fluorescent P2X71-408 subunits. We furthermore used the two-electrode voltage clamp technique to investigate whether human P2X4 and P2X7 receptors (hP2X4, hP2X7) functionally interact at the level of ATP-induced whole-cell currents. Concentration-response curves and effects of ivermectin (P2X4-potentiating drug) or BzATP (P2X7-specific agonist) were consistent with a model in which coexpressed hP2X4 and hP2X7 do not interact. Similarly, the effect of adding specific inhibitors of P2X4 (PSB-15417) or P2X7 (oATP, A438079) could be explained by a model in which only homomers exist, and that these are blocked by the respective antagonist. In conclusion, we show that P2X4 and P2X7 subunits can form heterotrimeric P2X4/P2X7 receptors. However, unlike observations for P2X2 and P2X3, coexpression of P2X4 and P2X7 subunits does not result in a novel electrophysiologically discriminable P2X receptor phenotype.
FIGURE 1. Fluorescence signals before and after acceptor photobleaching. Example of Donor (GFP) recovery after acceptor (RFP) photobleaching for the P2X4 construct with a C-terminal tandem GFP-RFP label. (A,B) Pre-bleaching (A) and post-bleaching (B) fluorescence images were obtained as described in the Methods section using a confocal laser scanning microscope. The slightly increasing GFP fluorescence is shown on the left side and the RFP fluorescence, which is strongly decreased due to application of the maximal RFP exciting light for 1 min on the right side. (C) The FRET signal was calculated pointwise using the microscope software in the same manner as shown in Figure 2. A strong FRET signal is measured in areas of RFP bleaching. Blue pixels indicate low and yellow pixels high FE.
FIGURE 2. Förster resonance energy transfer (FRET) between GFP- and RFP -labeled P2XR subunits measured with donor recovery by acceptor photobleaching. Measurements were made at the oocyte pole adjacent to the bottom of the recording chamber (P) or at the equator (E) of the oocytes, as shown in Figure 1. The degree of donor recovery was plotted against the degree of acceptor bleaching. FRET efficiency (FE) was obtained by extrapolating the linear regression line to complete acceptor bleaching (right hand y-axis). (A) Negative control: coexpression of C-terminally RFP-labeled hP2X4 with SP-GFP-GLYRA1. (B) In oocytes expressing either hP2X4-GFP or hP2X4-RFP, the mean changes in the donor (donor recovery) and acceptor fluorescence (acceptor bleach) were measured at bleached versus non-bleached areas. The decrease of the donor fluorescence in regions of acceptor bleach indicates a bleaching effect of the acceptor excitation light and leads to calculation of negative FE values. (C) Positive control: P2X4 protein with a C-terminal tandem GFP-RFP label. (D) Coexpression of C-terminally GFP- and RFP-labeled hP2X4 constructs. Mean fluorescence values were calculated from 50â60 regions of interests (ROIs) in 5â10 oocytes.
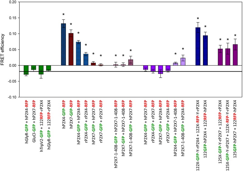
FIGURE 3. Förster resonance energy transfer measurement of P2X4 and P2X7 subunit interactions. FRET efficiencies were calculated as described in Figure 2. Horizontal line represents GFP bleaching during acceptor bleaching leading to negative FE values of â0.019 (see Figure 2B). â, FRET efficiencies significantly larger than â0.019. Data are the means ± SEM from 12â20 oocytes. X and Y denote short, flexible linkers (-GAGA- and -AGAG-, respectively; single amino acid letter code) flanking the GFP or RFP moiety. The position of the fluorophore name indicates the position of the label in the P2X receptor fusion construct (i.e., P2X7-GFP indicates a C-terminal label). Bar colors: green = negative control, blue = P2X4 constructs, red = P2X7 constructs, pink = P2X4/P2X7 coexpression. Bar patterns: cross-hatched = tandem GFP-RFP label, checkered = positive controls.
