Click here to close
Hello! We notice that you are using Internet Explorer, which is not supported by Xenbase and may cause the site to display incorrectly.
We suggest using a current version of Chrome,
FireFox, or Safari.
Structural and calorimetric studies demonstrate that the hepatocyte nuclear factor 1β (HNF1β) transcription factor is imported into the nucleus via a monopartite NLS sequence.
Wiedmann MM, Aibara S, Spring DR, Stewart M, Brenton JD.
???displayArticle.abstract???
The transcription factor hepatocyte nuclear factor 1β (HNF1β) is ubiquitously overexpressed in ovarian clear cell carcinoma (CCC) and is a potential therapeutic target. To explore potential approaches that block HNF1β transcription we have identified and characterised extensively the nuclear localisation signal (NLS) for HNF1β and its interactions with the nuclear protein import receptor, Importin-α. Pull-down assays demonstrated that the DNA binding domain of HNF1β interacted with a spectrum of Importin-α isoforms and deletion constructs tagged with eGFP confirmed that the HNF1β (229)KKMRRNR(235) sequence was essential for nuclear localisation. We further characterised the interaction between the NLS and Importin-α using complementary biophysical techniques and have determined the 2.4Å resolution crystal structure of the HNF1β NLS peptide bound to Importin-α. The functional, biochemical, and structural characterisation of the nuclear localisation signal present on HNF1β and its interaction with the nuclear import protein Importin-α provide the basis for the development of compounds targeting transcription factor HNF1β via its nuclear import pathway.
Fig. 1. (A) HNF1β protein expression levels in CCC cell lines OVISE, JHOC5, JHOC7, JHOC9, SKOV3 and a negative control HGSOC cell line, PEO1; (B) Data is the mean (n = 3, three biological replicates) and SEM. Expression levels were normalised to the housekeeping protein GAPDH. The expression levels observed with JHOC5 (P < 0.005, ∗∗∗) and OVISE (P < 0.05, ∗) cells were significantly higher than PEO1.
Fig. 2. eGFP imaging of PEO1 transduced lines with (a) eGFP-HNF1β (Lv103) showed primarily nuclear localisation of the GFP signal, whereas cells transduced with eGFP (Lv105) alone (b) showed both nuclear and cytoplasmic localisation. In cells transduced with eGFP-HNF1β (Lv103) in which the seven-residue NLS had been deleted (c, Mutant 8) the eGFP signal was mislocalized to the cytoplasm. The scale bar represents 80 μm. Images were taken on a Leica tandem confocal microscope using 20Ã, 40à and 60à objectives.
Fig. 3. (A) Stable complex formation between ΔIBB mouse Importin-α1 (50 kDa) and HNF1β (27 kDa) during size exclusion chromatography. Fractions were analysed by Coomassie stained SDS-PAGE (∗ marks the peak for the complex); (B) GST pull-down with liberated HNF1β showing pull-downs using different ΔIBB mouse Importin-α isoforms (red ∗).
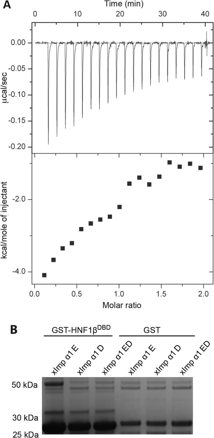
Fig. 4. (A) ITC titration for the binding of the HNF1β NLS peptide to ΔIBB mImportin-α1. Fitting the data (with χ2/DoF = 2.9 × 104) gave a Kd of 13.6 ± 1.5 nM for 0.94 ± 0.13 sites, ΔH = −7.2 ± 1.6 kcal/mol, ΔS = −1.7 cal/mol/deg. (B) In pull-down assays, GST-HNF1β bound only the E mutant of ΔIBB Xenopus Importin-α1 (that impairs NLS binding at the minor site) Mr 50 kD, but not the D mutant (that impairs binding at the major site) or ED double mutant (see Giesecke and Stewart, 2010).
Fig. 5. (A) Overview of the 2.4 Å crystal structure of the ΔIBB mouse Importin-α1:HNF1βNLS complex. Two copies of the NLS peptide were observed where one was bound in the major site (blue) and another in the minor site (yellow). Each ARM repeat of mouse Importin-α1 has been labelled with alternating colours. (B) Final 2Fo-Fc electron density map around NLS peptide in major and minor binding sites on mouse Importin-α1 contoured at 1σ.
Fig. 6. Schematic illustration of the interactions of the HNF1βNLS peptide in the major (A) and minor (B) sites on ΔIBB mouse Importin-α1.
Adams,
PHENIX: a comprehensive Python-based system for macromolecular structure solution.
2010, Pubmed
Adams,
PHENIX: a comprehensive Python-based system for macromolecular structure solution.
2010,
Pubmed Anglesio,
Clear cell carcinoma of the ovary: a report from the first Ovarian Clear Cell Symposium, June 24th, 2010.
2011,
Pubmed Bach,
More potent transcriptional activators or a transdominant inhibitor of the HNF1 homeoprotein family are generated by alternative RNA processing.
1993,
Pubmed Bach,
Two members of an HNF1 homeoprotein family are expressed in human liver.
1991,
Pubmed Bitler,
Synthetic lethality by targeting EZH2 methyltransferase activity in ARID1A-mutated cancers.
2015,
Pubmed Bohn,
Distinct molecular and morphogenetic properties of mutations in the human HNF1beta gene that lead to defective kidney development.
2003,
Pubmed
,
Xenbase Chang,
Distinctive conformation of minor site-specific nuclear localization signals bound to importin-α.