FIGURE 4. Functional testing of fluorescence-labeled P2X4 and P2X7 constructs by two-electrode voltage clamp measurements. (A) Examples of current traces in oocytes expressing wildtype P2X4 (P2X4wt) of P2X7 (P2X7wt) or different fluorescence-labeled P2X4 and P2X7 constructs, as indicated. The colors of the construct names relate to the colors of the bars in (B,C). (B) Maximal current amplitudes obtained during the application of 1 mM ATP for 6 s. (C) Kinetics of ion channel currents in oocytes expressing different labeled P2X constructs. The relative inactivation (Iinact,rel) was calculated as the amplitude of the current between 2 and 6 s after the application of 1 mM ATP normalized to the current amplitude at the 2 s time point. A decay in the current amplitude (Iinact,rel > 0) indicates desensitization (seen for all P2X4 constructs); an increase in current amplitude during this period (Iinact,rel < 0) was usually seen for P2X7 constructs and is of unknown origin. Bar colors: light blue = P2X4wt or C-terminally labeled constructs, dark blue = P2X4 constructs labeled within the extracelllar domain, red = P2X7wt or C-terminally labeled constructs, rosy = C-terminally truncated and labeled P2X7 constructs, dark red = P2X7 constructs labeled within the extracelllar domain. Data are the means ± SEM from 5â20 oocytes.
FIGURE 5. Kinetics of ion channel currents in hP2X4/hP2X7-coexpressing oocytes. Two-electrode voltage clamp measurements of currents in Xenopus oocytes expressing hP2X4 and hP2X7 receptors were elicited by the application of 0.1 mM ATP. (A) Mean current traces were recorded from oocytes expressing hP2X4 or hP2X7 subunits alone or together, as indicated. (B) Mean currents in oocytes coexpressing hP2X4 and hP2X7 were compared with the sum of those in oocytes expressing hP2X4 or hP2X7 alone. The mean current amplitudes were not significantly different at any time point, indicating that P2X4/P2X7 heteromers with distinct current kinetics are not formed. Data are the means ± SD from five oocytes at each time point.
FIGURE 6. Dependence on the ATP concentration of coexpressed hP2X4 and hP2X7 subunits. (A) Maximal current amplitudes in the presence of various ATP concentrations ([ATP]) were obtained by two-electrode voltage clamp measurements in oocytes expressing hP2X4 and/or hP2X7, as indicated. These amplitudes were measured during a 12 s lasting ATP application and normalized to the amplitude during a preceding application of 0.1 mM ATP to yield the relative current amplitude Irel. Irel values for hP2X4- or hP2X7-expressing oocytes are significantly different at all ATP concentrations. Current amplitudes of oocytes expressing hP2X4 + hP2X7 are significantly different from those of P2X7-expressing oocytes at 0.1â1 μM ATP and significantly different from those of P2X4-expressing oocytes at 0.01â1 mM ATP. Thus, the ATP concentrationâresponse curve for hP2X4/hP2X7-coexpressing oocytes is dominated by the hP2X4 component at low ATP concentrations and by the P2X7 component at high ATP concentrations, arguing against a distinct P2X4/P2X7 phenotype regarding the agonist sensitivity. (BâD) Averaged current traces of different oocytes expressing hP2X4 and hP2X7, elicited by the second ATP application at the indicated concentrations. Data are the means ± SD from 4â10 oocytes.
FIGURE 7. Effect of ivermectin on ATP-induced currents of hP2X4/hP2X7-coexpressing oocytes. (AâC) Two-electrode voltage clamp measurements showing the effect of ivermectin (3 μM) on ATP-induced currents of oocytes expressing (A) hP2X4, (B) hP2X7, or (C) hP2X4 + hP2X7. Oocytes were incubated for 1 min with 3 μM ivermectin, and then with 3 μM ivermectin + 0.1 mM ATP. (D) Current amplitudes measured in P2X4/P2X7-coexpressing oocytes during ivermectin application were compared with the sum of the P2X4- and P2X7-dependent current amplitudes (as shown in parts A,B, respectively). Mean current amplitudes were not significantly different at any time point, indicating the lack of a distinct P2X4/P2X7 phenotype related to ivermectin. This may be explained by ivermectin affecting only homomeric P2X4 receptors. Data are the means ± SD from 4â6 oocytes.
FIGURE 8. Effect of PSB-14517 on ATP-induced currents of hP2X4/hP2X7-coexpressing oocytes. Two-electrode voltage clamp measurements showing ATP-induced current amplitudes (Iact,3s) at 3 s after the application of 0.1 mM ATP. The theoretical current remaining after PSB-14517 application to hP2X4/hP2X7-expressing oocytes (rightmost column) was calculated as described in Section âResults.â The theoretical current amplitude was not significantly different from the measured value (next to rightmost column), indicating the lack of a distinct P2X4/P2X7 phenotype related to PSB-14517, which may be explained by PSB-14517 affecting only homomeric P2X4 receptors. Data are means ± SD from 4â11 oocytes.
FIGURE 9. Effect of BzATP on ATP-induced currents of hP2X4/hP2X7-coexpressing oocytes. (AâC) Two-electrode voltage clamp measurements showing the effect of BzATP on ATP-induced currents of oocytes expressing (A) hP2X4, (B) hP2X7, or (C) hP2X4 + hP2X7. (D) BzATP-induced currents measured in P2X4/P2X7-coexpressing oocytes were compared with the sum of P2X4- and P2X7-dependent current amplitudes (shown in parts A,B, respectively). Mean current amplitudes were not significantly different at any time point, indicating the lack of a distinct P2X4/P2X7 phenotype related to BzATP stimulation. means ± SD from 5â6 oocytes.
FIGURE 10. Effect of Mg2+ on ATP-induced currents of hP2X4/hP2X7-coexpressing oocytes. (AâC) Two-electrode voltage clamp measurements showing the effect of Mg2+ on ATP-induced currents of oocytes expressing (A) hP2X4, (B) hP2X7, or (C) hP2X4 + hP2X7. (D) Currents induced by the coapplication of ATP and 1.5 mM Mg2+ measured in P2X4/P2X7-coexpressing oocytes were compared with the sum of P2X4- and P2X7-dependent current amplitudes (shown in parts A,B, respectively). Mean current amplitudes were not significantly different at any time point, indicating the lack of a distinct P2X4/P2X7 phenotype related to Mg2+ inhibition. Data are means ± SD from 4â6 oocytes.
FIGURE 11. Effect of oATP on ATP-induced currents of hP2X4/hP2X7-coexpressing oocytes. (AâC) Two-electrode voltage clamp measurements showing the effect of 3 h preincubation in 0.3 mM oATP on ATP-induced currents of oocytes expressing (A) hP2X4, (B) hP2X7, or (C) hP2X4 + hP2X7. (D) Currents induced by ATP after oATP preincubation in P2X4/P2X7-coexpressing oocytes were compared with the sum of P2X4- and P2X7-dependent current amplitudes (shown in parts A,B, respectively). Mean current amplitudes were not significantly different at any time point, indicating the lack of a distinct P2X4/P2X7 phenotype related to oATP antagonism. Data are the means ± SD from 4â5 oocytes.
FIGURE 12. Effect of the P2X7 antagonist A438079 on ATP-induced currents of hP2X4/hP2X7-coexpressing oocytes. Two-electrode voltage clamp measurements of ATP-induced current amplitudes (Iact,3s) at 3 s after the application of 0.1 mM ATP. Current amplitudes of the first and second ATP application are denoted (1) and (2), respectively. The theoretical current remaining after applying A438079 to P2X4/P2X7-expressing oocytes (rightmost column) was calculated as described in Section âResults.â The theoretical current amplitude was not significantly different from the measured value (next to rightmost column), indicating the lack of a P2X4/P2X7 phenotype related to A438079, which may be explained by A438079 affecting only homomeric P2X7 receptors. Data are means ± SD from 4â11 oocytes.
Antonio,
P2X4 receptors interact with both P2X2 and P2X7 receptors in the form of homotrimers.