2013,
Pubmed Chen,
MolProbity: all-atom structure validation for macromolecular crystallography.
2010,
Pubmed Cribbs,
Simplified production and concentration of lentiviral vectors to achieve high transduction in primary human T cells.
2013,
Pubmed Cutress,
Structural basis for the nuclear import of the human androgen receptor.
2008,
Pubmed Emsley,
Features and development of Coot.
2010,
Pubmed Evans,
How good are my data and what is the resolution?
2013,
Pubmed Fontes,
Structural basis of recognition of monopartite and bipartite nuclear localization sequences by mammalian importin-alpha.
2000,
Pubmed Giesecke,
Novel binding of the mitotic regulator TPX2 (target protein for Xenopus kinesin-like protein 2) to importin-alpha.
2010,
Pubmed
,
Xenbase Gounaris,
Ovarian clear cell carcinoma--bad endometriosis or bad endometrium?
2011,
Pubmed Hodel,
Nuclear localization signal receptor affinity correlates with in vivo localization in Saccharomyces cerevisiae.
2006,
Pubmed Holvey,
Selective Targeting of the TPX2 Site of Importin-α Using Fragment-Based Ligand Design.
2015,
Pubmed Jones,
Frequent mutations of chromatin remodeling gene ARID1A in ovarian clear cell carcinoma.
2010,
Pubmed Kabsch,
XDS.
2010,
Pubmed Kajihara,
Clear cell carcinoma of the ovary: potential pathogenic mechanisms (Review).
2010,
Pubmed Kato,
Hypomethylation of hepatocyte nuclear factor-1beta (HNF-1beta) CpG island in clear cell carcinoma of the ovary.
2008,
Pubmed Kato,
Immunocytochemistry for hepatocyte nuclear factor-1beta (HNF-1beta): a marker for ovarian clear cell carcinoma.
2007,
Pubmed Kato,
Expression of hepatocyte nuclear factor-1beta (HNF-1beta) in clear cell tumors and endometriosis of the ovary.
2006,
Pubmed Kobayashi,
The role of hepatocyte nuclear factor-1beta in the pathogenesis of clear cell carcinoma of the ovary.
2009,
Pubmed Kobe,
Autoinhibition by an internal nuclear localization signal revealed by the crystal structure of mammalian importin alpha.
1999,
Pubmed Kuo,
Frequent activating mutations of PIK3CA in ovarian clear cell carcinoma.
2009,
Pubmed Kutner,
Production, concentration and titration of pseudotyped HIV-1-based lentiviral vectors.
2009,
Pubmed Landen,
Early events in the pathogenesis of epithelial ovarian cancer.
2008,
Pubmed Lange,
Classical nuclear localization signals: definition, function, and interaction with importin alpha.
2007,
Pubmed Lin,
Inhibition of nuclear translocation of transcription factor NF-kappa B by a synthetic peptide containing a cell membrane-permeable motif and nuclear localization sequence.
1995,
Pubmed Liu,
Regulation of HSulf-1 expression by variant hepatic nuclear factor 1 in ovarian cancer.
2009,
Pubmed Lu,
Structural basis of disease-causing mutations in hepatocyte nuclear factor 1beta.
2007,
Pubmed Lu,
Crystallization of hepatocyte nuclear factor 1beta in complex with DNA.
2006,
Pubmed Marfori,
Molecular basis for specificity of nuclear import and prediction of nuclear localization.
2011,
Pubmed Marfori,
Structural basis of high-affinity nuclear localization signal interactions with importin-α.
2012,
Pubmed Nakada,
Structure of importin-α bound to a non-classical nuclear localization signal of the influenza A virus nucleoprotein.
2015,
Pubmed Rey-Campos,
vHNF1 is a homeoprotein that activates transcription and forms heterodimers with HNF1.
1991,
Pubmed Rosenfeld,
POU-domain transcription factors: pou-er-ful developmental regulators.
1991,
Pubmed Ryan,
POU domain family values: flexibility, partnerships, and developmental codes.
1997,
Pubmed Shen,
Epigenetic analysis leads to identification of HNF1B as a subtype-specific susceptibility gene for ovarian cancer.
2013,
Pubmed Stelma,
Targeting nuclear transporters in cancer: Diagnostic, prognostic and therapeutic potential.
2016,
Pubmed Stewart,
Molecular mechanism of the nuclear protein import cycle.
2007,
Pubmed Tan,
New perspectives on molecular targeted therapy in ovarian clear cell carcinoma.
2013,
Pubmed Tan,
Ovarian clear cell adenocarcinoma: a continuing enigma.
2007,
Pubmed Torgerson,
Regulation of NF-kappa B, AP-1, NFAT, and STAT1 nuclear import in T lymphocytes by noninvasive delivery of peptide carrying the nuclear localization sequence of NF-kappa B p50.
1998,
Pubmed Tsuchiya,
Expression profiling in ovarian clear cell carcinoma: identification of hepatocyte nuclear factor-1 beta as a molecular marker and a possible molecular target for therapy of ovarian clear cell carcinoma.
2003,
Pubmed Wiegand,
ARID1A mutations in endometriosis-associated ovarian carcinomas.
2010,
Pubmed Wu,
The HNF1beta transcription factor has several domains involved in nephrogenesis and partially rescues Pax8/lim1-induced kidney malformations.
2004,
Pubmed
,
Xenbase Yamaguchi,
Identification of an ovarian clear cell carcinoma gene signature that reflects inherent disease biology and the carcinogenic processes.
2010,
Pubmed Yoshida,
Theoretical model of treatment strategies for clear cell carcinoma of the ovary: focus on perspectives.
2009,
Pubmed