2011, Pubmed
Antonio,
P2X4 receptors interact with both P2X2 and P2X7 receptors in the form of homotrimers.
2011,
Pubmed Aschrafi,
Trimeric architecture of homomeric P2X2 and heteromeric P2X1+2 receptor subtypes.
2004,
Pubmed
,
Xenbase Babelova,
Biglycan, a danger signal that activates the NLRP3 inflammasome via toll-like and P2X receptors.
2009,
Pubmed Baconguis,
Unanticipated parallels in architecture and mechanism between ATP-gated P2X receptors and acid sensing ion channels.
2013,
Pubmed Becker,
The P2X7 carboxyl tail is a regulatory module of P2X7 receptor channel activity.
2008,
Pubmed
,
Xenbase Boumechache,
Analysis of assembly and trafficking of native P2X4 and P2X7 receptor complexes in rodent immune cells.
2009,
Pubmed Braman,
Site-directed mutagenesis using double-stranded plasmid DNA templates.
1996,
Pubmed Burnstock,
Cellular distribution and functions of P2 receptor subtypes in different systems.
2004,
Pubmed Büttner,
Ubiquitination precedes internalization and proteolytic cleavage of plasma membrane-bound glycine receptors.
2001,
Pubmed
,
Xenbase Clayton,
Taking care of bystander FRET in a crowded cell membrane environment.
2014,
Pubmed Craigie,
The relationship between P2X4 and P2X7: a physiologically important interaction?
2013,
Pubmed Di Virgilio,
Liaisons dangereuses: P2X(7) and the inflammasome.
2007,
Pubmed Duckwitz,
P2X5 subunit assembly requires scaffolding by the second transmembrane domain and a conserved aspartate.
2006,
Pubmed
,
Xenbase Flittiger,
Effects of protons on macroscopic and single-channel currents mediated by the human P2X7 receptor.
2010,
Pubmed
,
Xenbase Gloor,
A vector for the synthesis of cRNAs encoding Myc epitope-tagged proteins in Xenopus laevis oocytes.
1995,
Pubmed
,
Xenbase Grudzien-Nogalska,
Synthesis of anti-reverse cap analogs (ARCAs) and their applications in mRNA translation and stability.
2007,
Pubmed Guo,
Evidence for functional P2X4/P2X7 heteromeric receptors.
2007,
Pubmed Habermacher,
Molecular structure and function of P2X receptors.
2016,
Pubmed Hausmann,
The suramin analog 4,4',4'',4'''-(carbonylbis(imino-5,1,3-benzenetriylbis (carbonylimino)))tetra-kis-benzenesulfonic acid (NF110) potently blocks P2X3 receptors: subtype selectivity is determined by location of sulfonic acid groups.
2006,
Pubmed
,
Xenbase Hibbs,
Principles of activation and permeation in an anion-selective Cys-loop receptor.
2011,
Pubmed Hung,
P2X4 assembles with P2X7 and pannexin-1 in gingival epithelial cells and modulates ATP-induced reactive oxygen species production and inflammasome activation.
2013,
Pubmed Kawano,
Regulation of P2X7-dependent inflammatory functions by P2X4 receptor in mouse macrophages.
2012,
Pubmed Kawano,
Involvement of P2X4 receptor in P2X7 receptor-dependent cell death of mouse macrophages.
2012,
Pubmed Kawate,
Crystal structure of the ATP-gated P2X(4) ion channel in the closed state.
2009,
Pubmed Klapperstück,
Characteristics of P2X7 receptors from human B lymphocytes expressed in Xenopus oocytes.
2000,
Pubmed
,
Xenbase Klapperstück,
Functional evidence of distinct ATP activation sites at the human P2X(7) receptor.
2001,
Pubmed
,
Xenbase Kovalic,
General method for direct cloning of DNA fragments generated by the polymerase chain reaction.
1991,
Pubmed Kubick,
The effect of anions on the human P2X7 receptor.
2011,
Pubmed
,
Xenbase Lewis,
Coexpression of P2X2 and P2X3 receptor subunits can account for ATP-gated currents in sensory neurons.
1995,
Pubmed Li,
Subtype-specific control of P2X receptor channel signaling by ATP and Mg2+.
2013,
Pubmed Lin-Moshier,
The Xenopus oocyte: a single-cell model for studying Ca2+ signaling.
2013,
Pubmed
,
Xenbase Ma,
Pore properties and pharmacological features of the P2X receptor channel in airway ciliated cells.
2006,
Pubmed Ma,
Application of fluorescence resonance energy transfer in protein studies.
2014,
Pubmed Nashmi,
Assembly of alpha4beta2 nicotinic acetylcholine receptors assessed with functional fluorescently labeled subunits: effects of localization, trafficking, and nicotine-induced upregulation in clonal mammalian cells and in cultured midbrain neurons.
2003,
Pubmed Nelson,
Structure-activity relationship studies on a series of novel, substituted 1-benzyl-5-phenyltetrazole P2X7 antagonists.
2006,
Pubmed Nicke,
P2X1 and P2X3 receptors form stable trimers: a novel structural motif of ligand-gated ion channels.
1998,
Pubmed
,
Xenbase Nicke,
Homotrimeric complexes are the dominant assembly state of native P2X7 subunits.
2008,
Pubmed
,
Xenbase North,
Molecular physiology of P2X receptors.
2002,
Pubmed Perez,
Megaprimer-mediated domain swapping for construction of chimeric viruses.
2006,
Pubmed Pérez-Flores,
The P2X7/P2X4 interaction shapes the purinergic response in murine macrophages.
2015,
Pubmed Petersen,
SignalP 4.0: discriminating signal peptides from transmembrane regions.
2011,
Pubmed Pippel,
Localization of the gate and selectivity filter of the full-length P2X7 receptor.
2017,
Pubmed Pippel,
Inhibition of antigen receptor-dependent Ca(2+) signals and NF-AT activation by P2X7 receptors in human B lymphocytes.
2015,
Pubmed Praetorius,
ATP release from non-excitable cells.
2009,
Pubmed Priel,
Mechanism of ivermectin facilitation of human P2X4 receptor channels.
2004,
Pubmed Rettinger,
The suramin analogue NF279 is a novel and potent antagonist selective for the P2X(1) receptor.
2000,
Pubmed
,
Xenbase Riedel,
Kinetics of P2X7 receptor-operated single channels currents.
2007,
Pubmed
,
Xenbase Sakaki,
P2X4 receptor regulates P2X7 receptor-dependent IL-1β and IL-18 release in mouse bone marrow-derived dendritic cells.
2013,
Pubmed Saul,
Heteromeric assembly of P2X subunits.
2013,
Pubmed Seyffert,
Dissecting individual current components of co-expressed human P2X1 and P2X7 receptors.
2004,
Pubmed
,
Xenbase Stolz,
Homodimeric anoctamin-1, but not homodimeric anoctamin-6, is activated by calcium increases mediated by the P2Y1 and P2X7 receptors.
2015,
Pubmed
,
Xenbase Surprenant,
The cytolytic P2Z receptor for extracellular ATP identified as a P2X receptor (P2X7).
1996,
Pubmed Surprenant,
Signaling at purinergic P2X receptors.
2009,
Pubmed Torres,
Hetero-oligomeric assembly of P2X receptor subunits. Specificities exist with regard to possible partners.
1999,
Pubmed Visentin,
Two different ionotropic receptors are activated by ATP in rat microglia.
1999,
Pubmed Weinhold,
Interaction and interrelation of P2X7 and P2X4 receptor complexes in mouse lung epithelial cells.
2010,
Pubmed Xu,
Imaging P2X4 receptor subcellular distribution, trafficking, and regulation using P2X4-pHluorin.
2014,
Pubmed Young,
Molecular shape, architecture, and size of P2X4 receptors determined using fluorescence resonance energy transfer and electron microscopy.
2008,
Pubmed Zheng,
Spectroscopy-based quantitative fluorescence resonance energy transfer analysis.
2006,
Pubmed
,
Xenbase